Dans ce chapitre, les principaux indicateurs développés par organe sur l’ensemble des malades sont présentés dans le cadre de la greffe pédiatrique. Ainsi, sont considérés comme pédiatriques tous les malades inscrits en liste d’attente de greffe avant l’âge de 18 ans et ce quel que soit leur âge à leur sortie de liste d’attente (greffe, décès, sortie). Les méthodes d’analyse sont les mêmes que celles utilisées dans les chapitres précédents et présentées dans le chapitre « Greffes d’organes ».
Quelques chiffres clés
Les greffes d’organes réalisées le plus couramment sur des receveurs inscrits avant l’âge de 18 ans sont la greffe rénale (126 greffes) et la greffe hépatique (84 greffes).
Tableau Péd1. Evolution du nombre d'inscrits pédiatriques au 1er janvier de 2007 à 2017
2007 |
2008 |
2009 |
2010 |
2011 |
2012 |
2013 |
2014 |
2015 |
2016 |
2017 |
|
Coeur |
8 |
12 |
13 |
9 |
9 |
11 |
11 |
10 |
13 |
11 |
10 |
Coeur-poumons |
6 |
6 |
6 |
7 |
5 |
5 |
3 |
3 |
1 |
1 |
. |
Foie |
39 |
43 |
50 |
60 |
49 |
42 |
57 |
58 |
64 |
60 |
65 |
Intestin |
12 |
17 |
24 |
18 |
10 |
7 |
5 |
3 |
3 |
2 |
2 |
Pancréas |
. |
. |
. |
. |
. |
. |
1 |
1 |
. |
. |
. |
Poumon |
9 |
12 |
8 |
11 |
5 |
2 |
6 |
15 |
8 |
6 |
6 |
Rein |
89 |
102 |
110 |
129 |
121 |
123 |
141 |
151 |
167 |
178 |
194 |
Total |
163 |
192 |
211 |
234 |
199 |
190 |
224 |
241 |
256 |
258 |
277 |
Données extraites de Cristal le 02/03/2017
Tableau Péd2. Evolution du nombre de nouveaux inscrits pédiatriques dans l'année de 2007 à 2016
2007 |
2008 |
2009 |
2010 |
2011 |
2012 |
2013 |
2014 |
2015 |
2016 |
|
Coeur |
32 |
28 |
33 |
34 |
44 |
34 |
27 |
42 |
24 |
26 |
Coeur-poumons |
4 |
5 |
4 |
2 |
3 |
2 |
1 |
2 |
3 |
1 |
Foie |
89 |
94 |
88 |
73 |
88 |
112 |
96 |
95 |
101 |
97 |
Intestin |
7 |
15 |
2 |
3 |
5 |
2 |
3 |
1 |
1 |
1 |
Pancréas |
1 |
. |
1 |
1 |
. |
2 |
. |
1 |
. |
. |
Poumon |
20 |
13 |
18 |
10 |
9 |
17 |
22 |
13 |
12 |
13 |
Rein |
117 |
118 |
146 |
106 |
104 |
113 |
127 |
119 |
129 |
153 |
Total |
270 |
273 |
292 |
229 |
253 |
282 |
276 |
273 |
270 |
291 |
Données extraites de Cristal le 02/03/2017
Tableau Péd3. Evolution du nombre de décès en liste d'attente des malades pédiatriques par année de 2007 à 2016
2007 |
2008 |
2009 |
2010 |
2011 |
2012 |
2013 |
2014 |
2015 |
2016 |
|
Coeur |
5 |
4 |
8 |
6 |
4 |
8 |
7 |
7 |
6 |
2 |
Coeur-poumons |
1 |
3 |
2 |
1 |
. |
. |
. |
1 |
. |
1 |
Foie |
4 |
5 |
2 |
5 |
2 |
3 |
6 |
2 |
3 |
3 |
Intestin |
. |
. |
1 |
. |
. |
. |
1 |
. |
. |
. |
Poumon |
4 |
. |
3 |
1 |
1 |
1 |
1 |
3 |
1 |
1 |
Rein |
. |
3 |
2 |
3 |
2 |
. |
. |
. |
2 |
. |
Total |
14 |
15 |
18 |
16 |
9 |
12 |
15 |
13 |
12 |
7 |
Données extraites de Cristal le 02/03/2017
Tableau Péd4. Evolution du nombre de greffes pédiatriques d'organes effectuées de 2007 à 2016
Données extraites de Cristal le 02/03/2017
() : dont donneurs vivants hors dominos.
Prélèvement sur donneur pédiatrique en état de mort encéphalique
Résumé de l’activité
Activité de prélèvement en 2016
En 2016, le nombre de donneurs pédiatriques recensés progresse pour la 1ere fois depuis 5 ans de 9.3% (141 contre 129 en 2015). Toutes les tranches d’âge progressent cette année dans la continuité de l’effort mis en place par l’agence et les coordinations en matière de recensement (fiches de prélèvement, recommandations, avis du CMS sur la prise en charge de la mort encéphalique chez l’enfant). La tranche d’âge 5 - 11 ans est celle qui a le plus augmenté.
Le nombre de donneurs prélevés passe de 53 à 69. L’activité de prélèvement chez les grands enfants est stable, mais pour la tranche 0-4 ans le nombre de prélèvements progresse à nouveau comme en 2015. Le taux de prélèvement (conversion) pédiatrique est de 49% en 2016 et s’accroît de 8% par rapport à 2015. Le taux d’opposition global est de 39%, légèrement inférieur à 2015 (-1,3%), et supérieur au taux observé chez l’adulte. L’opposition au prélèvement touche surtout la tranche des 5 - 11 ans cette année, il est assez stable pour les autres tranches d’âge.
Les causes de non prélèvement
Parmi les causes de non prélèvement, l’opposition occupe la 1ère place parmi les donneurs recensés. En 2016, le taux d’opposition brut parmi les SME pédiatriques recensés est en légère diminution, ceci associé à une augmentation du recensement, aboutit à augmenter le nombre de prélèvement. L’analyse des données de cristal action, finalisée en 2014 devrait nous permettre de mieux comprendre ces évolutions.
La 2ème cause de non prélèvement reste la survenue « d’incident médical » pendant le processus, et la difficulté à trouver un préleveur pédiatrique. La part des donneurs pédiatriques non prélevés pour « antécédents du donneur » a fortement baissé ces 3 dernières années, probablement en lien avec une plus grande implication des équipes de coordinations de prélèvement et de réanimation.
Les causes de décès des donneurs
Les causes de décès des donneurs pédiatriques se distribuent en 2016 entre les anoxies (39,7%), les traumatismes liés (21,2%) ou non (17%) à un accident de la voie publique et les causes d’origine vasculaire (10,6%). Les autres causes de décès sont la méningite, les tumeurs et les intoxications. La traumatologie reste la principale cause des décès (38,2%). On assiste cette année à une progression des causes de décès vasculaire, mais cela reste faible et difficile à interpréter.
Pour l’adolescent le nombre de traumatismes lies à un AVP (accident de la voie publique) régresse cette année encore. Les décès par anoxie et méningite et surtout d’origine vasculaire sont en progression.
Le prélèvement en globalité a donc progressé en 2016, mais l’ensemble ces effectifs étant faibles, ces variations restent à considérer avec précaution.
Tableau PP1. Evolution du devenir des donneurs décédés en état de mort encéphalique mineurs au moment du recensement
Age |
Devenir |
2006 |
2007 |
2008 |
2009 |
2010 |
2011 |
2012 |
2013 |
2014 |
2015 |
2016 |
||||||||||
0 à 18 ans |
Recensés |
168 |
174 |
143 |
133 |
124 |
152 |
142 |
155 |
134 |
129 |
141 |
||||||||||
Prélevés |
65 |
87 |
55 |
52 |
59 |
72 |
61 |
57 |
55 |
53 |
69 |
|||||||||||
Opposition |
60 |
49 |
51 |
45 |
46 |
48 |
50 |
60 |
51 |
52 |
55 |
|||||||||||
Antécédents du donneur |
15 |
22 |
15 |
17 |
13 |
12 |
8 |
13 |
12 |
7 |
7 |
|||||||||||
Incident médical |
24 |
14 |
22 |
17 |
5 |
18 |
23 |
25 |
12 |
15 |
8 |
|||||||||||
Autres causes |
4 |
2 |
0 |
2 |
1 |
2 |
0 |
0 |
4 |
2 |
2 |
|||||||||||
|
|
|
|
|
|
|
|
|
|
|
|
|
||||||||||
0 à 4 ans |
Recensés |
50 |
38 |
42 |
40 |
36 |
42 |
45 |
46 |
48 |
53 |
55 |
||||||||||
Prélevés |
11 |
10 |
12 |
8 |
10 |
15 |
15 |
13 |
11 |
16 |
19 |
|||||||||||
Opposition |
17 |
14 |
14 |
7 |
16 |
11 |
16 |
18 |
23 |
22 |
23 |
|||||||||||
Antécédents du donneur |
9 |
10 |
11 |
14 |
9 |
9 |
6 |
5 |
8 |
7 |
3 |
|||||||||||
Incident médical |
12 |
4 |
5 |
10 |
1 |
7 |
8 |
10 |
6 |
7 |
8 |
|||||||||||
Autres causes |
1 |
0 |
0 |
1 |
0 |
0 |
0 |
0 |
0 |
1 |
2 |
|||||||||||
|
|
|
|
|
|
|
|
|
|
|
|
|
||||||||||
5 à 11 ans |
Recensés |
23 |
36 |
32 |
26 |
23 |
31 |
23 |
43 |
26 |
19 |
35 |
||||||||||
Prélevés |
13 |
17 |
12 |
10 |
13 |
14 |
11 |
15 |
10 |
5 |
16 |
|||||||||||
Opposition |
7 |
7 |
11 |
12 |
7 |
8 |
10 |
17 |
12 |
12 |
18 |
|||||||||||
Antécédents du donneur |
2 |
8 |
2 |
2 |
3 |
3 |
0 |
3 |
0 |
0 |
1 |
|||||||||||
Incident médical |
0 |
2 |
7 |
1 |
0 |
5 |
2 |
8 |
2 |
1 |
0 |
|||||||||||
Autres causes |
1 |
2 |
0 |
1 |
0 |
1 |
0 |
0 |
2 |
1 |
0 |
|||||||||||
|
|
|
|
|
|
|
|
|
|
|
|
|
||||||||||
12 à 18 ans |
Recensés |
95 |
100 |
69 |
67 |
65 |
79 |
74 |
66 |
60 |
57 |
51 |
||||||||||
Prélevés |
41 |
60 |
31 |
34 |
36 |
43 |
35 |
29 |
34 |
32 |
34 |
|||||||||||
Opposition |
36 |
28 |
26 |
26 |
23 |
29 |
24 |
25 |
16 |
18 |
14 |
|||||||||||
Antécédents du donneur |
4 |
4 |
2 |
1 |
1 |
0 |
2 |
5 |
4 |
0 |
3 |
|||||||||||
Incident médical |
12 |
8 |
10 |
6 |
4 |
6 |
13 |
7 |
4 |
7 |
0 |
|||||||||||
Autres causes |
2 |
0 |
0 |
0 |
1 |
1 |
0 |
0 |
2 |
0 |
0 |
|||||||||||
Données extraites de la base CRISTAL le 02/03/2017
Tableau PP2. Evolution des causes de décès des donneurs décédés en état de mort encéphalique mineurs au moment du recensement
Age |
Cause de décès |
2009 |
2010 |
2011 |
2012 |
2013 |
2014 |
2015 |
2016 |
0 à 18 ans |
Anoxie |
37 |
32 |
49 |
42 |
44 |
40 |
50 |
56 |
Traumatisme AVP |
41 |
37 |
47 |
40 |
47 |
44 |
30 |
30 |
|
Méningite |
5 |
10 |
10 |
5 |
10 |
4 |
8 |
6 |
|
Traumatisme NAVP |
17 |
14 |
15 |
26 |
21 |
15 |
23 |
24 |
|
Vasculaire |
20 |
20 |
17 |
14 |
21 |
19 |
9 |
15 |
|
Tumeur |
2 |
3 |
3 |
1 |
2 |
2 |
1 |
1 |
|
Intoxication |
0 |
2 |
2 |
1 |
1 |
1 |
0 |
2 |
|
Autre |
11 |
6 |
9 |
13 |
9 |
9 |
8 |
7 |
|
Manquant |
0 |
0 |
0 |
0 |
0 |
0 |
0 |
0 |
|
|
|||||||||
0 à 4 ans |
Anoxie |
13 |
12 |
18 |
14 |
17 |
20 |
22 |
23 |
Traumatisme AVP |
3 |
5 |
6 |
3 |
8 |
6 |
4 |
5 |
|
Méningite |
3 |
5 |
4 |
2 |
4 |
3 |
5 |
3 |
|
Traumatisme NAVP |
7 |
7 |
6 |
13 |
5 |
10 |
14 |
14 |
|
Vasculaire |
5 |
4 |
2 |
3 |
5 |
5 |
3 |
3 |
|
Tumeur |
0 |
0 |
1 |
0 |
2 |
1 |
1 |
1 |
|
Intoxication |
0 |
0 |
0 |
1 |
0 |
1 |
0 |
2 |
|
Autre |
9 |
3 |
5 |
9 |
5 |
2 |
4 |
4 |
|
Manquant |
0 |
0 |
0 |
0 |
0 |
0 |
0 |
0 |
|
|
|||||||||
5 à 11 ans |
Anoxie |
8 |
6 |
13 |
7 |
14 |
9 |
9 |
13 |
Traumatisme AVP |
9 |
5 |
6 |
8 |
9 |
7 |
4 |
11 |
|
Méningite |
1 |
1 |
2 |
2 |
2 |
1 |
1 |
2 |
|
Traumatisme NAVP |
4 |
5 |
2 |
2 |
6 |
1 |
2 |
3 |
|
Vasculaire |
4 |
3 |
5 |
3 |
9 |
6 |
1 |
4 |
|
Tumeur |
0 |
3 |
1 |
0 |
0 |
1 |
0 |
0 |
|
Intoxication |
0 |
0 |
0 |
0 |
1 |
0 |
0 |
0 |
|
Autre |
0 |
0 |
2 |
1 |
2 |
1 |
2 |
2 |
|
Manquant |
0 |
0 |
0 |
0 |
0 |
0 |
0 |
0 |
|
|
|||||||||
12 à 18 ans |
Anoxie |
16 |
14 |
18 |
21 |
13 |
11 |
19 |
20 |
Traumatisme AVP |
29 |
27 |
35 |
29 |
30 |
31 |
22 |
14 |
|
Méningite |
1 |
4 |
4 |
1 |
4 |
0 |
2 |
1 |
|
Traumatisme NAVP |
6 |
2 |
7 |
11 |
10 |
4 |
7 |
7 |
|
Vasculaire |
11 |
13 |
10 |
8 |
7 |
8 |
5 |
8 |
|
Tumeur |
2 |
0 |
1 |
1 |
0 |
0 |
0 |
0 |
|
Intoxication |
0 |
2 |
2 |
0 |
0 |
0 |
0 |
0 |
|
Autre |
2 |
3 |
2 |
3 |
2 |
6 |
2 |
1 |
|
Manquant |
0 |
0 |
0 |
0 |
0 |
0 |
0 |
0 |
|
AVP=accidente de la voie publique NAVP=non accidente de la voie publique
Données extraites de la base CRISTAL le 02/03/2017
Greffe cardiaque pédiatrique
Résumé de l’activité
En 2016, 4% du total des candidats et 5% des nouveaux inscrits en liste d’attente pour une greffe cardiaque, 5% des greffés, et, 3% des malades décédés en liste d’attente ont été inscrits sur la liste d’attente avant l’âge de 18 ans. Cinq pour cent (24/476) des greffes sont réalisées avec des greffons pédiatriques. Les activités d’inscription en liste d’attente et de greffe pédiatriques augmentent en 2016 respectivement de 8% et 22% par rapport à 2015.
Tableau Péd C1. Évolution du devenir des malades inscrits en liste d’attente de greffe cardiaque avant l'âge de 18 ans
2011 |
2012 |
2013 |
2014 |
2015 |
2016 |
2017 |
|
Liste d'attente |
|
|
|
|
|
|
|
- malades restant en attente au 1er janvier de chaque année |
9 |
11 |
11 |
10 |
13 |
11 |
10 |
dont malades en attente au 1er janvier et en CIT |
1 |
2 |
1 |
4 |
3 |
5 |
4 |
Part des malades en CIT parmi les malades en attente au 1er janvier |
11% |
18% |
9% |
40% |
23% |
45% |
40% |
- nouveaux inscrits dans l'année |
44 |
34 |
27 |
42 |
24 |
26 |
|
- décédés dans l'année |
4 |
8 |
7 |
7 |
6 |
2 |
|
- sortis de la liste d'attente |
1 |
3 |
1 |
7 |
2 |
3 |
|
- dont sortis de la liste d'attente pour aggravation |
1 |
1 |
0 |
1 |
0 |
0 |
|
Greffes |
37 |
23 |
20 |
25 |
18 |
22 |
|
Greffes (pmh) |
0,6 |
0,4 |
0,3 |
0,4 |
0,3 |
0,3 |
|
CIT : Contre indication temporaire / pmh : par million d'habitants
Données extraites de CRISTAL le 02/03/2017
Devenir des candidats en liste d’attente
En 2016, 26 nouveaux candidats à une greffe cardiaque de moins de 18 ans sont inscrits sur la liste d’attente. Avec un total de 37 candidats, la population totale des inscrits sur liste d’attente avant l’âge de 18 ans représente, en 2016, 4% des malades en attente de greffe cardiaque (37 sur 951). Parmi les 26 nouveaux malades inscrits en liste d’attente, 10 (38%) ont 5 ans ou moins et 16 (62%) ont plus de 5 ans. Les 5 ans et moins représentent 36% des malades inscrits en attente avant l’âge de 18 ans et greffés en 2016 mais 50% des malades pédiatriques décédés en attente dans l’année (à noter qu’il s’agit de petits effectifs). Le nombre de nouveaux inscrits dans l’année augmente de 8% par rapport à 2015 mais reste à un niveau bas. Soixante-cinq pour cent (17) des nouveaux inscrits en 2016 sont à l’inscription en unité de soins intensifs, 27% (7) sont sous ventilation assistée invasive, 27% (7) sous ECMO, 15% (4) sous assistance ventriculaire et 54% (14) sous traitements inotropes par voie veineuse. Les cardiomyopathies dilatées sont la plus fréquente des indications identifiées de nouvelle inscription sur la liste d’attente (50%) devant les cardiomyopathies hypertrophiques et restrictives (19%) puis les cardiopathies congénitales (15%). Le nombre de malades restant inscrits au 1er janvier continue de fluctuer autour de 10, 40% de ces malades étant en contre-indication temporaire le 1er janvier 2017.
L’accès à la greffe est évalué depuis 2014 par le taux d’incidence cumulée qui mesure la probabilité d’accès à la greffe en fonction de la durée d’attente en prenant en compte le risque concurrent de décès et de sortie de liste pour aggravation (voir chapitre « Greffes d’organes : Données générales et méthodes »). En effet, pour les malades inscrits en liste d’attente, l’accès à la greffe dépend du risque concurrent représenté par le décès en liste d’attente et la sortie de liste pour aggravation. La probabilité de greffe et la probabilité de décès sur la liste d’attente ou de sortie de liste pour aggravation dépendent l’une de l’autre. Ainsi le risque de décès ou de sortie de liste pour aggravation est impacté par l’accès à la greffe. Cette méthode exprime ce qui est réellement observé pour la cohorte des malades inscrits en attente et permet d’évaluer le système de répartition des greffons. En revanche, cette méthode sous-estime ce que serait le risque de décès en liste d’attente si la greffe n’existait pas puisque qu’en France, la grande majorité des candidats pédiatriques sont greffés dans l’année qui suit leur inscription.
La durée médiane d’attente globale pour la cohorte des malades inscrits en liste d’attente avant l’âge de 18 ans entre 2015 et 2016 est inférieure à 3 mois. L’incidence cumulée de greffe à 6 mois, calculée avec la méthode des risques concurrents, a augmenté entre les périodes 1995-1998 et 2015-2016, passant de 49% à 68%, alors que la probabilité de décès ou de sortie de liste pour aggravation a baissé entre les périodes 1995-1998 et 2011-2014, passant de 31% à 19%. Cette évolution est due en grande partie à une baisse de la pénurie entre ces 2 périodes liée à la mise en place en 2005 d’une priorité pédiatrique avec une attribution prioritaire des greffons issus de donneurs de moins de 55 ans et de 50 kilogrammes aux candidats pédiatriques. Pour les malades inscrits en attente entre 2011 et 2016, la probabilité de greffe calculée avec la méthode des risques concurrents n’est pas significativement différente entre les candidats pédiatriques et les candidats adultes. En revanche, la probabilité de décès ou de sortie de liste pour aggravation calculée avec la même méthode est significativement supérieure chez les candidats pédiatriques par rapport aux candidats adultes (probabilité à 1 an de 19% pour les enfants versus 12% pour les adultes). La probabilité de greffe pour les candidats pédiatriques inscrits entre 2011 et 2016 varie selon l’âge à l’inscription avec une incidence cumulée de greffe plus basse pour les 5 ans et moins comparée au plus de 5 ans, alors même que la probabilité de décès ou de sortie de liste pour aggravation est plus élevée pour ces premiers que ces derniers. Cette difficulté d’accès à la greffe des petits ne s’explique pas par un niveau de pénurie plus fort pour cette tranche d’âge (1.2 (15/13) candidat pour un greffon dans cette tranche d’âge versus 1.7 pour les enfants) mais par une pénurie dynamique qui correspond au fait que quand il y a un greffon, il n’y a pas de candidat en attente qui pourrait recevoir ce greffon (avec une nécessité d’appariement morphologique). La probabilité de décès ou de sortie de liste pour aggravation à 6 mois parmi les inscrits entre 2011 et 2016 avant l’âge de 2 ans est de 36% (alors qu’elle est de 19% pour tous les pédiatrique et de 12% pour les adultes).
Tableau Péd C2. Évolution des principaux indicateurs de pénurie des malades inscrits en attente de greffe cardiaque avant l'âge de 18 ans
|
2011 |
2012 |
2013 |
2014 |
2015 |
2016 |
Nouveaux inscrits pour un greffon |
1,2 |
1,5 |
1,4 |
1,7 |
1,3 |
1,2 |
Candidats en attente au 1er janvier pour un greffon |
0,2 |
0,5 |
0,6 |
0,4 |
0,7 |
0,5 |
Candidats en attente au 1er janvier pour un greffon hors malade en CIT |
0,2 |
0,4 |
0,5 |
0,2 |
0,6 |
0,3 |
Total candidats pour un greffon |
1,4 |
2 |
1,9 |
2,1 |
2,1 |
1,7 |
CIT : Contre indication temporaire
Données extraites de CRISTAL le 02/03/2017
L’évolution de la pénurie peut être mesurée par :
- le nombre de receveurs en attente au 1er janvier de l’année pour un greffon (0,5 receveur début 2016 pour 1 greffon cardiaque) ;
- le nombre de nouveaux inscrits pour un greffon (1,2 inscrits pour un greffon) ;
- le nombre total de candidats pour un greffon (1,7 candidats pour un greffon).
Tableau Péd C3. Caractéristiques démographiques des donneurs de greffon cardiaque et des malades inscrits avant l'âge de 18 ans selon leur devenir en liste d'attente en 2016
Caractéristiques |
Greffons cardiaques greffés en 2016 |
Malades en attente au 1er janvier 2016 |
Nouveaux malades inscrits en 2016 |
Malades greffés en 2016 |
Malades décédés en 2016 |
Malades sortis de la liste pour aggravation en 2016 |
||||||
n |
% |
n |
% |
n |
% |
n |
% |
n |
% |
n |
% |
|
Age |
||||||||||||
0-2 ans |
5 |
22,7 |
3 |
27,3 |
4 |
15,4 |
5 |
22,7 |
0 |
0 |
0 |
0 |
3-5 ans |
2 |
9,1 |
2 |
18,2 |
6 |
23,1 |
3 |
13,6 |
1 |
50 |
0 |
0 |
6-10 ans |
2 |
9,1 |
3 |
27,3 |
5 |
19,2 |
3 |
13,6 |
1 |
50 |
0 |
0 |
11-17 ans |
2 |
9,1 |
3 |
27,3 |
11 |
42,3 |
11 |
50 |
0 |
0 |
0 |
0 |
18-29 ans |
6 |
27,3 |
0 |
0 |
0 |
0 |
0 |
0 |
0 |
0 |
0 |
0 |
30 ans et plus |
5 |
22,7 |
0 |
0 |
0 |
0 |
0 |
0 |
0 |
0 |
0 |
0 |
(m ± ds, ans) |
17,9 |
13,7 |
6,9 |
5,1 |
8,8 |
5,7 |
9,2 |
5,9 |
6,4 |
3,7 |
. |
. |
Sexe |
||||||||||||
Masculin |
10 |
45,5 |
8 |
72,7 |
13 |
50 |
10 |
45,5 |
2 |
100 |
0 |
0 |
Féminin |
12 |
54,5 |
3 |
27,3 |
13 |
50 |
12 |
54,5 |
0 |
0 |
0 |
0 |
Groupe sanguin |
||||||||||||
A |
7 |
31,8 |
1 |
9,1 |
9 |
34,6 |
6 |
27,3 |
2 |
100 |
0 |
0 |
AB |
0 |
0 |
0 |
0 |
3 |
11,5 |
1 |
4,5 |
0 |
0 |
0 |
0 |
B |
2 |
9,1 |
1 |
9,1 |
4 |
15,4 |
4 |
18,2 |
0 |
0 |
0 |
0 |
O |
13 |
59,1 |
9 |
81,8 |
10 |
38,5 |
11 |
50 |
0 |
0 |
0 |
0 |
Total |
22 |
100 |
11 |
100 |
26 |
100 |
22 |
100 |
2 |
100 |
0 |
0 |
na=non applicable / (m ± ds,ans): moyenne ± déviation standard
Données extraites de CRISTAL le 02/03/2017
Tableau Péd C4. Caractéristiques des malades inscrits avant l'âge de 18 ans selon leur devenir en liste d'attente de greffe cardiaque en 2016
Caractéristiques |
Malades en attente au 1er janvier 2016 |
Nouveaux malades inscrits en 2016 |
Malades greffés en 2016 |
Malades décédés en 2016 |
Malades sortis de la liste pour aggravation en 2016 |
|||||
n |
% |
n |
% |
n |
% |
n |
% |
n |
% |
|
Lieu de prise en charge médicale |
||||||||||
Domicile |
4 |
36,4 |
6 |
23,1 |
4 |
18,2 |
0 |
0 |
0 |
0 |
Hôpital |
1 |
9,1 |
3 |
11,5 |
3 |
13,6 |
1 |
50 |
0 |
0 |
USI |
5 |
45,5 |
17 |
65,4 |
11 |
50 |
1 |
50 |
0 |
0 |
Données manquantes |
1 |
9,1 |
0 |
0 |
4 |
18,2 |
0 |
0 |
0 |
0 |
Retransplantation |
||||||||||
Oui |
0 |
0 |
1 |
3,8 |
1 |
4,5 |
0 |
0 |
0 |
0 |
Non |
11 |
100 |
25 |
96,2 |
21 |
95,5 |
2 |
100 |
0 |
0 |
Ventilation assistée invasive |
||||||||||
Oui |
4 |
36,4 |
7 |
26,9 |
3 |
13,6 |
1 |
50 |
0 |
0 |
Non |
5 |
45,5 |
19 |
73,1 |
16 |
72,7 |
1 |
50 |
0 |
0 |
Données manquantes |
2 |
18,2 |
0 |
0 |
3 |
13,6 |
0 |
0 |
0 |
0 |
Assistance ventriculaire ou cœur artificiel total |
||||||||||
Oui |
2 |
18,2 |
4 |
15,4 |
5 |
22,7 |
0 |
0 |
0 |
0 |
Non |
7 |
63,6 |
22 |
84,6 |
13 |
59,1 |
2 |
100 |
0 |
0 |
Données manquantes |
2 |
18,2 |
0 |
0 |
4 |
18,2 |
0 |
0 |
0 |
0 |
Circulation extra corporelle |
||||||||||
Oui |
0 |
0 |
7 |
26,9 |
5 |
22,7 |
0 |
0 |
0 |
0 |
Non |
9 |
81,8 |
19 |
73,1 |
13 |
59,1 |
2 |
100 |
0 |
0 |
Données manquantes |
2 |
18,2 |
0 |
0 |
4 |
18,2 |
0 |
0 |
0 |
0 |
Drogues inotropes |
||||||||||
Oui |
5 |
45,5 |
14 |
53,8 |
6 |
27,3 |
2 |
100 |
0 |
0 |
Non |
5 |
45,5 |
12 |
46,2 |
13 |
59,1 |
0 |
0 |
0 |
0 |
Données manquantes |
1 |
9,1 |
0 |
0 |
3 |
13,6 |
0 |
0 |
0 |
0 |
Dialyse |
||||||||||
Oui |
0 |
0 |
0 |
0 |
0 |
0 |
0 |
0 |
0 |
0 |
Non |
10 |
90,9 |
26 |
100 |
22 |
100 |
2 |
100 |
0 |
0 |
Données manquantes |
1 |
9,1 |
0 |
0 |
0 |
0 |
0 |
0 |
0 |
0 |
Créatinémie |
||||||||||
<60 µmol/l |
8 |
72,7 |
16 |
61,5 |
12 |
54,5 |
1 |
50 |
0 |
0 |
60-119 µmol/l |
1 |
9,1 |
9 |
34,6 |
4 |
18,2 |
1 |
50 |
0 |
0 |
120-199 µmol/l |
0 |
0 |
1 |
3,8 |
1 |
4,5 |
0 |
0 |
0 |
0 |
>=200 µmol/l |
0 |
0 |
0 |
0 |
0 |
0 |
0 |
0 |
0 |
0 |
Données manquantes |
2 |
18,2 |
0 |
0 |
6 |
27,3 |
0 |
0 |
0 |
0 |
Bilirubine |
||||||||||
<35 µmol/l |
8 |
72,7 |
20 |
76,9 |
15 |
68,2 |
2 |
100 |
0 |
0 |
35-49 µmol/l |
0 |
0 |
1 |
3,8 |
1 |
4,5 |
0 |
0 |
0 |
0 |
>=50 µmol/l |
1 |
9,1 |
3 |
11,5 |
0 |
0 |
0 |
0 |
0 |
0 |
Données manquantes |
2 |
18,2 |
2 |
7,7 |
5 |
22,7 |
0 |
0 |
0 |
0 |
Diabète à l’inscription |
||||||||||
Oui |
0 |
0 |
1 |
3,8 |
1 |
4,5 |
0 |
0 |
0 |
0 |
Non |
10 |
90,9 |
25 |
96,2 |
21 |
95,5 |
2 |
100 |
0 |
0 |
Données manquantes |
1 |
9,1 |
0 |
0 |
0 |
0 |
0 |
0 |
0 |
0 |
Total |
11 |
100 |
26 |
100 |
22 |
100 |
2 |
100 |
0 |
0 |
Données extraites de CRISTAL le 02/03/2017
Tableau Péd C5. Evolution du nombre de nouveaux malades pédiatriques en attente d'une greffe cardiaque selon l'indication
|
2011 |
2012 |
2013 |
2014 |
2015 |
2016 |
||||||
N |
% |
N |
% |
N |
% |
N |
% |
N |
% |
N |
% |
|
Autres ou indéterminées |
0 |
0 |
1 |
2,9 |
1 |
3,7 |
1 |
2,4 |
0 |
0 |
3 |
11,5 |
Cardiomyopathies dilatées |
23 |
52,3 |
19 |
55,9 |
15 |
55,6 |
22 |
52,4 |
8 |
33,3 |
13 |
50 |
Cardiopathies hypertrophiques et restrictives |
6 |
13,6 |
2 |
5,9 |
2 |
7,4 |
8 |
19 |
2 |
8,3 |
5 |
19,2 |
Chirurgies thoraciques antérieures |
7 |
15,9 |
2 |
5,9 |
2 |
7,4 |
4 |
9,5 |
5 |
20,8 |
1 |
3,8 |
Maladies congénitales |
8 |
18,2 |
10 |
29,4 |
7 |
25,9 |
5 |
11,9 |
9 |
37,5 |
4 |
15,4 |
Retransplantations |
0 |
0 |
0 |
0 |
0 |
0 |
2 |
4,8 |
0 |
0 |
0 |
0 |
Total |
44 |
100 |
34 |
100 |
27 |
100 |
42 |
100 |
24 |
100 |
26 |
100 |
Données extraites de CRISTAL le 02/03/2017
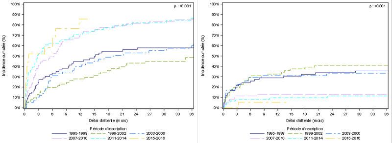
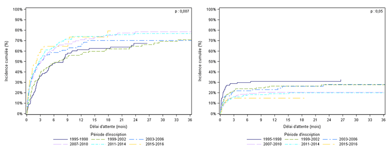
Figure Ped C1. Taux d'incidence cumulée de greffe et de décès ou de sortie de liste pour aggravation des nouveaux inscrits avant l’âge de 18 ans en attente de greffe cardiaque selon la période d'inscription (1995-2016)
|
Incidence cumulée des greffes avec prise en compte du risque concurrent de décès en attente ou sorties pour aggravation |
|||||
en % [IC à 95%] |
||||||
Période d'inscription |
N |
à 3 mois |
à 6 mois |
à 12 mois |
à 24 mois |
à 36 mois |
1995-1998 |
130 |
37 [28-45] |
49 [40-58] |
62 [53-71] |
NC |
NC |
1999-2002 |
133 |
39 [30-47] |
50 [41-58] |
58 [48-66] |
66 [56-74] |
72 [63-80] |
2003-2006 |
113 |
50 [40-59] |
60 [49-68] |
67 [57-75] |
NC |
NC |
2007-2010 |
127 |
49 [40-57] |
62 [53-70] |
72 [63-79] |
NC |
NC |
2011-2014 |
147 |
53 [44-61] |
65 [56-72] |
75 [66-81] |
NC |
NC |
2015-2016 |
50 |
62 [45-75] |
68 [50-80] |
79 [58-91] |
NC |
NC |
|
Incidence cumulée des décès en attente ou sorties pour aggravation avec prise en compte du risque concurrent de greffe |
|||||
en % [IC à 95%] |
||||||
Période d'inscription |
N |
à 3 mois |
à 6 mois |
à 12 mois |
à 24 mois |
à 36 mois |
1995-1998 |
130 |
30 [22-38] |
31 [23-39] |
33 [23-42] |
33 [23-42] |
NC |
1999-2002 |
133 |
22 [16-30] |
25 [18-32] |
28 [20-36] |
NC |
NC |
2003-2006 |
113 |
23 [15-31] |
23 [15-31] |
24 [17-33] |
30 [20-40] |
30 [20-40] |
2007-2010 |
127 |
17 [11-24] |
20 [14-28] |
NC |
NC |
NC |
2011-2014 |
147 |
17 [11-23] |
19 [13-26] |
20 [14-27] |
NC |
NC |
2015-2016 |
50 |
NC |
NC |
NC |
NC |
NC |
NC=Non calculable / IC : Intervalle de confiance
Données extraites de CRISTAL le 02/03/2017
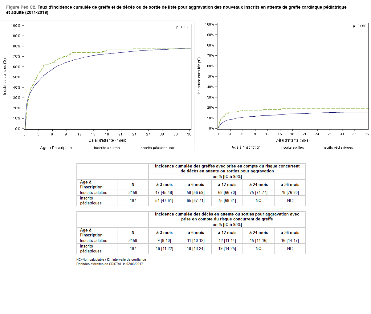
Après 1 an d’attente, les malades pédiatriques inscrits entre 2015 et 2016 ont 79% de chance d’être greffés.
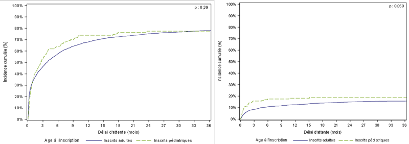
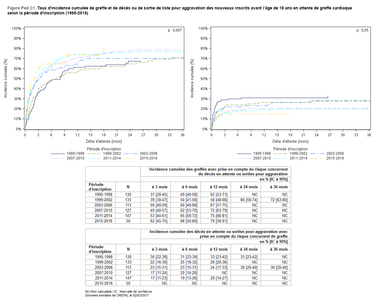
Figure Ped C2. Taux d'incidence cumulée de greffe et de décès ou de sortie de liste pour aggravation des nouveaux inscrits en attente de greffe cardiaque pédiatrique et adulte (2011-2016)
|
Incidence cumulée des greffes avec prise en compte du risque concurrent de décès en attente ou sorties pour aggravation |
|||||
en % [IC à 95%] |
||||||
Age à l'inscription |
N |
à 3 mois |
à 6 mois |
à 12 mois |
à 24 mois |
à 36 mois |
Inscrits adultes |
3158 |
47 [45-48] |
58 [56-59] |
68 [66-70] |
75 [74-77] |
78 [76-80] |
Inscrits pédiatriques |
197 |
54 [47-61] |
65 [57-71] |
75 [68-81] |
NC |
NC |
|
Incidence cumulée des décès en attente ou sorties pour aggravation avec prise en compte du risque concurrent de greffe |
|||||
en % [IC à 95%] |
||||||
Age à l'inscription |
N |
à 3 mois |
à 6 mois |
à 12 mois |
à 24 mois |
à 36 mois |
Inscrits adultes |
3158 |
9 [8-10] |
11 [10-12] |
12 [11-14] |
15 [14-16] |
16 [14-17] |
Inscrits pédiatriques |
197 |
16 [11-22] |
18 [13-24] |
19 [14-25] |
NC |
NC |
NC=Non calculable / IC : Intervalle de confiance
Données extraites de CRISTAL le 02/03/2017
Après 1 an d’attente, les malades pédiatriques inscrits entre 2011 et 2016 ont 75% de chance d’être greffés. Le risque de décès en liste d’attente est significativement plus élevé chez les malades pédiatriques que chez les adultes (19% à 1 an versus 12% chez les adultes).
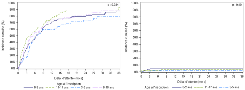
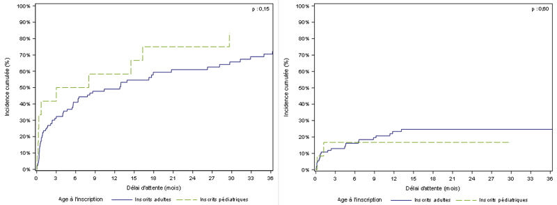
Figure Ped C3. Taux d'incidence cumulée de greffe et de décès ou de sortie de liste pour aggravation des nouveaux inscrits en attente de greffe cardiaque selon l'âge à l'inscription (2011-2016)
|
Incidence cumulée des greffes avec prise en compte du risque concurrent de décès en attente ou sorties pour aggravation |
|||||
en % [IC à 95%] |
||||||
Age à l'inscription |
N |
à 3 mois |
à 6 mois |
à 12 mois |
à 24 mois |
à 36 mois |
0 - 2 ans |
46 |
37 [22-51] |
44 [29-58] |
NC |
NC |
NC |
3 - 5 ans |
27 |
27 [12-46] |
51 [28-70] |
57 [32-75] |
NC |
NC |
6 - 10 ans |
33 |
69 [48-83] |
73 [51-86] |
82 [57-93] |
NC |
NC |
11 - 17 ans |
91 |
69 [58-78] |
81 [71-88] |
93 [80-98] |
NC |
NC |
|
Incidence cumulée des décès en attente ou sorties pour aggravation avec prise en compte du risque concurrent de greffe |
|||||
en % [IC à 95%] |
||||||
Age à l'inscription |
N |
à 3 mois |
à 6 mois |
à 12 mois |
à 24 mois |
à 36 mois |
0 - 2 ans |
46 |
34 [20-48] |
36 [22-51] |
39 [24-54] |
NC |
NC |
3 - 5 ans |
27 |
27 [12-46] |
NC |
NC |
NC |
NC |
6 - 10 ans |
33 |
NC |
NC |
NC |
NC |
NC |
11 - 17 ans |
91 |
NC |
NC |
NC |
NC |
NC |
NC=Non calculable / IC : Intervalle de confiance
Données extraites de CRISTAL le 02/03/2017
Après 6 mois d’attente, les malades pédiatriques inscrits entre 2011 et 2016 de plus de 6 ans ont un taux de greffe plus important que les très jeunes enfants (81% pour les 11-17 ans, 73% pour les 6-10 ans et 51% pour les 3-5 ans versus 44% pour les 0-2 ans). Les malades inscrits durant cette période et âgés de 0 à 2 ans ont un fort taux de décès dès 6 mois suivant leur inscription sur la liste d’attente. Néanmoins, les effectifs faibles conduisent à une interprétation prudente de ces résultats.
Prélèvement en vue de greffe
En 2016, 6% (32 sur 501) des donneurs décédés et prélevés d’un greffon cardiaque en France ont moins de 18 ans. Parmi les 32 greffons cardiaques pédiatriques prélevés en France, 24 sont greffés en France et 8 sont greffés à l’étranger. Parmi les 24 greffons pédiatriques prélevés et greffés en France, 10 (42%) le sont à des enfants et 14 (58%) à des adultes. Aucun greffon pédiatrique prélevé à l’étranger n’a été greffé en France. Parmi les 24 donneurs pédiatriques résidant en France dont le greffon cardiaque est greffé en France, 6 (25%) ont moins de 5 ans et 18 (75%) ont plus de 5 ans. Le nombre de donneurs pédiatriques prélevés d’un greffon cardiaque en France en 2016 est inférieur de 6% à celui de 2015 dans un contexte de diminution du nombre de donneurs prélevés d’un greffon cardiaque de 2%. Ainsi, la proportion des donneurs pédiatriques parmi l’ensemble des donneurs de greffon cardiaque a diminué de 7% à 6%.
Parmi les 21 enfants inscrits et greffés avant l’âge de 18 ans avec un greffon prélevé en France, 11 (52%) reçoivent un greffon adulte et 10 (48%) un greffon pédiatrique.
Ces données ont conduit l’Agence en collaboration et les professionnels à pondérer le nouveau score de répartition des greffons avec la différence d’âge entre donneur et receveur.
Tableau Péd C6. Evolution du nombre de donneurs décédés et prélevés d'un greffon cardiaque en France selon l'âge du donneur
Année de prélèvement |
Donneurs pédiatriques |
Donneurs adultes |
1993 |
44 |
452 |
1994 |
42 |
372 |
1995 |
51 |
342 |
1996 |
68 |
458 |
1997 |
61 |
395 |
1998 |
53 |
457 |
1999 |
40 |
381 |
2000 |
31 |
383 |
2001 |
32 |
341 |
2002 |
32 |
349 |
2003 |
24 |
299 |
2004 |
24 |
338 |
2005 |
19 |
376 |
2006 |
30 |
391 |
2007 |
41 |
352 |
2008 |
23 |
366 |
2009 |
24 |
356 |
2010 |
25 |
351 |
2011 |
37 |
397 |
2012 |
30 |
406 |
2013 |
32 |
405 |
2014 |
34 |
418 |
2015 |
34 |
477 |
2016 |
32 |
469 |
Ce tableau comprend tous les greffons prélevés en France (y compris les non greffés)
Données extraites de CRISTAL le 02/03/2017
Tableau Péd C7. Evolution du nombre de greffons cardiaques pédiatriques prélevés en France et greffés selon l'âge du donneur
Année de prélèvement |
0 - 2 ans |
3 - 5 ans |
6 - 10 ans |
11 - 17 ans |
1993 |
6 |
2 |
3 |
31 |
1994 |
4 |
1 |
7 |
30 |
1995 |
8 |
1 |
6 |
36 |
1996 |
4 |
1 |
11 |
39 |
1997 |
3 |
1 |
3 |
38 |
1998 |
6 |
2 |
5 |
27 |
1999 |
2 |
3 |
2 |
24 |
2000 |
2 |
0 |
4 |
18 |
2001 |
5 |
3 |
1 |
21 |
2002 |
0 |
4 |
2 |
20 |
2003 |
3 |
0 |
3 |
15 |
2004 |
2 |
0 |
3 |
17 |
2005 |
6 |
0 |
1 |
9 |
2006 |
7 |
2 |
2 |
14 |
2007 |
3 |
2 |
2 |
32 |
2008 |
4 |
2 |
1 |
16 |
2009 |
2 |
3 |
0 |
18 |
2010 |
1 |
3 |
4 |
15 |
2011 |
9 |
3 |
5 |
20 |
2012 |
3 |
3 |
4 |
18 |
2013 |
6 |
1 |
6 |
16 |
2014 |
6 |
1 |
4 |
21 |
2015 |
7 |
3 |
3 |
17 |
2016 |
10 |
3 |
3 |
16 |
Ce tableau comprend tous les greffons prélevés en France et greffés (y compris les greffons greffés à l'étranger).
Données extraites de CRISTAL le 02/03/2017
Tableau Péd C8. Age des donneurs prélevés d’un greffon cardiaque greffé en France en 2015 selon l'âge du receveur au moment de la greffe
Age du donneur |
Age du receveur |
Total |
||||||
0-2 ans |
3-5 ans |
6-10 ans |
11-17 ans |
18-29 ans |
30-59 ans |
60 ans et plus |
||
0-2 ans |
3 |
1 |
0 |
0 |
0 |
0 |
0 |
4 |
3-5 ans |
1 |
1 |
0 |
0 |
0 |
0 |
0 |
2 |
6-10 ans |
0 |
1 |
0 |
1 |
0 |
0 |
0 |
2 |
11-17 ans |
0 |
0 |
1 |
1 |
1 |
10 |
3 |
16 |
18-29 ans |
0 |
0 |
1 |
5 |
6 |
60 |
19 |
91 |
30-59 ans |
0 |
0 |
1 |
4 |
21 |
198 |
77 |
301 |
60 ans et plus |
0 |
0 |
0 |
0 |
2 |
36 |
22 |
60 |
Total |
4 |
3 |
3 |
11 |
30 |
304 |
121 |
476 |
Ce tableau comprend les greffons prélevés en France et greffés en France.
Données extraites de CRISTAL le 02/03/2017
En 2016, 8 greffons cardiaques pédiatriques et 3 greffons adultes ont été prélevés en France et greffés à l’étranger (non inclus dans le tableau).
Un greffon adulte a été prélevé à l’étranger et greffé en France (non inclus dans le tableau).
Pour retrouver le nombre total de greffes réalisées en France (477), il faut ajouter au nombre du tableau les cœurs prélevés à l'étranger et greffés en France (1).
Quatorze greffons adultes ont été prélevés en France et non greffés.
Attribution des greffons et priorités
En 2016, le nombre de demandes de SU1 et le nombre de malades pour lesquels une demande de SU1 a été faite augmentent de 20% par rapport à 2015, alors même que la proportion de candidats pour lesquels une demande de SU1 a été faite augmente de 11% (54% en 2015 et 65% en 2016). Le nombre de greffes réalisées dans le cadre d’une SU1 augmente quant à lui de 3%. En 2016, effectivement, la proportion de malades greffés avec une SU1 active est de 86% alors qu’elle était de 83% en 2015. L’analyse du devenir des malades pour lesquels une demande de SU1 a été acceptée en 2016 montre, qu’un mois après la demande, 46% des malades sont greffés, 42% sont toujours en attente et 12% sont décédés ou sortis de liste pour aggravation de leur état médical. La fréquence des dérogations de groupe sanguin parmi les malades ayant bénéficié d’une SU1 continue de diminuer (29% en 2016).
Tableau Péd C9. Évolution des demandes de priorité chez les candidats pédiatriques (2011-2016)
Type de priorité |
Année de demande de la SU |
Nombre de demandes |
Nombre de malades |
Nombre de demandes acceptées |
Nombre de malades dont la demande a été acceptée |
Fréquence de demandes acceptées (%) |
Fréquence des dérogations de groupe sanguin compatible parmi les demandes acceptées (%) |
SU1 |
2011 |
31 |
29 |
30 |
29 |
96,8 |
43,3 |
2012 |
17 |
16 |
17 |
16 |
100 |
41,2 |
|
2013 |
16 |
16 |
16 |
16 |
100 |
62,5 |
|
2014 |
31 |
30 |
31 |
30 |
100 |
54,8 |
|
2015 |
20 |
20 |
20 |
20 |
100 |
30 |
|
2016 |
24 |
24 |
24 |
24 |
100 |
29,2 |
|
SU2 |
2012 |
3 |
3 |
2 |
2 |
66,7 |
0 |
2013 |
1 |
1 |
1 |
1 |
100 |
0 |
|
2014 |
3 |
3 |
3 |
3 |
100 |
66,7 |
|
2016 |
1 |
1 |
1 |
1 |
100 |
100 |
|
SU3 |
2015 |
1 |
1 |
0 |
. |
0 |
. |
Urgence |
2011 |
1 |
1 |
1 |
1 |
100 |
0 |
2012 |
1 |
1 |
1 |
1 |
100 |
0 |
|
2014 |
1 |
1 |
1 |
1 |
100 |
0 |
SU1 : Super Urgence 1 créée en juillet 2004; SU2 : Super Urgence 2 créée en juillet 2004; SU3 : Super Urgence 3 créée en juillet 2013
Données extraites de CRISTAL le 02/03/2017
Tableau Péd C10. Devenir des malades pédiatriques un mois après la première demande de SU1 effectuée et acceptée en 2016
|
Total |
|
N |
% |
|
Attente |
10 |
41,7 |
Décès en liste d'attente |
3 |
12,5 |
Greffe |
11 |
45,8 |
Total |
24 |
100 |
Données extraites de CRISTAL le 02/03/2017
La durée de SU1 est de 48h renouvelable 48 heures sur demande. Elle est de durée illimitée pour les malades pédiatriques.
Tableau Péd C11. Évolution du devenir des malades pédiatriques selon la dernière priorité active par année de sortie de la liste d'attente
|
SU1 active |
SU2 active |
Urgence |
Sans priorité active |
||||||
Année de sortie de liste* |
Devenir sur la liste d'attente |
Total |
N |
% |
N |
% |
N |
% |
N |
% |
2011 |
Sortie de liste pour aggravation de la maladie initiale |
1 |
1 |
100,0 |
0 |
NA |
0 |
NA |
0 |
NA |
|
Décès en liste d'attente |
4 |
2 |
50,0 |
0 |
NA |
0 |
NA |
2 |
50,0 |
|
Greffe |
37 |
25 |
67,6 |
0 |
NA |
0 |
NA |
12 |
32,4 |
2012 |
Sortie de liste pour aggravation de la maladie initiale |
1 |
0 |
NA |
0 |
NA |
0 |
NA |
1 |
100,0 |
|
Sortie de liste pour amélioration |
2 |
1 |
50,0 |
0 |
NA |
0 |
NA |
1 |
50,0 |
|
Décès en liste d'attente |
8 |
2 |
25,0 |
0 |
NA |
0 |
NA |
6 |
75,0 |
|
Greffe |
23 |
14 |
60,9 |
1 |
4,3 |
0 |
NA |
8 |
34,8 |
2013 |
Sortie de liste pour amélioration |
1 |
1 |
100,0 |
0 |
NA |
0 |
NA |
0 |
NA |
|
Décès en liste d'attente |
7 |
4 |
57,1 |
2 |
28,6 |
0 |
NA |
1 |
14,3 |
|
Greffe |
20 |
13 |
65,0 |
0 |
NA |
0 |
NA |
7 |
35,0 |
2014 |
Sortie de liste pour aggravation hors maladie initiale |
1 |
1 |
100,0 |
0 |
NA |
0 |
NA |
0 |
NA |
|
Sortie de liste pour amélioration |
6 |
1 |
16,7 |
1 |
16,7 |
0 |
NA |
4 |
66,7 |
|
Décès en liste d'attente |
7 |
4 |
57,1 |
1 |
14,3 |
0 |
NA |
2 |
28,6 |
|
Greffe |
25 |
19 |
76,0 |
1 |
4,0 |
0 |
NA |
5 |
20,0 |
2015 |
Sortie de liste pour amélioration |
2 |
0 |
NA |
0 |
NA |
0 |
NA |
2 |
100,0 |
|
Décès en liste d'attente |
6 |
5 |
83,3 |
0 |
NA |
0 |
NA |
1 |
16,7 |
|
Greffe |
18 |
15 |
83,3 |
0 |
NA |
0 |
NA |
3 |
16,7 |
2016 |
Sortie de liste pour amélioration |
3 |
2 |
66,7 |
0 |
NA |
0 |
NA |
1 |
33,3 |
|
Décès en liste d'attente |
2 |
2 |
100,0 |
0 |
NA |
0 |
NA |
0 |
NA |
|
Greffe |
22 |
19 |
86,4 |
1 |
4,5 |
0 |
NA |
2 |
9,1 |
* La greffe est considérée comme une sortie de liste d’attente
NA= Non applicable / SU1 : Super Urgence 1 ; SU2 : Super Urgence 2
Données extraites de CRISTAL le 02/03/2017
Tableau Péd C12. Caractéristiques des malades sous Super Urgence 1 (demandes faites en 2016 et acceptées)
|
SU1 |
|
N |
% |
|
Sexe |
||
F |
10 |
41,7 |
M |
14 |
58,3 |
Groupe sanguin |
||
A |
7 |
29,2 |
AB |
3 |
12,5 |
B |
3 |
12,5 |
O |
11 |
45,8 |
Lieu de prise en charge au moment de l'inscription en liste |
||
Domicile |
5 |
20,8 |
Hôpital |
3 |
12,5 |
USI |
16 |
66,7 |
Ventilation assistée invasive à l'inscription* |
||
Non |
18 |
75 |
Oui |
6 |
25 |
Assistance ventriculaire ou cœur artificiel à l'inscription* |
||
Non |
21 |
87,5 |
Oui |
2 |
8,3 |
Données manquantes |
1 |
4,2 |
Circulation extra corporelle à l'inscription |
||
Non |
17 |
70,8 |
Oui |
6 |
25 |
Données manquantes |
1 |
4,2 |
Drogues inotropes à l'inscription |
||
Non |
9 |
37,5 |
Oui |
15 |
62,5 |
Dialyse à l'inscription |
||
Non |
24 |
100 |
Bilirubine à l'inscription |
||
<35 µmol/l |
20 |
83,3 |
35-49 µmol/l |
1 |
4,2 |
>=50 µmol/l |
2 |
8,3 |
Données manquantes |
1 |
4,2 |
Créatinémie à l'inscription |
||
<60 µmol/l |
16 |
66,7 |
60-119 µmol/l |
7 |
29,2 |
120-199 µmol/l |
1 |
4,2 |
Total |
24 |
100 |
SU1 : Super Urgence 1
* Certains malades ont pu avoir une assistance mécanique transitoire qui a été arrétée avant la demande de SU - 1 malade a eu une SU1 puis a été assisté et a finalement bénéficié d’une SU2
Données extraites de CRISTAL le 02/03/2017
Activité de greffe
L’activité de greffe cardiaque pédiatrique augmente en 2016 par rapport à 2015 de 22% pour revenir à son niveau de 2013 (0,3 greffe par million d’habitants). Cette évolution a lieu alors que le nombre de nouveaux inscrits en liste d’attente est en hausse de 8%. En 2016, le niveau de pénurie est ainsi plus bas qu’en 2015 (1,7 candidat pour 1 greffon en 2016 contre 2,1 en 2015). La mise en place de la priorité nationale pédiatrique en 2005 avec une attribution préférentielle des greffons de donneurs de moins de 55 ans et 50 kilogrammes aux candidats pédiatriques permet d’avoir un niveau de pénurie parmi les malades inscrits avant l’âge de 18 ans légèrement inférieur à celui de la cohorte globale (2 candidats pour un greffon). En 2016, la fréquence des décès et sorties de liste d’attente pour aggravation est de 5% en baisse par rapport à 2015 (17%). Les décès pédiatriques représentent 3% de l’ensemble des décès en liste d’attente (2 sur 79). Le devenir des malades inscrits avant l’âge de 6 ans est de ce point de vue différent de celui des candidats pédiatriques inscrits après 5 ans puisque ces premiers qui représentent 41% des candidats pédiatriques, 36% des greffés pédiatriques, et 50% des décès en liste d’attente sur des effectifs faibles. Cette situation s’explique en 2016 principalement par la pénurie dynamique, puisque, parmi les 13 greffons cardiaques issus de donneurs âgés de 5 ans ou moins, sur 32 (41%) greffons pédiatriques prélevés et greffés, 7 ont été greffés à l’étranger. Par ailleurs, il n’y a pas d’assistance circulatoire mécanique de longue durée disponible pour les patients de cette tranche d’âge.
Parmi les 10 équipes qui effectuent au moins une greffe en 2016 chez des malades inscrits en attente avant l’âge de 18 ans, 6 ont une autorisation pour la greffe cardiaque pédiatrique et 4 ont bénéficié d’une dérogation. Les centres pédiatriques réalisent 82% des greffes pédiatriques.
Les cardiopathies les plus fréquentes conduisant à la greffe sont les cardiomyopathies dilatées (55%) et les cardiomyopathies hypertrophiques et restrictives (14%).
Tableau Péd C13. Évolution de l'activité de greffe cardiaque chez les malades inscrits avant l'âge de 18 ans selon l'âge au moment de la greffe
Année de greffe |
0-17 ans au moment de la greffe |
18 ans et plus au moment de la greffe |
1995 |
19 |
1 |
1996 |
20 |
0 |
1997 |
18 |
1 |
1998 |
9 |
0 |
1999 |
22 |
2 |
2000 |
23 |
1 |
2001 |
24 |
0 |
2002 |
13 |
0 |
2003 |
16 |
1 |
2004 |
17 |
2 |
2005 |
17 |
1 |
2006 |
19 |
1 |
2007 |
20 |
2 |
2008 |
20 |
1 |
2009 |
22 |
3 |
2010 |
22 |
2 |
2011 |
36 |
1 |
2012 |
23 |
0 |
2013 |
20 |
0 |
2014 |
24 |
1 |
2015 |
17 |
1 |
2016 |
22 |
0 |
Ce tableau comprend les greffons prélevés en France et greffés en France.
Données extraites de CRISTAL le 02/03/2017
Tableau Péd C14. Evolution du nombre de greffés pédiatriques de cœur selon l'indication
|
2011 |
2012 |
2013 |
2014 |
2015 |
2016 |
||||||
N |
% |
N |
% |
N |
% |
N |
% |
N |
% |
N |
% |
|
Autres ou indéterminées |
0 |
0 |
0 |
0 |
0 |
0 |
1 |
4 |
0 |
0 |
3 |
13,6 |
Cardiomyopathies dilatées |
20 |
54,1 |
14 |
60,9 |
10 |
50 |
12 |
48 |
7 |
38,9 |
12 |
54,5 |
Cardiopathies congénitales |
4 |
10,8 |
7 |
30,4 |
7 |
35 |
3 |
12 |
5 |
27,8 |
2 |
9,1 |
Cardiopathies hypertrophiques et restrictives |
7 |
18,9 |
1 |
4,3 |
2 |
10 |
6 |
24 |
3 |
16,7 |
3 |
13,6 |
Chirurgies thoraciques antérieures* |
6 |
16,2 |
1 |
4,3 |
1 |
5 |
1 |
4 |
3 |
16,7 |
2 |
9,1 |
Retransplantations |
0 |
0 |
0 |
0 |
0 |
0 |
2 |
8 |
0 |
0 |
0 |
0 |
Total |
37 |
100 |
23 |
100 |
20 |
100 |
25 |
100 |
18 |
100 |
22 |
100 |
* les Chirurgies thoraciques antérieures regroupent les chirurgies pour cardiopathies autre origine, les maladies valvulaires et coronariennes ainsi que les chirurgies antérieures
Données extraites de CRISTAL le 02/03/2017
Parmi les indications conduisant à la greffe cardiaque pédiatrique en 2016, les cardiomyopathies dilatées concernent 55% des greffés, les cardiomyopathies hypertrophiques et restrictives 14%, et les maladies congénitales 9%. Neuf pourcents des greffés ont eu une chirurgie thoracique antérieure. Les effectifs étant faibles, ces proportions varient beaucoup d’une année sur l’autre.
Tableau Péd C15. Nombre de greffes cardiaques effectuées en 2016 par équipe chez des malades inscrits avant l'âge de 18 ans
|
Receveurs âgés de moins de 18 ans au moment de la greffe |
Receveurs âgés de plus de 18 ans au moment de la greffe |
Bordeaux (A+P) |
2 |
0 |
Le Plessis-Robinson Marie-Lannelongue (A+P) |
2 |
0 |
Lille (A) |
1 |
0 |
Lyon I (HCL) (A+P) |
3 |
0 |
Marseille Timone enfants (APM) (P) |
4 |
0 |
Nantes (A+P) |
1 |
0 |
Paris Bichat (AP-HP) (A) |
1 |
0 |
Paris Georges Pompidou (AP-HP) (A) |
1 |
0 |
Paris Necker Enfants Malades (AP-HP) (P) |
6 |
0 |
Paris Pitié-Salpêtrière (AP-HP) (A) |
1 |
0 |
Total |
22 |
0 |
Données extraites de CRISTAL le 02/03/2017
En 2016, 10 équipes ont réalisé de 1 à 6 greffes cardiaques pédiatriques.
Au total, 6 équipes sont autorisées à réaliser des greffes pédiatriques cardiaques.
Tableau Péd C16. Evolution du nombre de greffes cardiaques par équipe chez des malades inscrits avant l'âge de 18 ans
|
2011 |
2012 |
2013 |
2014 |
2015 |
2016 |
Bordeaux (A+P) |
6 |
5 |
2 |
1 |
2 |
2 |
Grenoble (A) |
0 |
0 |
0 |
1 |
0 |
0 |
Le Plessis-Robinson Marie-Lannelongue (A+P) |
2 |
3 |
5 |
3 |
0 |
2 |
Lille (A) |
2 |
0 |
0 |
1 |
0 |
1 |
Lyon I (HCL) (A+P) |
8 |
4 |
1 |
4 |
4 |
3 |
Marseille Timone enfants (APM) (P) |
6 |
0 |
2 |
1 |
3 |
4 |
Nancy (A) |
2 |
2 |
0 |
0 |
1 |
0 |
Nantes (A+P) |
1 |
1 |
0 |
3 |
1 |
1 |
Paris Bichat (AP-HP) (A) |
0 |
0 |
0 |
1 |
0 |
1 |
Paris Georges Pompidou (AP-HP) (A) |
2 |
0 |
0 |
0 |
1 |
1 |
Paris Necker Enfants Malades (AP-HP) (P) |
5 |
6 |
5 |
4 |
1 |
6 |
Paris Pitié-Salpêtrière (AP-HP) (A) |
0 |
0 |
2 |
3 |
1 |
1 |
Rennes (A) |
0 |
1 |
0 |
1 |
0 |
0 |
Rouen (A) |
1 |
0 |
0 |
1 |
0 |
0 |
Strasbourg (A) |
1 |
1 |
1 |
0 |
1 |
0 |
Toulouse (A) |
0 |
0 |
1 |
0 |
1 |
0 |
Tours (A) |
1 |
0 |
1 |
1 |
2 |
0 |
France |
37 |
23 |
20 |
25 |
18 |
22 |
Données extraites de CRISTAL le 02/03/2017
Survie post greffe
La survie des receveurs pédiatriques après greffe cardiaque ne diffère pas avec l’âge à l’inscription bien qu’elle tende à être meilleure pour les 0-2 ans et les 11-17 ans que pour les 3-10 ans. Le taux de survie à 1 an est de 77% pour les 0-2 ans, 80% pour les 11-17 ans, 71% pour les 3-5 ans et 74% pour les 6-10 ans. La survie 1 an après greffe des receveurs pédiatriques s’est améliorée de 20% depuis la période 1985-1995 avec un taux de survie de 88% pour les malades opérés entre 2006 et 2015 et de 68% pour ceux opérés entre 1985 et 1995.
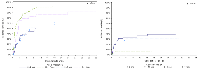
Figure Ped C4. Survie du receveur pédiatrique après greffe cardiaque selon l'âge à l'inscription (1985-juin 2015)
Age à l'inscription |
N |
Survie à 1 mois |
Survie à 1 an |
Survie à 5 ans |
Survie à 10 ans |
Survie à 15 ans |
Médiane de |
survie (mois) |
|||||||
0 - 2 ans |
128 |
86,60% |
77,00% |
69,50% |
56,90% |
54,30% |
223,9 |
[79,3% - 91,4%] |
[68,7% - 83,4%] |
[60,5% - 76,8%] |
[46,9% - 65,7%] |
[44,1% - 63,4%] |
[114,6 - 261,3] |
||
nombre de sujets à risque* |
|
109 |
97 |
74 |
44 |
32 |
|
3 - 5 ans |
49 |
79,60% |
71,40% |
66,60% |
60,00% |
NO |
170,7 |
[65,4% - 88,5%] |
[56,6% - 82,0%] |
[51,2% - 78,1%] |
[43,6% - 73,1%] |
[60,4 - .] |
|||
nombre de sujets à risque* |
|
39 |
35 |
22 |
15 |
8 |
|
6 - 10 ans |
101 |
77,60% |
73,50% |
65,90% |
56,30% |
NO |
NO |
[68,0% - 84,7%] |
[63,6% - 81,1%] |
[55,2% - 74,6%] |
[44,2% - 66,8%] |
||||
nombre de sujets à risque* |
|
76 |
70 |
47 |
27 |
16 |
|
11 - 17 ans |
365 |
88,40% |
79,80% |
69,40% |
58,90% |
51,10% |
185,4 |
[84,6% - 91,3%] |
[75,2% - 83,6%] |
[64,2% - 74,0%] |
[53,1% - 64,2%] |
[44,8% - 57,1%] |
[142,9 - 207,7] |
||
nombre de sujets à risque* |
|
319 |
284 |
199 |
122 |
80 |
|
[] : Intervalle de confiance
NO : non observable
* : Nombre de malades restant à observer pour chaque temps et pour lesquels aucun évènement n'est survenu
Données extraites de CRISTAL le 02/03/2017
Un an après la greffe, le taux de survie des malades pédiatriques greffés d’un cœur entre 1985 et juin 2015 varie de 71% à 80% selon l’âge des receveurs.
Figure Ped C5. Survie du receveur pédiatrique après greffe cardiaque selon la période de greffe (1985-juin 2015)
Période de greffe |
N |
Survie à 1 mois |
Survie à 1 an |
Survie à 5 ans |
Survie à 10 ans |
Survie à 15 ans |
Médiane de |
survie (mois) |
|||||||
1985-1995 |
234 |
79,40% |
67,70% |
58,20% |
46,10% |
38,70% |
102,6 |
[73,6% - 84,0%] |
[61,3% - 73,3%] |
[51,6% - 64,3%] |
[39,6% - 52,4%] |
[32,5% - 45,0%] |
[74,4 - 131,0] |
||
nombre de sujets à risque* |
|
184 |
157 |
135 |
106 |
88 |
|
1996-2005 |
180 |
84,40% |
77,80% |
65,50% |
57,60% |
53,50% |
NO |
[78,3% - 89,0%] |
[71,0% - 83,2%] |
[58,1% - 71,9%] |
[50,0% - 64,4%] |
[45,6% - 60,7%] |
|||
nombre de sujets à risque* |
|
152 |
140 |
117 |
98 |
48 |
|
2006-juin 2015 |
229 |
93,30% |
87,80% |
83,50% |
NO |
NO |
NO |
[89,1% - 95,9%] |
[82,8% - 91,5%] |
[77,5% - 88,0%] |
|||||
nombre de sujets à risque* |
|
207 |
189 |
90 |
4 |
0 |
|
[] : Intervalle de confiance
NO : non observable
* : Nombre de malades restant à observer pour chaque temps et pour lesquels aucun évènement n'est survenu
Données extraites de CRISTAL le 02/03/2017
Un an après la greffe, le taux de survie des malades pédiatriques greffés d’un cœur entre 2006 et juin 2015 était de 88%.
Conclusion
Les principales caractéristiques de la greffe cardiaque pédiatrique cette année sont :
- un nombre de nouveaux inscrits sur la liste d’attente en hausse de 8% et un nombre de greffes en hausse de 22% par rapport à 2015
- un nombre de donneurs pédiatriques prélevés d’un cœur en diminution de 6% par rapport à 2015
- une durée médiane d’attente inférieure à 3 mois pour la cohorte 2015-2016
- une probabilité de décès ou de sortie de liste pour aggravation significativement plus élevée pour les candidats pédiatriques que pour les candidats adultes inscrits entre 2011 et 2016 (19% à 12 mois versus 12%)
- une difficulté d’accès à la greffe spécifique aux 0-5 ans
- une priorité pédiatrique effective avec 52% des greffes pédiatriques effectuées avec des greffons de donneurs adultes pour les greffes effectuées avec des greffons prélevés en France
- une amélioration significative de la survie 1 an et 5 ans après la greffe (respectivement 88% et 84% pour la cohorte 2006-2015).
Greffe pulmonaire et cardio-pulmonaire pédiatrique
Résumé de l’activité
En 2016, 7% du total des candidats à une greffe cardio-pulmonaire et 7% des nouveaux inscrits en attente ont été inscrits sur la liste d’attente avant l’âge de 18 ans. Aucune greffe cardio-pulmonaire n’a été réalisée chez des malades inscrits sur la liste d’attente avant l’âge de 18 ans. En 2016, 4% du total des candidats à une greffe pulmonaire, 4% des nouveaux inscrits en attente et 3% des greffés ont été inscrits sur la liste d’attente avant l’âge de 18 ans. Deux pour cent (9/384) des greffes cardio-pulmonaires et pulmonaires sont réalisées avec des greffons pédiatriques prélevés en France. L’activité d’inscription en liste d’attente pour une greffe cardio-pulmonaire pédiatrique reste extrêmement faible comme en 2015. Les activités d’inscription en liste d’attente et de greffe pulmonaire pédiatrique sont respectivement en hausse de 8% et en baisse de 23% par rapport à 2015.
Tableau Péd PCP1a. Evolution de la liste d'attente et devenir des malades inscrits en attente de greffe cardio-pulmonaire avant l'âge de 18 ans
|
2011 |
2012 |
2013 |
2014 |
2015 |
2016 |
2017 |
Liste d'attente |
|
|
|
|
|
|
|
- malades restant en attente au 1er janvier de chaque année |
5 |
5 |
3 |
3 |
1 |
1 |
0 |
dont malades en attente au 1er janvier et en CIT |
4 |
1 |
1 |
1 |
1 |
1 |
0 |
% des malades en CIT parmi les malades en attente au 1er janvier |
80% |
20% |
33% |
33% |
100% |
100% |
. |
- nouveaux inscrits dans l'année |
3 |
2 |
1 |
2 |
3 |
1 |
|
- décédés dans l'année |
0 |
0 |
0 |
1 |
0 |
1 |
|
- sortis de la liste d'attente |
1 |
0 |
0 |
0 |
1 |
1 |
|
- dont sortis de la liste d'attente pour aggravation |
0 |
0 |
0 |
0 |
1 |
0 |
|
Greffes |
2 |
4 |
1 |
3 |
2 |
0 |
|
CIT : contre indication temporaire
Données extraites de CRISTAL le 02/03/2017
Tableau Péd PCP1b. Evolution de la liste d'attente et devenir des malades inscrits en attente de greffe pulmonaire avant l'âge de 18 ans
|
2011 |
2012 |
2013 |
2014 |
2015 |
2016 |
2017 |
Liste d'attente |
|
|
|
|
|
|
|
- malades restant en attente au 1er janvier de chaque année |
5 |
2 |
6 |
15 |
8 |
6 |
6 |
dont malades en attente au 1er janvier et en CIT |
1 |
0 |
1 |
1 |
1 |
2 |
0 |
% des malades en CIT parmi les malades en attente au 1er janvier |
20% |
0% |
17% |
7% |
13% |
33% |
0% |
- nouveaux inscrits dans l'année |
9 |
17 |
22 |
13 |
12 |
13 |
|
- décédés dans l'année |
1 |
1 |
1 |
3 |
1 |
1 |
|
- sortis de la liste d'attente |
1 |
0 |
0 |
1 |
0 |
2 |
|
- dont sortis de la liste d'attente pour aggravation |
0 |
0 |
0 |
1 |
0 |
0 |
|
Greffes |
10 |
12 |
12 |
16 |
13 |
10 |
|
CIT : contre indication temporaire
Données extraites de CRISTAL le 02/03/2017
Devenir des candidats en liste d’attente
En 2016, le nombre de nouveaux candidats inscrits, avant l’âge de 18 ans, sur la liste d’attente de greffe pulmonaire (13) est en augmentation de 8% par rapport à 2015. L’amélioration de la prise en charge médicale de la mucoviscidose n’a pas en 2016 d’impact sur le nombre de nouvelles inscriptions en attente de greffe pulmonaire dans la population pédiatrique. Avec un total de 19 candidats, la population des inscrits en attente avant l’âge de 18 ans représente en 2016, 4% de la totalité des malades en attente de greffe pulmonaire (19 sur 519).
Pour la greffe cardio-pulmonaire un seul nouveau malade est inscrit en liste d’attente avant l’âge de 18 ans. Cette situation est à l’image de l’évolution de la greffe cardio-pulmonaire en France, et peut s’expliquer par l’amélioration de la prise en charge médicale de l’hypertension artérielle pulmonaire primitive et par un recours plus fréquent à la greffe bi-pulmonaire pour cette indication. Avec un total de 2 candidats, la population des inscrits avant l’âge de 18 ans représente, en 2016, 7% de la totalité des malades en attente de greffe cardio-pulmonaire (2 sur 27).
Avec un total de 21 candidats, la population des inscrits en attente de greffe pulmonaire et cardio-pulmonaire avant l’âge de 18 ans représente, en 2016, 4% des malades en attente (21 sur 546). Parmi ces 21 candidats, un seul (5%) a moins de 11 ans. Quarante-trois pour cent (6) des nouveaux inscrits en attente en 2016 sont à l’inscription en unité de soins intensifs, 14% (2) sont sous ventilation assistée invasive, et 14% (2) sous ECMO. L’hypertension artérielle pulmonaire est la seule indication de nouvelle inscription sur la liste d’attente de greffe cardio-pulmonaire. La mucoviscidose (69%), l’hypertension artérielle pulmonaire (8%) et la retransplantation (8%) sont les 3 indications précisées d’inscription en attente de greffe pulmonaire. Le nombre de nouvelles inscriptions sur la liste d’attente pulmonaire pour mucoviscidose tend à augmenter en 2016 par rapport à 2014 et 2015.
L’accès à la greffe est évalué depuis 2014 par le taux d’incidence cumulée qui mesure la probabilité d’accès à la greffe en fonction de la durée d’attente en prenant en compte le risque concurrent de décès et de sortie de liste pour aggravation (voir chapitre « Greffes d’organes : Données générales et méthodes »). En effet, pour les malades inscrits en liste d’attente, l’accès à la greffe dépend du risque concurrent représenté par le décès en liste d’attente et la sortie de liste pour aggravation. La probabilité de greffe et la probabilité de décès sur la liste d’attente ou de sortie de liste pour aggravation dépendent l’une de l’autre. Ainsi le risque de décès ou de sortie de liste pour aggravation est impacté par l’accès à la greffe. Cette méthode exprime ce qui est réellement observé pour la cohorte des candidats inscrits en attente et permet d’évaluer le système de répartition des greffons. En revanche, cette méthode sous-estime ce que serait le risque de décès en liste d’attente si la greffe n’existait pas puisque qu’en France, plus de deux tiers des candidats pédiatriques à une greffe cardio-pulmonaire et trois quart des candidats à une greffe pulmonaire sont greffés dans l’année qui suit leur inscription.
La durée médiane d’attente avant greffe pulmonaire pour les candidats pédiatriques inscrits en attente pendant la période 2011-2016 est inférieure à 3 mois alors qu’elle est de 3 mois avant greffe cardio-pulmonaire. Pour les malades inscrits en attente de greffe cardio-pulmonaire entre 2011 et 2016, la probabilité de greffe calculée avec la méthode des risques concurrents tend à être plus grande pour les candidats pédiatriques que pour les candidats adultes (incidence cumulée de greffe à 1 an de 67% pour les candidats pédiatriques versus 50% pour les candidats adultes). Cette situation peut s’expliquer par la durée illimitée de la super-urgence pour les enfants. Le taux d’incidence cumulée de décès ou de sortie de liste pour aggravation n’est quant à lui pas calculable pour les candidats pédiatriques en raison du faible effectif de la cohorte. Pour les malades inscrits en attente de greffe pulmonaire entre 2011 et 2016, la probabilité de greffe calculée avec la méthode des risques concurrents n’est pas significativement différente pour les candidats pédiatriques et les candidats adultes (incidence cumulée de greffe à 1 an de 75% pour les candidats pédiatriques et 83% pour les candidats adultes). Cette situation peut s’expliquer par la priorité pédiatrique qui compense la nécessité d’un appariement morphologique défavorisant les candidats pédiatriques. Le taux d’incidence cumulée de décès ou de sortie de liste pour aggravation n’est pas non plus significativement différent pour les candidats pédiatriques et les candidats adultes (incidence cumulée à 1 an de 10% pour les candidats pédiatriques et 6% pour les candidats adultes).
L’augmentation de 32% en valeur absolue de l’incidence cumulée de greffe pulmonaire après 6 mois d’inscription en liste d’attente, calculée avec la méthode des risques concurrents, entre les périodes 1995-1998 et 2015-2016 (35% versus 67%) traduit une diminution de la pénurie. De façon concomitante la probabilité de décès ou de sortie de liste pour aggravation 6 mois après l’inscription a diminué entre les périodes 1995-1998 et 2011-2014 de 17% en risque absolu (27% versus 10%). Cette dernière évolution peut s’expliquer à la fois par le meilleur accès à la greffe mais aussi par une amélioration de la prise en charge médicale des pathologies conduisant à la greffe.
Tableau Péd PCP2a. Evolution des principaux indicateurs de pénurie des malades inscrits en attente de greffe cardio-pulmonaire avant l'âge de 18 ans
|
2011 |
2012 |
2013 |
2014 |
2015 |
2016 |
Nouveaux inscrits pour un greffon |
1,5 |
0,5 |
1 |
0,7 |
1,5 |
NC |
Candidats en attente au 1er janvier pour un greffon |
2,5 |
1,3 |
3 |
1 |
0,5 |
NC |
Candidats en attente au 1er janvier pour un greffon hors malade en CIT |
0,5 |
1 |
2 |
0,7 |
0 |
NC. |
Total candidats pour un greffon |
4 |
1,8 |
4 |
1,7 |
2 |
NC |
NC : non calculable
CIT : contre indication temporaire
Données extraites de CRISTAL le 02/03/2017
Les indicateurs de pénurie ne peuvent pas être calculés en 2016 car il n’y a aucune greffe réalisée
Tableau Péd PCP2b. Evolution des principaux indicateurs de pénurie des malades inscrits en attente de greffe pulmonaire avant l'âge de 18 ans
|
2011 |
2012 |
2013 |
2014 |
2015 |
2016 |
Nouveaux inscrits pour un greffon |
0,9 |
1,4 |
1,8 |
0,8 |
0,9 |
1,3 |
Candidats en attente au 1er janvier pour un greffon |
0,5 |
0,2 |
0,5 |
0,9 |
0,6 |
0,6 |
Candidats en attente au 1er janvier pour un greffon hors malade en CIT |
0,4 |
0,2 |
0,4 |
0,9 |
0,5 |
0,4 |
Total candidats pour un greffon |
1,4 |
1,6 |
2,3 |
1,8 |
1,5 |
1,9 |
CIT : contre indication temporaire
Données extraites de CRISTAL le 02/03/2017
L’évolution de la pénurie peut être mesurée par :
- le nombre de receveurs en attente au 1er janvier de l’année pour un greffon (0,6 receveur début 2016 pour 1 greffon) ;
- le nombre de nouveaux inscrits pour un greffon (1,3 inscrit pour un greffon) ;
- le nombre total de candidats pour un greffon (1,9 candidat pour un greffon).
Tableau Péd PCP3. Caractéristiques démographiques des donneurs de poumon et de coeur-poumons, et des malades inscrits avant l'âge de 18 ans selon leur devenir en liste d'attente de greffe pulmonaire et cardio-pulmonaire en 2016
Caractéristiques |
Greffons pulmonaires et cardio-pulmonaires greffés en 2016 |
Malades en attente au 1er janvier 2016 |
Nouveaux malades inscrits en 2016 |
Malades greffés en 2016 |
Malades décédés en 2016 |
Malades sortis de la liste pour aggravation en 2016 |
||||||
n |
% |
n |
% |
n |
% |
n |
% |
n |
% |
n |
% |
|
Age |
||||||||||||
0-2 ans |
0 |
0 |
0 |
0 |
0 |
0 |
0 |
0 |
0 |
0 |
0 |
0 |
3-5 ans |
0 |
0 |
0 |
0 |
1 |
7,1 |
0 |
0 |
1 |
50 |
0 |
0 |
6-10 ans |
1 |
10 |
0 |
0 |
0 |
0 |
0 |
0 |
0 |
0 |
0 |
0 |
11-17 ans |
1 |
10 |
7 |
100 |
13 |
92,9 |
9 |
90 |
1 |
50 |
0 |
0 |
18-29 ans |
1 |
10 |
0 |
0 |
0 |
0 |
1 |
10 |
0 |
0 |
0 |
0 |
30 ans et plus |
7 |
70 |
0 |
0 |
0 |
0 |
0 |
0 |
0 |
0 |
0 |
0 |
(m ± ds, ans) |
42,2 |
18,1 |
16,2 |
1,8 |
14,9 |
3 |
16 |
2 |
11,3 |
7,5 |
. |
. |
Sexe |
||||||||||||
Masculin |
4 |
40 |
4 |
57,1 |
4 |
28,6 |
4 |
40 |
1 |
50 |
0 |
0 |
Féminin |
6 |
60 |
3 |
42,9 |
10 |
71,4 |
6 |
60 |
1 |
50 |
0 |
0 |
Groupe sanguin |
||||||||||||
A |
4 |
40 |
3 |
42,9 |
4 |
28,6 |
4 |
40 |
0 |
0 |
0 |
0 |
AB |
0 |
0 |
0 |
0 |
0 |
0 |
0 |
0 |
0 |
0 |
0 |
0 |
B |
0 |
0 |
1 |
14,3 |
1 |
7,1 |
1 |
10 |
0 |
0 |
0 |
0 |
O |
6 |
60 |
3 |
42,9 |
9 |
64,3 |
5 |
50 |
2 |
100 |
0 |
0 |
Retransplantation |
||||||||||||
Non |
na |
na |
7 |
100 |
13 |
92,9 |
10 |
100 |
2 |
100 |
0 |
0 |
Oui |
na |
na |
0 |
0 |
1 |
7,1 |
0 |
0 |
0 |
0 |
0 |
0 |
Total |
10 |
100 |
7 |
100 |
14 |
100 |
10 |
100 |
2 |
100 |
0 |
. |
na=Non applicable
Données extraites de CRISTAL le 02/03/2017
Tableau Péd PCP4. Caractéristiques des malades inscrits avant l’âge de 18 ans selon leur devenir en liste d'attente de greffe pulmonaire et cardio-pulmonaire en 2016
Caractéristiques |
Malades en attente au 1er janvier 2016 |
Nouveaux malades inscrits en 2016 |
Malades greffés en 2016 |
Malades décédés en 2016 |
Malades sortis pour aggravation en 2016 |
|||||
n |
% |
n |
% |
n |
% |
n |
% |
|
|
|
Lieu de prise en charge médicale |
||||||||||
Domicile |
4 |
57,1 |
5 |
35,7 |
5 |
50 |
1 |
50 |
0 |
0 |
Hôpital |
2 |
28,6 |
3 |
21,4 |
1 |
10 |
0 |
0 |
0 |
0 |
USI |
1 |
14,3 |
6 |
42,9 |
4 |
40 |
1 |
50 |
0 |
0 |
Données manquantes |
0 |
0 |
0 |
0 |
0 |
0 |
0 |
0 |
0 |
0 |
Retransplantation |
||||||||||
Oui |
0 |
0 |
1 |
7,1 |
0 |
0 |
0 |
0 |
0 |
0 |
Non |
7 |
100 |
13 |
92,9 |
10 |
100 |
2 |
100 |
0 |
0 |
Ventilation assistée invasive |
||||||||||
Oui |
0 |
0 |
2 |
14,3 |
1 |
10 |
1 |
50 |
0 |
0 |
Non |
7 |
100 |
12 |
85,7 |
9 |
90 |
1 |
50 |
0 |
0 |
Données manquantes |
0 |
0 |
0 |
0 |
0 |
0 |
0 |
0 |
0 |
0 |
Circulation extra corporelle |
||||||||||
Oui |
0 |
0 |
2 |
14,3 |
2 |
20 |
1 |
50 |
0 |
0 |
Non |
6 |
85,7 |
12 |
85,7 |
8 |
80 |
1 |
50 |
0 |
0 |
Données manquantes |
1 |
14,3 |
0 |
0 |
0 |
0 |
0 |
0 |
0 |
0 |
Corticothérapie |
||||||||||
Oui |
0 |
0 |
4 |
28,6 |
1 |
10 |
1 |
50 |
0 |
0 |
Non |
6 |
85,7 |
10 |
71,4 |
9 |
90 |
1 |
50 |
0 |
0 |
Données manquantes |
1 |
14,3 |
0 |
0 |
0 |
0 |
0 |
0 |
0 |
0 |
Distance parcourue en 6 min (m) à l’inscription |
||||||||||
<300 m |
0 |
0 |
0 |
0 |
0 |
0 |
0 |
0 |
0 |
0 |
>=300 m |
3 |
42,9 |
3 |
21,4 |
3 |
30 |
0 |
0 |
0 |
0 |
Données manquantes |
4 |
57,1 |
11 |
78,6 |
7 |
70 |
2 |
100 |
0 |
0 |
Créatinémie |
||||||||||
<60 µmol/l |
6 |
85,7 |
13 |
92,9 |
7 |
70 |
2 |
100 |
0 |
0 |
60-119 µmol/l |
0 |
0 |
1 |
7,1 |
2 |
20 |
0 |
0 |
0 |
0 |
120-199 µmol/l |
0 |
0 |
0 |
0 |
0 |
0 |
0 |
0 |
0 |
0 |
>=200 µmol/l |
0 |
0 |
0 |
0 |
0 |
0 |
0 |
0 |
0 |
0 |
Données manquantes |
1 |
14,3 |
0 |
0 |
1 |
10 |
0 |
0 |
0 |
0 |
Bilirubine |
||||||||||
<35 µmol/l |
6 |
85,7 |
12 |
85,7 |
6 |
60 |
2 |
100 |
0 |
0 |
35-49 µmol/l |
0 |
0 |
0 |
0 |
0 |
0 |
0 |
0 |
0 |
0 |
>=50 µmol/l |
0 |
0 |
0 |
0 |
0 |
0 |
0 |
0 |
0 |
0 |
Données manquantes |
1 |
14,3 |
2 |
14,3 |
4 |
40 |
0 |
0 |
0 |
0 |
Diabète à l’inscription |
||||||||||
Oui |
2 |
28,6 |
5 |
35,7 |
2 |
20 |
1 |
50 |
0 |
0 |
Non |
3 |
42,9 |
9 |
64,3 |
7 |
70 |
1 |
50 |
0 |
0 |
Données manquantes |
2 |
28,6 |
0 |
0 |
1 |
10 |
0 |
0 |
0 |
0 |
Total |
7 |
100 |
14 |
100 |
10 |
100 |
2 |
100 |
0 |
. |
na=non applicable /(m ± ds,ans): moyenne ± déviation standard
Données extraites de CRISTAL le 02/03/2017
Tableau Péd PCP5. Evolution du nombre de nouveaux malades pédiatriques inscrits en attente d'une greffe pulmonaire ou cardio-pulmonaire selon l'indication
|
2011 |
2012 |
2013 |
2014 |
2015 |
2016 |
||||||||||||||||||
Coeur-poumons |
Poumon |
Coeur-poumons |
Poumon |
Coeur-poumons |
Poumon |
Coeur-poumons |
Poumon |
Coeur-poumons |
Poumon |
Coeur-poumons |
Poumon |
|||||||||||||
N |
% |
N |
% |
N |
% |
N |
% |
N |
% |
N |
% |
N |
% |
N |
% |
N |
% |
N |
% |
N |
% |
N |
% |
|
Autre ou indéterminée |
0 |
0 |
0 |
0 |
0 |
0 |
1 |
5,9 |
1 |
100 |
2 |
9,1 |
0 |
0 |
2 |
15,4 |
0 |
0 |
2 |
16,7 |
0 |
0 |
2 |
15,4 |
Fibrose pulmonaire |
0 |
0 |
0 |
0 |
0 |
0 |
1 |
5,9 |
0 |
0 |
2 |
9,1 |
0 |
0 |
3 |
23,1 |
0 |
0 |
3 |
25 |
0 |
0 |
0 |
0 |
Hypertension pulmonaire primitive |
3 |
100 |
1 |
11,1 |
2 |
100 |
2 |
11,8 |
0 |
0 |
1 |
4,5 |
2 |
100 |
2 |
15,4 |
1 |
33,3 |
1 |
8,3 |
1 |
100 |
1 |
7,7 |
Maladie congénitale |
0 |
0 |
0 |
0 |
0 |
0 |
0 |
0 |
0 |
0 |
0 |
0 |
0 |
0 |
0 |
0 |
2 |
66,7 |
1 |
8,3 |
0 |
0 |
0 |
0 |
Mucoviscidose |
0 |
0 |
8 |
88,9 |
0 |
0 |
13 |
76,5 |
0 |
0 |
16 |
72,7 |
0 |
0 |
5 |
38,5 |
0 |
0 |
5 |
41,7 |
0 |
0 |
9 |
69,2 |
Retransplantation-Echec de greffe |
0 |
0 |
0 |
0 |
0 |
0 |
0 |
0 |
0 |
0 |
1 |
4,5 |
0 |
0 |
1 |
7,7 |
0 |
0 |
0 |
0 |
0 |
0 |
1 |
7,7 |
Total |
3 |
100 |
9 |
100 |
2 |
100 |
17 |
100 |
1 |
100 |
22 |
100 |
2 |
100 |
13 |
100 |
3 |
100 |
12 |
100 |
1 |
100 |
13 |
100 |
Données extraites de CRISTAL le 02/03/2017
L’indication principale d’inscription en attente de greffe pulmonaire pédiatrique est la mucoviscidose.
Figure Péd PCP1. Taux d'incidence cumulée de greffe et de décès ou de sortie de liste pour aggravation des nouveaux inscrits en attente de greffe cardio-pulmonaire pédiatriques et adultes (2011-2016)
|
Incidence cumulée des greffes avec prise en compte du risque concurrent de décès en attente ou sorties pour aggravation |
|||||
en % [IC à 95%] |
||||||
Age à l'inscription |
N |
à 3 mois |
à 6 mois |
à 12 mois |
à 24 mois |
à 36 mois |
Inscrits adultes |
93 |
32 [23-42] |
43 [33-53] |
50 [40-60] |
63 [51-72] |
72 [61-81] |
Inscrits pédiatriques |
12 |
50 [19-75] |
58 [24-81] |
67 [30-87] |
83 [32-97] |
NC |
|
Incidence cumulée des décès en attente ou sorties pour aggravation avec prise en compte du risque concurrent de greffe |
|||||
en % [IC à 95%] |
||||||
Age à l'inscription |
N |
à 3 mois |
à 6 mois |
à 12 mois |
à 24 mois |
à 36 mois |
Inscrits pédiatriques |
12 |
NC |
NC |
NC |
NC |
NC |
Inscrits adultes |
93 |
14 [8-22] |
17 [10-26] |
25 [16-34] |
NC |
NC |
NC=Non calculable / IC : Intervalle de confiance
Données extraites de CRISTAL le 02/03/2017
Après 1 an d’attente, les malades pédiatriques inscrits sur la liste d’attente de greffe cardio-pulmonaire entre 2011 et 2016 ont 67% de chance d’être greffés. On n’observe pas de différence significative pour cet indicateur entre les adultes et les malades pédiatriques.
Figure Péd PCP2. Taux d'incidence cumulée de greffe et de décès ou de sortie de liste pour aggravation des nouveaux inscrits en attente de greffe pulmonaire pédiatriques et adultes (2011-2016)
|
Incidence cumulée des greffes avec prise en compte du risque concurrent de décès en attente ou sorties pour aggravation |
|||||
en % [IC à 95%] |
||||||
Age à l'inscription |
N |
à 3 mois |
à 6 mois |
à 12 mois |
à 24 mois |
à 36 mois |
Inscrits adultes |
2053 |
53 [51-56] |
70 [68-72] |
83 [82-85] |
91 [89-92] |
92 [91-93] |
Inscrits pédiatriques |
86 |
54 [43-64] |
63 [52-73] |
75 [63-83] |
86 [75-92] |
90 [78-95] |
|
Incidence cumulée des décès en attente ou sorties pour aggravation avec prise en compte du risque concurrent de greffe |
|||||
en % [IC à 95%] |
||||||
Age à l'inscription |
N |
à 3 mois |
à 6 mois |
à 12 mois |
à 24 mois |
à 36 mois |
Inscrits adultes |
2053 |
4 [3-4] |
5 [4-6] |
6 [5-7] |
7 [6-8] |
7 [6-8] |
Inscrits pédiatriques |
86 |
7 [3-14] |
9 [4-16] |
10 [5-18] |
NC |
NC |
NC=Non calculable / IC : Intervalle de confiance
Données extraites de CRISTAL le 02/03/2017
Après 1 an d’attente, les malades pédiatriques inscrits sur la liste d’attente de greffe pulmonaire entre 2011 et 2016 ont 75% de chance d’être greffés et 10% de risque de décéder sur la liste d’attente. On n’observe pas de différence significative pour ces 2 indicateurs entre les adultes et les malades pédiatriques.
Figure Péd PCP3. Taux d'incidence cumulée de greffe et de décès ou de sortie de liste pour aggravation des nouveaux inscrits avant l’âge de 18 ans en attente de greffe pulmonaire selon la période d'inscription (1995-2016)
|
Incidence cumulée des greffes avec prise en compte du risque concurrent de décès en attente ou sorties pour aggravation |
|||||
en % [IC à 95%] |
||||||
Période d'inscription |
N |
à 3 mois |
à 6 mois |
à 12 mois |
à 24 mois |
à 36 mois |
1995-1998 |
66 |
27 [17-38] |
35 [24-47] |
46 [34-58] |
58 [44-69] |
59 [46-71] |
1999-2002 |
62 |
15 [7-25] |
21 [12-32] |
29 [19-41] |
45 [32-57] |
50 [37-62] |
2003-2006 |
58 |
12 [5-22] |
33 [21-45] |
41 [28-54] |
55 [41-67] |
62 [47-74] |
2007-2010 |
61 |
43 [30-55] |
52 [39-64] |
72 [59-82] |
83 [70-91] |
87 [74-94] |
2011-2014 |
61 |
54 [41-66] |
64 [50-75] |
72 [59-82] |
84 [71-92] |
89 [75-95] |
2015-2016 |
25 |
58 [34-76] |
67 [37-85] |
NC |
NC |
NC |
|
Incidence cumulée des décès en attente ou sorties pour aggravation avec prise en compte du risque concurrent de greffe |
|||||
en % [IC à 95%] |
||||||
Période d'inscription |
N |
à 3 mois |
à 6 mois |
à 12 mois |
à 24 mois |
à 36 mois |
1995-1998 |
66 |
23 [13-33] |
27 [17-39] |
31 [20-42] |
36 [24-47] |
37 [25-49] |
1999-2002 |
62 |
21 [12-32] |
31 [20-43] |
34 [23-46] |
43 [30-55] |
43 [30-55] |
2003-2006 |
58 |
24 [14-36] |
31 [20-43] |
33 [21-46] |
NC |
NC |
2007-2010 |
61 |
13 [6-23] |
13 [6-23] |
NC |
NC |
NC |
2011-2014 |
61 |
10 [4-19] |
10 [4-19] |
11 [5-21] |
NC |
NC |
2015-2016 |
25 |
5 [0-23] |
NC |
NC |
NC |
NC |
NC=Non calculable / IC : Intervalle de confiance
Données extraites de CRISTAL le 02/03/2017
Après 1 an d’attente, les malades pédiatriques inscrits sur la liste d’attente pulmonaire entre 2011 et 2014 ont 72% de chance d’être greffés et 11% de risque de décéder sur la liste d’attente.
Prélèvement en vue de greffe
En 2016, 2% (9 sur 379) des donneurs décédés et prélevés de poumon ou de cœur-poumons en France ont moins de 18 ans. Sept des 9 greffons pulmonaires sont prélevés chez des enfants de 11 ans ou plus. Parmi les 9 greffons pulmonaires prélevés et greffés en France en 2016 chez des donneurs de moins de 18 ans, 2 (22%) sont utilisés chez des receveurs pédiatriques et 7 (78%) sont utilisés chez des receveurs adultes. Parmi les 9 candidats pédiatriques greffés avant l’âge de 18 ans, 7 (78%) reçoivent un greffon adulte et 2 (22%) un greffon pédiatrique. Cette situation a sans doute de multiples explications parmi lesquelles il est possible de souligner l’absence d’appariement sur l’âge entre donneur et receveur, l’existence d’une priorité nationale pédiatrique qui permet une attribution préférentielle des greffons de donneurs de moins de 55 ans et 50 kilogrammes aux candidats pédiatriques mais aussi la pénurie dynamique qui fait qu’il n’y a pas de candidat pédiatrique compatible au moment où un donneur pédiatrique est prélevé. Le nombre de donneurs pédiatriques prélevés d’un greffon pulmonaire ou cardiopulmonaire en France en 2016 diminue de 36% par rapport à 2015, dans un contexte d’augmentation d’ensemble du nombre de donneurs prélevés d’un greffon pulmonaire ou cardiopulmonaire de 8% aboutissant à une baisse de la proportion des prélèvements pulmonaires ou cardio-pulmonaires pédiatriques de 4% à 2%.
Tableau Péd PCP6. Evolution du nombre de donneurs décédés et prélevés de greffons pulmonaires et cardiopulmonaires en France selon l'âge du donneur
Année de prélèvement |
Enfant |
Adulte |
1997 |
19 |
73 |
1998 |
15 |
92 |
1999 |
16 |
76 |
2000 |
14 |
77 |
2001 |
12 |
91 |
2002 |
12 |
92 |
2003 |
11 |
82 |
2004 |
12 |
145 |
2005 |
12 |
183 |
2006 |
17 |
180 |
2007 |
27 |
188 |
2008 |
15 |
189 |
2009 |
8 |
241 |
2010 |
19 |
237 |
2011 |
23 |
289 |
2012 |
18 |
323 |
2013 |
22 |
293 |
2014 |
17 |
324 |
2015 |
14 |
337 |
2016 |
9 |
370 |
Ce tableau comprend tous les greffons prélevés en France (y compris les non greffés)
Données extraites de CRISTAL le 02/03/2017
Trois poumons adultes prélevés en France ont été greffés à l’étranger.
Tableau Péd PCP7. Evolution du nombre de greffons cardio-pulmonaires et pulmonaires pédiatriques prélevés en France et greffés selon l'âge du donneur
Année de prélèvement |
0 - 2 ans |
3 - 5 ans |
6 - 10 ans |
11 - 17 ans |
1993 |
0 |
0 |
3 |
15 |
1994 |
1 |
0 |
2 |
18 |
1995 |
1 |
0 |
4 |
14 |
1996 |
0 |
0 |
4 |
13 |
1997 |
1 |
1 |
1 |
16 |
1998 |
0 |
0 |
2 |
11 |
1999 |
0 |
2 |
1 |
14 |
2000 |
0 |
1 |
1 |
11 |
2001 |
0 |
0 |
0 |
12 |
2002 |
0 |
0 |
1 |
10 |
2003 |
0 |
0 |
2 |
10 |
2004 |
0 |
0 |
0 |
11 |
2005 |
0 |
1 |
2 |
9 |
2006 |
0 |
0 |
3 |
14 |
2007 |
1 |
0 |
3 |
24 |
2008 |
0 |
0 |
1 |
13 |
2009 |
0 |
0 |
0 |
7 |
2010 |
0 |
0 |
1 |
18 |
2011 |
0 |
0 |
4 |
19 |
2012 |
0 |
1 |
1 |
16 |
2013 |
0 |
1 |
2 |
18 |
2014 |
0 |
0 |
2 |
14 |
2015 |
0 |
0 |
0 |
14 |
2016 |
0 |
0 |
2 |
7 |
Ce tableau comprend tous les greffons prélevés en France et greffés (y compris les greffons greffés à l'étranger).
Données extraites de CRISTAL le 02/03/2017
Tableau Péd PCP8. Age des greffons pulmonaires et cardio-pulmonaires prélevés et greffés en France en 2016 selon l'âge du receveur au moment de la greffe
Age du donneur |
Age du receveur |
Total |
||||||
0-2 ans |
3-5 ans |
6-10 ans |
11-17 ans |
18-29 ans |
30-59 ans |
60 ans et plus |
||
0-2 ans |
0 |
0 |
0 |
0 |
0 |
0 |
0 |
0 |
3-5 ans |
0 |
0 |
0 |
0 |
0 |
0 |
0 |
0 |
6-10 ans |
0 |
0 |
0 |
1 |
0 |
1 |
0 |
2 |
11-17 ans |
0 |
0 |
0 |
1 |
1 |
4 |
1 |
7 |
18-29 ans |
0 |
0 |
0 |
1 |
11 |
27 |
10 |
49 |
30-59 ans |
0 |
0 |
0 |
6 |
31 |
144 |
53 |
234 |
60 ans et plus |
0 |
0 |
0 |
0 |
6 |
63 |
18 |
87 |
Total |
0 |
0 |
0 |
9 |
49 |
239 |
82 |
379 |
Ce tableau comprend les greffons prélevés en France et greffés en France.
Données extraites de CRISTAL le 02/03/2017
En 2016, quatre poumons adultes ont été prélevés à l'étranger et greffés en France.
Vingt-deux poumons adultes ont été prélevés en France et non greffés.
Attribution des greffons et priorités
Le nombre de demandes de super-urgence cardio-pulmonaire comme le nombre de malades pour lesquels une demande a été faite baissent en 2016 par rapport à 2015 de 67%, dans un contexte de diminution dans la même proportion du nombre de nouveaux inscrits sur la liste d’attente.
Le nombre de demandes de super-urgence pulmonaire et le nombre de malades pour lesquels une demande a été faite diminuent en 2016 par rapport à 2015 de 44% alors que le nombre de nouveaux inscrits augmente de 8%. Ainsi, la proportion de candidats pour lesquels une demande de SU a été faite diminue de 45% à 26%. La proportion comme le nombre de greffes pulmonaires réalisées en SU en 2016 diminue par rapport à 2015 (40% soit 4 greffes en 2016 versus 77% soit 10 greffes en 2015). L’analyse du devenir des malades inscrits en liste d’attente de greffe pulmonaire pour lesquels une demande de SU a été acceptée en 2016 montre qu’un mois après la demande, 80% des malades sont greffés et un malade est toujours en attente.
Tableau Péd PCP9a. Evolution des demandes de priorité cardio-pulmonaire chez les candidats pédiatriques (2011-2016)
Type de priorité |
Année de demande de la priorité |
Nombre de demandes |
Nombre de malades |
Nombre de demandes acceptées |
Fréquence de demandes acceptées |
Fréquence des dérogations en groupe compatible parmi les demandes acceptées |
SU |
2011 |
2 |
2 |
2 |
100 |
100 |
2012 |
3 |
2 |
3 |
100 |
66,7 |
|
2013 |
1 |
1 |
1 |
100 |
100 |
|
2014 |
4 |
3 |
4 |
100 |
0 |
|
2015 |
3 |
3 |
3 |
100 |
33,3 |
|
2016 |
1 |
1 |
1 |
100 |
0 |
|
Urgence |
2012 |
1 |
1 |
1 |
100 |
0 |
SU : Super Urgence
Données extraites de CRISTAL le 02/03/2017
Tableau Péd PCP9b. Évolution des demandes de priorité pulmonaire chez les candidats pédiatriques (2011-2016)
Type de priorité |
Année de demande de la priorité |
Nombre de demandes |
Nombre de malades |
Nombre de demandes acceptées |
Fréquence de demandes acceptées |
Fréquence des dérogations en groupe compatible parmi les demandes acceptées |
SU |
2011 |
4 |
4 |
4 |
100 |
75 |
2012 |
4 |
4 |
4 |
100 |
25 |
|
2013 |
10 |
10 |
10 |
100 |
30 |
|
2014 |
10 |
9 |
10 |
100 |
40 |
|
2015 |
9 |
9 |
9 |
100 |
44,4 |
|
2016 |
5 |
5 |
5 |
100 |
20 |
|
Urgence |
2012 |
1 |
1 |
1 |
100 |
100 |
2014 |
1 |
1 |
1 |
100 |
0 |
Tableau Péd PCP10. Devenir des malades pédiatriques inscrits en liste d’attente de greffe pulmonaire un mois après la première demande de SU effectuée et acceptée en 2016
|
Total |
|
N |
% colonne |
|
Devenir sur la liste d'attente 1 mois après la demande de SU |
1 |
20 |
Attente |
||
Greffe |
4 |
80 |
Total |
5 |
100 |
La durée de SU est de 8 jours renouvelable 1 fois sur demande. Elle est de durée illimitée pour les malades pédiatriques
Priorité active : le malade est toujours sous la priorité au moment de sa sortie de liste d'attente / Priorité inactive : la fin de la priorité est survenue avant la sortie de liste d'attente
Données extraites de CRISTAL le 02/03/2017
Tableau Péd PCP11. Devenir des malades selon la dernière priorité active par année de sortie de la liste d'attente de greffe pulmonaire (2011-2016)
|
SU active |
Urgence |
Sans priorité active |
|||||
Année de sortie de liste* |
Devenir sur la liste d'attente |
Total |
N |
% |
N |
% |
N |
% |
2011 |
Sortie de liste pour amélioration |
1 |
0 |
NA |
0 |
NA |
1 |
100 |
|
Décès en liste d'attente |
1 |
0 |
NA |
0 |
NA |
1 |
100 |
|
Greffe |
10 |
4 |
40 |
1 |
10 |
5 |
50 |
2012 |
Décès en liste d'attente |
1 |
0 |
NA |
0 |
NA |
1 |
100 |
|
Greffe |
12 |
3 |
25 |
1 |
8,3 |
8 |
66,7 |
2013 |
Décès en liste d'attente |
1 |
1 |
100 |
0 |
NA |
0 |
NA |
|
Greffe |
12 |
6 |
50 |
0 |
NA |
6 |
50 |
2014 |
Sortie de liste pour aggravation de la maladie initiale |
1 |
0 |
NA |
0 |
NA |
1 |
100 |
|
Décès en liste d'attente |
3 |
2 |
66,7 |
0 |
NA |
1 |
33,3 |
|
Greffe |
16 |
6 |
37,5 |
0 |
NA |
10 |
62,5 |
2015 |
Décès en liste d'attente |
1 |
1 |
100 |
0 |
NA |
0 |
NA |
|
Greffe |
13 |
10 |
76,9 |
1 |
7,7 |
2 |
15,4 |
2016 |
Sortie de liste pour amélioration |
2 |
0 |
NA |
0 |
NA |
2 |
100 |
|
Décès en liste d'attente |
1 |
0 |
NA |
0 |
NA |
1 |
100 |
|
Greffe |
10 |
4 |
40 |
0 |
NA |
6 |
60 |
SU : Super Urgence NA= Non applicable
* La greffe est considérée comme une sortie de liste d’attente
Données extraites de CRISTAL le 02/03/2017
Activité de greffe
En 2016, aucune greffe cardio-pulmonaire pédiatrique n’est réalisée alors que 10 greffes pulmonaires pédiatriques sont effectuées, ce qui correspond au nombre minimal de greffes pulmonaires faites par an entre 2011 et 2016 (entre 10 et 16 greffes par an). Il faut noter qu’en 2008, la limite d’âge supérieure de la population pédiatrique a été modifiée passant de 16 ans à 18 ans. En 2016, l’activité de greffe pulmonaire diminue de 23% par rapport à 2015. Ce faible niveau d’activité s’explique probablement par l’amélioration de la prise en charge médicale de l’hypertension artérielle pulmonaire primitive et de la mucoviscidose. Avec une baisse du nombre de greffes et une augmentation du nombre total de candidats, le niveau de pénurie augmente en 2016 par rapport à 2015 en greffe pulmonaire.
En 2016, 10 greffes pulmonaires sont effectuées chez des malades âgés de moins de 18 ans au moment de leur inscription en liste d’attente, ce qui représente 3% de l’activité totale de greffe pulmonaire (10 sur 371). Il s’agit toujours de greffe bi-pulmonaire. Aucune greffe cardio-pulmonaire pédiatrique n’est effectuée en 2016. Sept des 10 malades (70%) ont comme indication à la greffe pulmonaire une mucoviscidose et un (10%) une hypertension artérielle pulmonaire.
En 2016, 7 équipes réalisent de 1 à 3 greffes pulmonaires pédiatriques avec 2 équipes (Paris Georges Pompidou et Suresnes Foch) réalisant 50% de l’activité nationale.
Tableau Péd PCP12. Evolution de l'activité de greffe pulmonaire et cardio-pulmonaire des malades inscrits en attente avant l'âge de 18 ans selon l'âge au moment de la greffe
Année de greffe |
Organe greffé |
|||
Coeur-Poumons |
Poumon |
|||
Moins de 18 ans au moment de la greffe |
18 ans et plus au moment de la greffe |
Moins de 18 ans au moment de la greffe |
18 ans et plus au moment de la greffe |
|
1990 |
17 |
0 |
10 |
0 |
1991 |
12 |
0 |
5 |
0 |
1992 |
11 |
1 |
6 |
1 |
1993 |
6 |
1 |
8 |
1 |
1994 |
5 |
1 |
9 |
1 |
1995 |
1 |
0 |
14 |
0 |
1996 |
5 |
1 |
10 |
0 |
1997 |
4 |
0 |
8 |
1 |
1998 |
2 |
2 |
7 |
1 |
1999 |
4 |
0 |
6 |
2 |
2000 |
1 |
0 |
5 |
1 |
2001 |
5 |
0 |
9 |
3 |
2002 |
2 |
2 |
3 |
3 |
2003 |
2 |
0 |
3 |
2 |
2004 |
2 |
1 |
11 |
3 |
2005 |
1 |
1 |
10 |
4 |
2006 |
0 |
2 |
9 |
2 |
2007 |
2 |
0 |
12 |
1 |
2008 |
2 |
0 |
12 |
3 |
2009 |
0 |
0 |
8 |
4 |
2010 |
2 |
0 |
14 |
1 |
2011 |
2 |
0 |
10 |
0 |
2012 |
3 |
1 |
12 |
0 |
2013 |
1 |
0 |
12 |
0 |
2014 |
2 |
1 |
14 |
2 |
2015 |
2 |
0 |
12 |
1 |
2016 |
0 |
0 |
9 |
1 |
Données extraites de CRISTAL le 02/03/2017
Tableau Péd PCP13. Evolution du nombre de malades pédiatriques greffés d'une greffe pulmonaire ou cardio-pulmonaire selon l'indication
|
2011 |
2012 |
2013 |
2014 |
2015 |
2016 |
||||||||||||||||||
Coeur-poumons |
Poumon |
Coeur-poumons |
Poumon |
Coeur-poumons |
Poumon |
Coeur-poumons |
Poumon |
Coeur-poumons |
Poumon |
Coeur-poumons |
Poumon |
|||||||||||||
N |
% |
N |
% |
N |
% |
N |
% |
N |
% |
N |
% |
N |
% |
N |
% |
N |
% |
N |
% |
N |
% |
N |
% |
|
Autre ou indéterminée |
0 |
0 |
0 |
0 |
0 |
0 |
0 |
0 |
1 |
100 |
1 |
8,3 |
0 |
0 |
3 |
18,8 |
0 |
0 |
3 |
23,1 |
0 |
0 |
2 |
20 |
Fibrose pulmonaire |
0 |
0 |
0 |
0 |
0 |
0 |
1 |
8,3 |
0 |
0 |
1 |
8,3 |
0 |
0 |
2 |
12,5 |
0 |
0 |
3 |
23,1 |
0 |
0 |
0 |
0 |
Hypertension pulmonaire primitive |
1 |
50 |
1 |
10 |
4 |
100 |
2 |
16,7 |
0 |
0 |
0 |
0 |
3 |
100 |
2 |
12,5 |
0 |
0 |
2 |
15,4 |
0 |
0 |
1 |
10 |
Maladie congénitale |
0 |
0 |
0 |
0 |
0 |
0 |
0 |
0 |
0 |
0 |
0 |
0 |
0 |
0 |
0 |
0 |
2 |
100 |
1 |
7,7 |
0 |
0 |
0 |
0 |
Mucoviscidose |
1 |
50 |
9 |
90 |
0 |
0 |
9 |
75 |
0 |
0 |
9 |
75 |
0 |
0 |
9 |
56,3 |
0 |
0 |
4 |
30,8 |
0 |
0 |
7 |
70 |
Retransplantation-Echec de greffe |
0 |
0 |
0 |
0 |
0 |
0 |
0 |
0 |
0 |
0 |
1 |
8,3 |
0 |
0 |
0 |
0 |
0 |
0 |
0 |
0 |
0 |
0 |
0 |
0 |
Total |
2 |
100 |
10 |
100 |
4 |
100 |
12 |
100 |
1 |
100 |
12 |
100 |
3 |
100 |
16 |
100 |
2 |
100 |
13 |
100 |
0 |
0 |
10 |
100 |
Données extraites de CRISTAL le 02/03/2017
Tableau Péd PCP14. Nombre de greffes cardio-pulmonaires et pulmonaires effectuées en 2016 par équipe chez des malades âgés de moins de 18 ans au moment de l'inscription
Equipe de greffe |
Nombre de greffes |
Receveur âgés de 18 ans et plus au moment de la greffe |
Receveur âgés de moins de 18 ans au moment de la greffe |
|||
Cœur-poumons |
Poumon |
Monopulmonaire |
Bipulmonaire |
Monopulmonaire |
Bipulmonaire |
|
Bordeaux (A+P) |
0 |
1 |
0 |
0 |
0 |
1 |
Lyon (A+P) |
0 |
0 |
0 |
0 |
0 |
0 |
Lyon I (HCL) (A+P) |
0 |
0 |
0 |
0 |
0 |
0 |
Le Plessis-Robinson Marie-Lannelongue (A+P) |
0 |
1 |
0 |
0 |
0 |
1 |
Marseille Timone enfants (APM) (A+P) |
0 |
0 |
0 |
0 |
0 |
0 |
Nantes (A+P) |
0 |
0 |
0 |
0 |
0 |
0 |
Paris Georges Pompidou (AP-HP) (A+P) |
0 |
3 |
0 |
1 |
0 |
2 |
Paris Necker Enfants Malades (AP-HP) (A+P) |
0 |
0 |
0 |
0 |
0 |
0 |
Paris Bichat (AP-HP) (A) |
0 |
1 |
0 |
0 |
0 |
1 |
Strasbourg (A) |
0 |
1 |
0 |
0 |
0 |
1 |
Suresnes Foch (A) |
0 |
2 |
0 |
0 |
0 |
2 |
Toulouse (A) |
0 |
1 |
0 |
0 |
0 |
1 |
Total |
0 |
10 |
0 |
1 |
0 |
9 |
Données extraites de CRISTAL le 02/03/2017
Six équipes sont autorisées à la greffe cardio-pulmonaire et pulmonaire pédiatrique.
En 2016, quatre poumons adultes ont été prélevés à l'étranger et greffés en France.
Vingt-deux poumons adultes ont été prélevés en France et non greffés.
Tableau Péd PCP15. Evolution du nombre de greffes cardio-pulmonaires et pulmonaires par équipe chez des malades inscrits avant l'âge de 18 ans
Équipe de greffe |
2011 |
2012 |
2013 |
2014 |
2015 |
2016 |
Bordeaux (A+P) |
0 |
0 |
0 |
0 |
0 |
1 |
Grenoble (A) |
0 |
0 |
0 |
1 |
0 |
0 |
Le Plessis-Robinson Marie-Lannelongue (A+P) |
2 |
4 |
1 |
4 |
6 |
1 |
Lyon (A+P) |
1 |
2 |
1 |
3 |
1 |
0 |
Lyon I (HCL) |
0 |
0 |
1 |
1 |
0 |
0 |
Lyon II (HCL) (A) |
0 |
1 |
0 |
0 |
0 |
0 |
Marseille Hôpital Nord (APHM)(A) |
0 |
0 |
0 |
1 |
0 |
0 |
Marseille Timone enfants (APM) (P) |
3 |
1 |
0 |
3 |
2 |
0 |
Nantes (A+P) |
1 |
0 |
0 |
0 |
0 |
0 |
Paris Bichat (AP-HP) (A) |
0 |
0 |
0 |
0 |
0 |
1 |
Paris Georges Pompidou (AP-HP) (A+P) |
3 |
5 |
7 |
5 |
4 |
3 |
Strasbourg (A) |
0 |
2 |
2 |
0 |
1 |
1 |
Suresnes Foch (A) |
2 |
1 |
1 |
1 |
1 |
2 |
Toulouse (A) |
0 |
0 |
0 |
0 |
0 |
1 |
France |
12 |
16 |
13 |
19 |
15 |
10 |
Données extraites de CRISTAL le 02/03/2017
Survie post greffe
Les taux de survie des receveurs pédiatriques après greffe cardio-pulmonaire pour les patients greffés entre 1996 et juin 2015 sont de 63%, 44% et 39% respectivement à 1, 5 et 10 ans alors que ceux après greffe pulmonaire sont de 76% et 49% respectivement à 1 et 5 ans pour les malades opérés entre 2007 et juin 2015. Les taux de survie sont comparables à ceux de la cohorte nationale. La survie des malades après greffe pulmonaire est significativement meilleure pour les malades greffés entre 2007 et juin 2015 que pour ceux greffés avant 1996.
Figure Péd PCP4. Survie du receveur pédiatrique après greffe cardio-pulmonaire selon la période de greffe (1987-juin 2015)
Période de greffe |
N |
Survie à 1 mois |
Survie à 1 an |
Survie à 5 ans |
Survie à 10 ans |
Survie à 15 ans |
Médiane de |
survie (mois) |
|||||||
Avant 1996 |
77 |
77,90% |
59,70% |
27,30% |
22,10% |
NO |
18,6 |
[66,9% - 85,7%] |
[47,9% - 69,7%] |
[17,9% - 37,5%] |
[13,6% - 31,8%] |
[7,1 - 37,8] |
|||
nombre de sujets à risque* |
|
60 |
46 |
21 |
17 |
11 |
|
1996-juin 2015 |
53 |
80,50% |
62,80% |
44,00% |
38,50% |
NO |
39,2 |
[66,7% - 89,0%] |
[48,1% - 74,4%] |
[29,9% - 57,2%] |
[24,6% - 52,2%] |
[11,7 - 123,7] |
|||
nombre de sujets à risque* |
|
41 |
32 |
18 |
13 |
5 |
|
La probabilité de survie après une greffe cardio-pulmonaire réalisée entre 1996 et juin 2015 est de 63% à un an.
Figure Péd PCP5. Survie du receveur pédiatrique après greffe pulmonaire selon la période de greffe (1988-juin 2015)
Période de greffe |
N |
Survie à 1 mois |
Survie à 1 an |
Survie à 5 ans |
Survie à 10 ans |
Survie à 15 ans |
Médiane de |
survie (mois) |
|||||||
Avant 1996 |
59 |
88,00% |
55,20% |
27,60% |
24,10% |
19,00% |
14,9 |
[76,4% - 94,1%] |
[41,6% - 66,9%] |
[16,9% - 39,4%] |
[14,1% - 35,7%] |
[10,1% - 29,9%] |
[9,3 - 31,2] |
||
nombre de sujets à risque* |
|
51 |
32 |
16 |
14 |
11 |
|
1996-2006 |
97 |
87,60% |
76,30% |
48,50% |
39,00% |
NO |
48,9 |
[79,2% - 92,8%] |
[66,5% - 83,6%] |
[38,2% - 57,9%] |
[29,3% - 48,6%] |
[34,6 - 99,9] |
|||
nombre de sujets à risque* |
|
85 |
74 |
47 |
34 |
11 |
|
2007-juin 2015 |
114 |
89,10% |
75,50% |
48,90% |
NO |
NO |
57,8 |
[81,7% - 93,7%] |
[66,3% - 82,5%] |
[38,0% - 59,0%] |
[42,2 - .] |
||||
nombre de sujets à risque* |
|
98 |
82 |
30 |
0 |
0 |
|
[] : Intervalle de confiance
NO : non observable
* : Nombre de malades restant à observer pour chaque temps et pour lesquels aucun évènement n'est survenu
Données extraites de CRISTAL le 02/03/2017
La probabilité de survie après une greffe pulmonaire réalisée entre 2007 et juin 2015 est de 76% à un an.
Conclusion
Les caractéristiques de la greffe cardio-pulmonaire et pulmonaire pédiatrique cette année sont :
- une diminution du nombre de nouveaux inscrits en attente sans aucune greffe cardio-pulmonaire réalisée
- une légère augmentation du nombre de nouveaux inscrits et une diminution du nombre de greffes pulmonaires effectuées
- après 1 an d’attente, une probabilité d’être greffé de 67% pour les malades inscrits sur la liste d’attente cardio-pulmonaire entre 2011 et 2016
- après 1 an d’attente, une probabilité d’être greffé de 75% pour les malades inscrits sur la liste d’attente pulmonaire entre 2011 et 2016
- une probabilité de survie 1 an après une greffe cardio-pulmonaire et pulmonaire respectivement de 63% et 76%.
Greffe hépatique pédiatrique
Résumé de l’activité
Tableau Péd F1. Evolution de la liste d'attente et du devenir des candidats en greffe hépatique pour les malades inscrits avant l'âge de 18 ans
Inscription en attente et devenir des candidats
Avec 97 nouveaux inscrits de moins de 18 ans, l’activité d’inscription est stable depuis 2013. Parmi ces 97 nouvelles inscriptions, 47,4% concernent des enfants de moins de 2 ans, 26,8% concernent des enfants âgés de 3 à 10 ans et 25,8% des enfants âgés de 11 à 17 ans. La part des inscriptions des enfants âgés de moins de 2 ans a progressivement baissé ces 9 dernières années, passant de 63% en 2007 à 45% en moyenne pour la période 2013-2016. Dans le même temps, la part des inscriptions des enfants âgés de 6 à 10 ans est passée de 6% à 16%, et celle des enfants âgés de 3 à 5 ans de 11% à 15%. La prise en charge précoce des très jeunes enfants a possiblement permis de retarder l’âge de la greffe hépatique. Les enfants de 11 à 17 ans représentent en moyenne 27% des nouveaux inscrits ces 4 dernières années, contre 20% en 2007.
La retransplantation, élective ou non, concerne 10 nouveaux inscrits (10,3% des nouveaux inscrits) en 2016 contre 6,3% en 2014, taux le plus bas jamais observé. La tendance est globalement à la baisse puisque la retransplantation représentait 18,7% des inscrits en 2003, 16,9% en 2009 et 13,4% en 2012.
Un quart des enfants en attente au 1er janvier 2017 était en contre-indication temporaire (CIT). L’ajout en janvier 2012 d’une liste de motifs de mise en CIT a permis de mieux comprendre le parcours des malades en attente, et en particulier d’évaluer la part des CIT liée à une amélioration de l’état de santé de l’enfant aboutissant à la décision de sursoir, au moins provisoirement, à la greffe.
Le nombre de malades restant inscrits au début de l’année 2017 est de 65 enfants, chiffre comparable à ceux observés les 2 précédentes années. Les enfants sont pour l'essentiel inscrits dans les équipes de la région Ile-de-France (75,2% en 2016).
La répartition des indications de greffe parmi les nouveaux inscrits s’est peu modifiée ces 5 dernières années. L’atrésie des voies biliaires reste l’indication dominante en greffe hépatique pédiatrique avec en moyenne 29 à 44% des nouveaux inscrits des 6 dernières années. Viennent ensuite les maladies métaboliques et les cirrhoses biliaires secondaires avec 10,3% des inscriptions. L’indication hépatite fulminante et insuffisance hépatique aigue est passée progressivement de 14% des inscrits en 2004 à 5,2% en 2016.
Depuis 2014, l’accès à la greffe des patients est mesurée par le taux d’incidence cumulée (IC) de greffe estimée par la méthode des risques concurrents qui prend en compte le risque concurrent de décès ou aggravation sur la liste d'attente (cf chapitre méthode). Ce taux d’IC de greffe diffère selon les périodes, avec un taux plus faible pour la période 2011-2016 (72% à un an) par rapport à 1995-1998 (86% à un an) mais similaire par rapport aux périodes 2007-2010 (71%) et 2003-2006 (74%). Le taux d’IC de greffe est particulièrement plus élevé pour les receveurs pédiatriques (72% à un an) comparé aux adultes (59% à un an) (p<0.01) et présente une cinétique plus rapide pour la tranche d’âge 11-17 ans (78% à un an et 93% à 2 ans) comparé aux autres classes d’âges inférieures à 11 ans (entre 62% et 76% à un an) (p<0.01). Ces différences d’IC de greffe observées selon les périodes ou l’âge des enfants ne s’accompagnent pas d’une augmentation du taux d’incidence cumulée des décès en attente ou sorties pour aggravation avec prise en compte du risque concurrent de greffe. Ce taux ne dépasse pas 5% et est atteint dès le 3ième mois après l’inscription. Il s’agit donc de sortie de liste pour décès ou aggravation précoces malgré l’octroi fréquent aux enfants de la priorité nationale super-urgence (30% des candidats de moins de 18 ans et 47% des greffes hépatiques pédiatriques réalisées à partir de donneur décédé).
En 2016, 47 des 143 demandes de super-urgence accordées par le collège d’experts concernaient des enfants, soit près d’un enfant nouvellement inscrit sur deux. La baisse de 21% observée en 2013 après 4 ans de hausse des demandes accordées de SU pédiatrique (+ 101% entre 2008 et 2012), ne s’est pas confirmée et le nombre de demandes acceptées est revenu aux valeurs observées en 2012. Trois enfants sont décédés en attente, 40 ont pu être greffés, 4 sont sortis de liste pour amélioration et aucun enfant ne restait en attente au 31/12/2016. Pour mémoire, la priorité nationale super-urgence est accordée pour une durée illimitée si le receveur est âgé de moins de 18 ans, permettant l’accès à la greffe dans l’année de la demande de SU pour 85 à 90% des enfants. Une composante « experts » a été accordée à 9 enfants, tous greffés dans l’année. La mortalité en liste d’attente est basse avec 3 décès ou moins par an depuis 2014. Le taux d’incidence de décès pour 1000 patients x année a diminué de manière significative de 176,3 en 2001 à 54,5 en 2016. Les enfants sortis de liste en 2016 l’ont tous été pour amélioration.
Tableau Péd F2. Evolution des principaux indicateurs de pénurie en greffe hépatique
|
2011 |
2012 |
2013 |
2014 |
2015 |
2016 |
Nouveaux inscrits pour un greffon |
1,0 |
1,3 |
1,2 |
1,2 |
1,1 |
1,1 |
Receveur en attente au 1er janvier pour un greffon |
0,6 |
0,5 |
0,7 |
0,7 |
0,7 |
0,7 |
Receveurs en attente au 1er janvier hors malade en CIT |
0,4 |
0,3 |
0,5 |
0,5 |
0,5 |
0,5 |
Total candidats pour un greffon |
1,6 |
1,8 |
1,8 |
1,9 |
1,8 |
1,8 |
L’évolution de la pénurie peut être mesurée par :
- le nombre de receveurs en attente au 1er janvier de l’année pour un greffon (0,7 receveur début 2016 pour 1 greffon utilisable) ;
- le nombre de nouveaux inscrits pour un greffon (1,1 inscrit pour un greffon utilisable) ;
- le nombre total de candidats pour un greffon (1,8 candidat pour un greffon utilisable dans l’année)
Tableau Péd F3. Caractéristiques des donneurs de foie et des malades inscrits avant l'âge de 18 ans selon leur devenir en liste d'attente de greffe de foie en 2016
Caractéristiques |
Greffons hépatiques greffés en 2016* |
Malades en attente au 1er janvier 2016 |
Nouveaux malades inscrits en 2016 |
Malades greffés en 2016 |
Malades décédés en 2016 |
|||||
n |
% |
n |
% |
n |
% |
n |
% |
n |
% |
|
Age |
||||||||||
0-2 ans |
4 |
4,7 |
14 |
23,3 |
46 |
47,4 |
34 |
40,0 |
2 |
66,7 |
3-5 ans |
3 |
3,5 |
13 |
21,7 |
13 |
13,4 |
14 |
16,5 |
1 |
33,3 |
6-10 ans |
4 |
4,7 |
16 |
26,7 |
13 |
13,4 |
11 |
12,9 |
0 |
0,0 |
11-17 ans |
14 |
16,5 |
16 |
26,7 |
25 |
25,8 |
25 |
29,4 |
0 |
0,0 |
18-29 ans |
35 |
41,2 |
1 |
1,7 |
0 |
0,0 |
1 |
1,2 |
0 |
0,0 |
30 ans et plus |
25 |
29,4 |
0 |
0,0 |
0 |
0,0 |
0 |
0,0 |
0 |
0,0 |
(m ± ds, ans) |
26,9 |
15,1 |
7,9 |
5,7 |
6,0 |
5,9 |
6,9 |
6,1 |
1,5 |
1,7 |
Sexe |
||||||||||
Masculin |
40 |
47,1 |
33 |
55,0 |
49 |
50,5 |
43 |
50,6 |
1 |
33,3 |
Féminin |
45 |
52,9 |
27 |
45,0 |
48 |
49,5 |
42 |
49,4 |
2 |
66,7 |
Groupe sanguin |
||||||||||
A |
23 |
27,1 |
11 |
18,3 |
31 |
32,0 |
24 |
28,2 |
0 |
0,0 |
AB |
2 |
2,4 |
2 |
3,3 |
2 |
2,1 |
3 |
3,5 |
0 |
0,0 |
B |
6 |
7,1 |
8 |
13,3 |
12 |
12,4 |
11 |
12,9 |
0 |
0,0 |
O |
54 |
63,5 |
39 |
65,0 |
52 |
53,6 |
47 |
55,3 |
3 |
100,0 |
Retransplantation |
||||||||||
Non |
na |
na |
57 |
95,0 |
87 |
89,7 |
76 |
89,4 |
2 |
66,7 |
Oui |
na |
na |
3 |
5,0 |
10 |
10,3 |
9 |
10,6 |
1 |
33,3 |
Total |
85 |
100,0 |
60 |
100,0 |
97 |
100,0 |
85 |
100,0 |
3 |
100,0 |
* greffons issus de donneur vivant inclus
NA : Non Applicable
(m ± ds, ans): moyenne ± déviation standard
Tableau Péd F4. Evolution du nombre de nouveaux malades pédiatriques en attente d'une greffe de foie selon l'indication
|
2011 |
2012 |
2013 |
2014 |
2015 |
2016 |
||||||
N |
% |
N |
% |
N |
% |
N |
% |
N |
% |
N |
% |
|
Maladie métabolique |
3 |
3,4 |
15 |
13,4 |
11 |
11,5 |
14 |
14,7 |
13 |
12,9 |
10 |
10,3 |
Maladie de Wilson |
3 |
3,4 |
3 |
2,7 |
3 |
3,1 |
1 |
1,1 |
6 |
5,9 |
2 |
2,1 |
Maladie cholestatique |
1 |
1,1 |
3 |
2,7 |
0 |
0,0 |
1 |
1,1 |
3 |
3,0 |
6 |
6,2 |
Atrésie des voies biliaires |
39 |
44,3 |
30 |
26,8 |
32 |
33,3 |
42 |
44,2 |
29 |
28,7 |
30 |
30,9 |
Cholangite sclérosante et maladie congénitale des voies biliaires |
2 |
2,3 |
7 |
6,3 |
2 |
2,1 |
3 |
3,2 |
4 |
4,0 |
3 |
3,1 |
Cirrhose biliaire secondaire |
1 |
1,1 |
10 |
8,9 |
11 |
11,5 |
8 |
8,4 |
14 |
13,9 |
10 |
10,3 |
Cirrhose biliaire primitive |
1 |
1,1 |
3 |
2,7 |
0 |
0,0 |
2 |
2,1 |
0 |
0,0 |
1 |
1,0 |
Cirrhose (non biliaires) |
10 |
11,4 |
9 |
8,0 |
5 |
5,2 |
6 |
6,3 |
3 |
3,0 |
6 |
6,2 |
Tumeur hépatique |
4 |
4,5 |
7 |
6,3 |
5 |
5,2 |
3 |
3,2 |
4 |
4,0 |
6 |
6,2 |
Retransplantation élective |
4 |
4,5 |
3 |
2,7 |
2 |
2,1 |
3 |
3,2 |
1 |
1,0 |
2 |
2,1 |
Retransplantation non élective |
5 |
5,7 |
8 |
7,1 |
7 |
7,3 |
2 |
2,1 |
4 |
4,0 |
5 |
5,2 |
Retransplantation élective ou non |
2 |
2,3 |
4 |
3,6 |
1 |
1,0 |
1 |
1,1 |
7 |
6,9 |
3 |
3,1 |
Hépatite fulminante et Insuffisance hépatique aiguë |
7 |
8,0 |
7 |
6,3 |
5 |
5,2 |
5 |
5,3 |
9 |
8,9 |
5 |
5,2 |
Autres maladies |
6 |
6,8 |
3 |
2,7 |
12 |
12,5 |
4 |
4,2 |
4 |
4,0 |
8 |
8,2 |
Total |
88 |
100,0 |
112 |
100,0 |
96 |
100,0 |
95 |
100,0 |
101 |
100,0 |
97 |
100,0 |
Tableau Péd F5. Evolution du nombre de décès avant greffe enregistrés annuellement sur la liste d'attente depuis 2011 chez les malades pédiatriques en attente d'une greffe hépatique
|
2011 |
2012 |
2013 |
2014 |
2015 |
2016 |
Nombre total de décès |
2 |
3 |
6 |
2 |
3 |
3 |
Pourcentage de décès parmi les inscrits* |
1,5 % |
2,0 % |
4,2 % |
1,4 % |
2,0 % |
2,0 % |
Décès parmi les nouveaux inscrits** |
2 |
3 |
6 |
1 |
3 |
3 |
Pourcentage de décès parmi les nouveaux inscrits |
2,3 % |
2,9 % |
6,7 % |
1,1 % |
3,3 % |
3,2 % |
Taux d'incidence (nombre de décès pour 1 000 patients x année) |
41,6 |
62,6 |
108,5 |
33,7 |
50,5 |
54,5 |
* Receveurs en attente au 1er janvier de l'année + nouveaux inscrits (hors en attente de donneur vivant)
**Hors inscrits en attente de greffe à partir de donneur vivant
Figure Péd F1. Taux d'incidence cumulée de greffe et de décès ou aggravation sur la liste d'attente de greffe hépatique selon la période d'inscription (1995-2016)
|
Incidence cumulée des greffes avec prise en compte du risque concurrent de décès en attente ou sorties pour aggravation |
|||||
Période d'inscription |
N |
à 3 mois |
à 6 mois |
à 12 mois |
à 24 mois |
à 36 mois |
1995-1998 |
285 |
56 [50-62] |
75 [70-80] |
86 [81-90] |
93 [89-96] |
NC |
1999-2002 |
243 |
42 [36-49] |
61 [55-67] |
79 [73-84] |
93 [88-96] |
94 [89-97] |
2003-2006 |
227 |
35 [29-41] |
54 [47-61] |
74 [68-79] |
90 [85-93] |
93 [89-96] |
2007-2010 |
240 |
32 [26-38] |
48 [41-54] |
71 [65-76] |
87 [81-90] |
92 [88-95] |
2011-2016 |
331 |
33 [28-39] |
52 [46-57] |
72 [66-77] |
82 [77-86] |
89 [84-92] |
|
Incidence cumulée des décès en attente ou sorties pour aggravation avec prise en compte du risque concurrent de greffe |
|||||
Période d'inscription |
N |
à 3 mois |
à 6 mois |
à 12 mois |
à 24 mois |
à 36 mois |
1995-1998 |
285 |
6 [3-9] |
NC |
NC |
NC |
NC |
1999-2002 |
243 |
3 [1-5] |
3 [1-5] |
NC |
NC |
NC |
2003-2006 |
227 |
0 [0-2] |
1 [0-4] |
2 [1-4] |
3 [1-6] |
3 [1-6] |
2007-2010 |
240 |
4 [2-7] |
NC |
NC |
NC |
NC |
2011-2016 |
331 |
2 [1-4] |
3 [1-5] |
NC |
NC |
NC |
NC=Non calculable / IC : Intervalle de confiance
Données extraites de CRISTAL le 02/03/2017
Figure Péd F2. Taux d'incidence cumulée de greffe et de décès ou aggravation sur la liste d'attente de greffe hépatique chez les adultes et les enfants (2011-2016)
|
Incidence cumulée des greffes avec prise en compte du risque concurrent de décès en attente ou sorties pour aggravation |
|||||||||
Age à l'inscription |
N |
à 3 mois |
à 6 mois |
à 12 mois |
à 24 mois |
à 36 mois |
||||
Inscrits adultes |
9216 |
29 [28-30] |
41 [40-42] |
59 [58-60] |
72 [71-73] |
74 [73-75] |
||||
Inscrits pédiatriques |
331 |
33 [28-39] |
52 [46-57] |
72 [66-77] |
82 [77-86] |
89 [84-92] |
||||
|
Incidence cumulée des décès en attente ou sorties pour aggravation avec prise en compte du risque concurrent de greffe |
|
||||||||
Age à l'inscription |
N |
à 3 mois |
à 6 mois |
à 12 mois |
à 24 mois |
à 36 mois |
|
|||
Inscrits adultes |
9216 |
7 [7-8] |
11 [10-11] |
15 [14-15] |
18 [18-19] |
19 [19-20] |
|
|||
Inscrits pédiatriques |
331 |
2 [1-4] |
3 [1-5] |
NC |
NC |
NC |
|
|||
NC=Non calculable / IC : Intervalle de confiance
Données extraites de CRISTAL le 02/03/2017
Figure Péd F3. Taux d'incidence cumulée de greffe et de décès ou aggravation sur la liste d'attente de greffe hépatique selon l’âge à l'inscription (2011-2016)
|
Incidence cumulée des greffes avec prise en compte du risque concurrent de décès en attente ou sorties pour aggravation |
|||||
Age à l'inscription |
N |
à 3 mois |
à 6 mois |
à 12 mois |
à 24 mois |
à 36 mois |
0-2 ans |
118 |
32 [23-41] |
47 [37-56] |
72 [62-80] |
81 [71-88] |
90 [80-95] |
11-17 ans |
99 |
47 [36-57] |
58 [47-67] |
78 [68-86] |
93 [77-98] |
NC |
3-5 ans |
58 |
20 [11-31] |
52 [37-64] |
62 [47-74] |
77 [61-87] |
86 [62-95] |
6-10 ans |
56 |
33 [21-46] |
57 [42-69] |
76 [62-86] |
83 [68-91] |
94 [58-99] |
|
Incidence cumulée des décès en attente ou sorties pour aggravation avec prise en compte du risque concurrent de greffe |
|||||
Age à l'inscription |
N |
à 3 mois |
à 6 mois |
à 12 mois |
à 24 mois |
à 36 mois |
6-10 ans |
56 |
NC |
NC |
NC |
NC |
NC |
0-2 ans |
118 |
5 [2-10] |
NC |
NC |
NC |
NC |
11-17 ans |
99 |
3 [1-8] |
3 [1-8] |
NC |
NC |
NC |
3-5 ans |
58 |
2 [0-9] |
NC |
NC |
NC |
NC |
NC=Non calculable / IC : Intervalle de confiance
Données extraites de CRISTAL le 02/03/2017
Prélèvement en vue de greffe
Le nombre de donneurs pédiatriques prélevés d’un foie a diminué régulièrement de 60% entre 1996 et 2005, dans un contexte d’augmentation générale du prélèvement. De 2006 à 2016, le nombre moyen annuel de donneurs de moins de 18 ans prélevés d’un foie est d’un peu plus de 50 par an. En 2016, 52 donneurs de moins de 18 ans ont été prélevés donnant 58 greffons dont 46 greffés en France (36 foies entiers, 5 foies droits et 5 foies gauches), soit 5 donneurs de plus qu’en 2015 mais une baisse de 17,5% par rapport au pic observé en 2011. L’évolution dans le temps de l’activité de prélèvement hépatique pédiatrique suit celle des donneurs âgés de 11 à 17 ans, ces derniers représentant en moyenne 71% des donneurs pédiatriques prélevés d'un greffon hépatique entre 2008 et 2014. Depuis 2 ans, la part des donneurs âgés de 11 à 17 ans n’est plus que de 61-62% avec en miroir une hausse de la part des donneurs de moins de 2 ans qui atteint près de 20%. Vingt-deux enfants (28%) ont reçu un greffon prélevé sur un donneur décédé âgé de plus de 30 ans. Vingt-deux greffons, issus de donneurs pédiatriques, ont été greffés chez des receveurs adultes dont 5 chez des receveurs âgés de 60 ans et plus, et 24 (52%) ont été greffés à des enfants (9 foies entiers ont été greffés à l’étranger, 1 foie entier, un hémi-greffon gauche et un hémi-greffon droit prélevés n’ont pas été greffés). A noter, l’importation d’un greffon pédiatrique de l’étranger pour un enfant.
Au total, c’est 37,9% des greffons hépatiques pédiatriques prélevés qui ont été greffés à un adulte en 2016, contre 39,2% en 2015.
Tableau Péd F6. Evolution du nombre de donneurs décédés et prélevés d'un foie en France selon l'âge du donneur
Année de prélèvement |
Donneurs pédiatriques (<18 ans) |
Donneurs adultes |
1994 |
84 |
478 |
1995 |
79 |
491 |
1996 |
87 |
559 |
1997 |
90 |
537 |
1998 |
76 |
645 |
1999 |
78 |
637 |
2000 |
63 |
689 |
2001 |
63 |
732 |
2002 |
71 |
779 |
2003 |
59 |
747 |
2004 |
58 |
848 |
2005 |
35 |
961 |
2006 |
51 |
986 |
2007 |
71 |
990 |
2008 |
43 |
1007 |
2009 |
41 |
1023 |
2010 |
54 |
1060 |
2011 |
63 |
1119 |
2012 |
50 |
1142 |
2013 |
47 |
1212 |
2014 |
49 |
1258 |
2015 |
47 |
1322 |
2016 |
52 |
1290 |
Tableau Péd F7. Evolution du nombre de greffons pédiatriques prélevés en France sur donneurs décédés, et greffés, selon l'âge du donneur
|
0-2 ans |
3-5 ans |
6-10 ans |
11-17 ans |
1993 |
7 |
7 |
14 |
49 |
1994 |
11 |
4 |
14 |
54 |
1995 |
9 |
6 |
11 |
55 |
1996 |
6 |
5 |
17 |
61 |
1997 |
6 |
5 |
12 |
68 |
1998 |
8 |
5 |
10 |
53 |
1999 |
9 |
5 |
10 |
58 |
2000 |
4 |
2 |
8 |
50 |
2001 |
5 |
7 |
5 |
47 |
2002 |
5 |
6 |
10 |
55 |
2003 |
4 |
3 |
9 |
45 |
2004 |
4 |
5 |
7 |
45 |
2005 |
5 |
1 |
4 |
29 |
2006 |
6 |
2 |
5 |
40 |
2007 |
3 |
4 |
8 |
69 |
2008 |
7 |
4 |
5 |
34 |
2009 |
4 |
4 |
3 |
34 |
2010 |
1 |
5 |
10 |
44 |
2011 |
6 |
6 |
10 |
49 |
2012 |
7 |
4 |
6 |
41 |
2013 |
7 |
2 |
8 |
37 |
2014 |
6 |
2 |
5 |
41 |
2015 |
10 |
4 |
5 |
30 |
2016 |
10 |
4 |
7 |
34 |
Tableau Péd F8. Age des greffons hépatiques prélevés sur donneurs décédés et greffés en France en 2016 selon l'âge du receveur au moment de la greffe
Age du donneur |
Age du receveur |
Total |
||||||
0-2 ans |
3-5 ans |
6-10 ans |
11-17 ans |
18-29 ans |
30-59 ans |
60 ans et plus |
||
0-2 ans |
2 |
2 |
0 |
0 |
0 |
0 |
0 |
4 |
3-5 ans |
0 |
1 |
1 |
0 |
0 |
0 |
0 |
2 |
6-10 ans |
1 |
0 |
0 |
3 |
1 |
0 |
1 |
6 |
11-17 ans |
4 |
1 |
1 |
8 |
3 |
13 |
4 |
34 |
18-29 ans |
13 |
8 |
9 |
3 |
12 |
67 |
41 |
153 |
30-59 ans |
10 |
2 |
0 |
10 |
23 |
295 |
164 |
504 |
60 ans et plus |
0 |
0 |
0 |
0 |
18 |
306 |
258 |
582 |
Total |
30 |
14 |
11 |
24 |
57 |
681 |
468 |
1285 |
Activité de greffe
En 2016, 85 greffes hépatiques ont été réalisées en France au profit de receveurs âgés de moins de 18 ans lors de leur inscription en liste d'attente, contre 75 en 2010 et 93 en 2015, avec en moyenne 85 greffes annuelles entre 2011 et 2016, versus 75 greffes par an entre 2005 et 2010. Parmi ces 85 greffes, 81 greffons ont été prélevés sur donneurs décédés et correspondent à 45 hémi-greffons issus d’un partage hépatique et 36 foies entiers.
En 2016, 89% des greffons hépatiques partagés attribués à un enfant sont issus de donneurs décédés adultes et 55 % des greffes hépatiques pédiatriques à partir de donneurs décédés ont été réalisés dans le cadre d’un partage du foie. Le recours au partage hépatique pour les receveurs pédiatriques, entrepris principalement pour les donneurs de plus de 18 ans a progressé significativement entre 1998 et 2008, passant de 7,4% à 57,1% des greffes pédiatriques (hors donneur vivant) pour atteindre au maximum 62,2% en 2012. Cette évolution explique le maintien de l’activité de greffe pour les enfants malgré la baisse du recours au donneur vivant et la baisse du prélèvement pédiatrique et elle doit être encouragée et facilitée. En effet, le partage hépatique est une stratégie capitale pour l’accès à la greffe des plus petits (34% des foies gauches sont greffés aux enfants de moins de 3 ans), raison pour laquelle la priorité pédiatrique pour les foies gauches prélevés sur des adultes âgés de 18 à 30 ans a été mise en place en 2006.
L’activité de greffe à partir d’un donneur vivant est de 4 greffes en 2016 pour une moyenne de 6 greffes par an ces 6 dernières années et de l’ordre de 13 greffes par an entre 1996 et 2006, dont un pic de 18 greffes en 2005.
Neuf équipes, dont 4 avec une activité pédiatrique exclusive, ont réalisé des greffes pédiatriques, en notant que 74% de ces greffes ont été réalisées en région Ile-de-France et 34% par l'équipe du Kremlin-Bicêtre. Les équipes de la région Ile-de-France réalisent la majorité de leurs greffes au profit de receveurs venant de l'ensemble du territoire national.
L’indicateur de pénurie (nombre total de candidats pour un greffon) est de 1,8 candidats par greffon contre 1,6 en 2011, du fait de l’augmentation plus importante du nombre de nouveaux inscrits que du nombre de greffes. La part importante de mise en contrindication provisoire a un impact sur l’indicateur de pénurie «nombre de malades en attente au 1er janvier par greffon», celui-ci passant de 0,7 à 0,5 receveurs en attente pour un greffon au 1er janvier 2016 après prise en compte des CIT.
Tableau Péd F9. Evolution des modalités d'attribution pour les greffes hépatiques réalisées à partir de donneurs décédés pour les receveurs pédiatriques
|
2010 |
2011 |
2012 |
2013 |
2014 |
2015 |
2016 |
|||||||
N |
% |
N |
% |
N |
% |
N |
% |
N |
% |
N |
% |
N |
% |
|
Hors tour |
1 |
1,5 |
0 |
0,0 |
0 |
0,0 |
0 |
0,0 |
0 |
0,0 |
1 |
1,2 |
0 |
0,0 |
Priorité greffes multiples |
0 |
0,0 |
2 |
2,6 |
0 |
0,0 |
1 |
1,3 |
2 |
2,6 |
2 |
2,4 |
1 |
1,2 |
Priorité pédiatrique |
43 |
65,2 |
43 |
55,1 |
34 |
41,5 |
42 |
55,3 |
36 |
47,4 |
40 |
48,2 |
39 |
48,1 |
Score National |
0 |
0,0 |
3 |
3,8 |
4 |
4,9 |
1 |
1,3 |
5 |
6,6 |
2 |
2,4 |
3 |
3,7 |
Split |
0 |
0,0 |
0 |
0,0 |
2 |
2,4 |
0 |
0,0 |
0 |
0,0 |
2 |
2,4 |
0 |
0,0 |
Super Urgence |
22 |
33,3 |
30 |
38,5 |
42 |
51,2 |
32 |
42,1 |
33 |
43,4 |
36 |
43,4 |
38 |
46,9 |
Total |
66 |
100,0 |
78 |
100,0 |
82 |
100,0 |
76 |
100,0 |
76 |
100,0 |
83 |
100,0 |
81 |
100,0 |
Tableau Péd F10. Evolution de l'activité de greffe hépatique des malades inscrits avant l'âge de 18 ans selon l'âge à la greffe
Année de la greffe |
0-17 ans au moment de la greffe |
18 ans et plus au moment de la greffe |
1994 |
79 |
0 |
1995 |
94 |
2 |
1996 |
87 |
2 |
1997 |
88 |
0 |
1998 |
68 |
0 |
1999 |
61 |
0 |
2000 |
86 |
2 |
2001 |
72 |
0 |
2002 |
70 |
1 |
2003 |
80 |
4 |
2004 |
58 |
1 |
2005 |
69 |
1 |
2006 |
77 |
4 |
2007 |
77 |
1 |
2008 |
72 |
2 |
2009 |
73 |
0 |
2010 |
75 |
0 |
2011 |
85 |
0 |
2012 |
84 |
2 |
2013 |
83 |
0 |
2014 |
80 |
0 |
2015 |
90 |
3 |
2016 |
84 |
1 |
Tableau Péd F11. Evolution de l'activité de greffe hépatique des malades inscrits avant l'âge de 18 ans selon le type de donneur
|
Donneur vivant |
Foie entier de donneur décédé de moins de 18 ans |
Foie entier de donneur décédé de plus de 18 ans |
Foie partagé de donneur décédé de moins de 18 ans |
Foie partagé de donneur décédé de plus de 18 ans |
1996 |
10 |
40 |
26 |
6 |
7 |
1997 |
16 |
42 |
21 |
4 |
5 |
1998 |
14 |
31 |
19 |
1 |
3 |
1999 |
12 |
31 |
8 |
5 |
5 |
2000 |
14 |
30 |
23 |
2 |
19 |
2001 |
14 |
27 |
9 |
3 |
19 |
2002 |
4 |
28 |
11 |
7 |
21 |
2003 |
11 |
25 |
22 |
2 |
24 |
2004 |
10 |
17 |
10 |
5 |
17 |
2005 |
18 |
14 |
10 |
4 |
24 |
2006 |
17 |
21 |
13 |
2 |
28 |
2007 |
9 |
15 |
15 |
13 |
26 |
2008 |
4 |
19 |
11 |
7 |
33 |
2009 |
7 |
20 |
11 |
6 |
29 |
2010 |
9 |
24 |
9 |
6 |
27 |
2011 |
7 |
34 |
9 |
9 |
26 |
2012 |
4 |
20 |
11 |
11 |
40 |
2013 |
7 |
21 |
13 |
9 |
33 |
2014 |
4 |
22 |
13 |
5 |
36 |
2015 |
10 |
26 |
20 |
5 |
32 |
2016 |
4 |
20 |
16 |
5 |
40 |
Tableau Péd F12. Nombre de greffes hépatiques effectuées en 2016 par équipe selon le type de greffon chez des malades inscrits avant l'âge de 18 ans
Equipe |
Total greffes |
Donneur vivant hors domino |
Foie partagé donneur décédé |
Besançon (A) |
1 |
0 |
0 |
Bordeaux (A+P) |
0 |
0 |
0 |
Clermont-Ferrand (A+P) |
0 |
0 |
0 |
Clichy Beaujon (AP-HP) (A) |
1 |
0 |
0 |
Le Kremlin Bicêtre (AP-HP) (P) |
29 |
1 |
18 |
Lyon (HCL) (P) |
17 |
1 |
7 |
Marseille Timone enfants (APM) (P) |
3 |
1 |
2 |
Montpellier (A) |
1 |
0 |
0 |
Paris Necker-Enfants Malades (AP-HP) (P) |
23 |
0 |
18 |
Paris Pitié-Salpêtrière (AP-HP) (A) |
1 |
0 |
0 |
Rennes (A+P) |
0 |
0 |
0 |
Strasbourg (A+P) |
0 |
0 |
0 |
Villejuif Paul Brousse (AP-HP) (A) |
9 |
1 |
0 |
Tableau Péd F13. Evolution du nombre de greffes hépatiques par équipe chez des malades inscrits avant l'âge de 18 ans
|
2011 |
2012 |
2013 |
2014 |
2015 |
2016 |
Besançon (A) |
0 |
0 |
0 |
1 |
0 |
1 |
Bordeaux (A+P) |
0 |
2 |
0 |
0 |
3 |
0 |
Clichy Beaujon (AP-HP) (A) |
1 |
2 |
0 |
1 |
0 |
1 |
Le Kremlin Bicêtre (AP-HP) (P) |
37 |
39 |
34 |
31 |
34 |
29 |
Lille (A) |
0 |
1 |
1 |
2 |
1 |
0 |
Lyon (HCL) (A) |
9 |
6 |
7 |
11 |
0 |
0 |
Lyon (HCL) (P) |
0 |
0 |
0 |
1 |
13 |
17 |
Marseille Conception (APM) (A) |
1 |
0 |
0 |
0 |
0 |
0 |
Marseille Timone enfants (APM) (P) |
11 |
6 |
11 |
9 |
8 |
3 |
Montpellier (A) |
0 |
0 |
0 |
0 |
1 |
1 |
Paris Necker-Enfants Malades (AP-HP) (P) |
17 |
22 |
22 |
16 |
26 |
23 |
Paris Pitié-Salpêtrière (AP-HP) |
0 |
0 |
1 |
0 |
0 |
0 |
Paris Pitié-Salpêtrière (AP-HP) (A) |
0 |
0 |
0 |
0 |
0 |
1 |
Paris Saint-Antoine (AP-HP) |
1 |
1 |
1 |
0 |
0 |
0 |
Rennes (A+P) |
0 |
1 |
1 |
1 |
0 |
0 |
Strasbourg (A+P) |
6 |
0 |
1 |
1 |
1 |
0 |
Toulouse (A) |
0 |
0 |
1 |
0 |
0 |
0 |
Tours (A) |
0 |
0 |
0 |
1 |
3 |
0 |
Villejuif Paul Brousse (AP-HP) (A) |
2 |
6 |
3 |
5 |
3 |
9 |
France |
85 |
86 |
83 |
80 |
93 |
85 |
Survie post greffe
Globalement, les taux de survie du receveur pédiatrique après une greffe de foie réalisée entre 2006 et 2015 sont de 91,6% à 1 mois, 86,1% à 1 an et 84,3% à 5 ans, taux significativement supérieurs de près de 12% à ceux observés pour la période 1985-1995 (p<0,01). Pour la période 1996-2005, le recul est suffisant pour observer un taux de survie à 10 ans (77%) et à 15 ans (74,5%).
La survie en greffe de foie pédiatrique est telle que la durée médiane de survie (durée à partir de laquelle 50% des malades sont encore vivants) n'est pas observée. L’analyse univariée de la survie pour la cohorte 1985-2014 identifie un impact de l’âge du receveur à l’inscription (p = 0,026) avec des résultats à long terme (15 ans) moins bons pour les receveurs âgés de 11 à 17 ans (67,8%) versus 74% ou plus pour les autres tranches d’âge. Le type de donneurs influence modérément les résultats de survie avec toutefois un gain à 10 ans de près de 6% en cas de donneur vivant versus donneur décédé de foie entier ou partagé (p=0,08).
Figure Péd F4. Survie du receveur pédiatrique après greffe hépatique selon l'âge à l'inscription (1985-2015**)
Age à l'inscription |
N |
Survie à 1 mois |
Survie à 1 an |
Survie à 5 ans |
Survie à 10 ans |
Survie à 15 ans |
Médiane de |
0-2 ans |
969 |
87,6% |
81,5% |
78,7% |
77,6% |
76,2% |
NO |
nombre de sujets à risque* |
|
847 |
783 |
620 |
454 |
271 |
|
3-5 ans |
276 |
87,7% |
81,1% |
78,8% |
77,9% |
74,3% |
NO |
nombre de sujets à risque* |
|
242 |
221 |
185 |
148 |
106 |
|
6-10 ans |
295 |
89,7% |
83,2% |
79,5% |
77,5% |
75,4% |
NO |
nombre de sujets à risque* |
|
261 |
242 |
184 |
135 |
93 |
|
11-17 ans |
454 |
89,5% |
82,2% |
75,9% |
72,9% |
67,8% |
NO |
nombre de sujets à risque* |
|
402 |
365 |
273 |
197 |
123 |
|
[] : Intervalle de confiance
NO : non observable
* : Nombre de malades restant à observer pour chaque temps et pour lesquels aucun évènement ni censure n'est survenu
** Pour l’année 2015, seuls les patients greffés entre janvier et Juin ont été inclus car pour le 2ème semestre 2015, le pourcentage de suivi post greffe manquant à un an était trop élevé.
Figure Péd F5. Survie du receveur après greffe hépatique pédiatrique selon la période de greffe (1985-2015**)
Période de greffe |
N |
Survie à 1 mois |
Survie à 1 an |
Survie à 5 ans |
Survie à 10 ans |
Survie à 15 ans |
Médiane de |
1985-1995 |
660 |
84,4% |
75,4% |
71,1% |
70,3% |
67,6% |
NO |
nombre de sujets à risque* |
|
555 |
494 |
460 |
446 |
371 |
|
1996-2005 |
663 |
89,1% |
84,0% |
79,5% |
77,0% |
74,5% |
NO |
nombre de sujets à risque* |
|
589 |
553 |
512 |
458 |
222 |
|
2006-2015 |
671 |
91,6% |
86,1% |
84,3% |
NO |
NO |
NO |
nombre de sujets à risque* |
|
608 |
564 |
290 |
30 |
0 |
|
[] : Intervalle de confiance
NO : non observable
* : Nombre de malades restant à observer pour chaque temps et pour lesquels aucun évènement ni censure n'est survenu
** Pour l’année 2015, seuls les patients greffés entre janvier et Juin ont été inclus car pour le 2ème semestre 2015, le pourcentage de suivi post greffe manquant à un an était trop élevé.
Figure Péd F6. Survie du receveur après greffe hépatique pédiatrique selon le type de donneur (1985-2015)
Type de donneur |
N |
Survie à 1 mois |
Survie à 1 an |
Survie à 5 ans |
Survie à 10 ans |
Survie à 15 ans |
Médiane de |
Receveurs de foie total de donneurs décédés SME |
650 |
92,0% |
86,4% |
82,4% |
79,3% |
76,0% |
NO |
nombre de sujets à risque* |
|
594 |
553 |
415 |
274 |
141 |
|
Receveurs de foie split de donneurs décédés SME |
496 |
87,9% |
82,2% |
79,5% |
78,4% |
NO |
NO |
nombre de sujets à risque* |
|
434 |
401 |
251 |
118 |
30 |
|
Receveurs de foie de donneurs vivants hors domino |
188 |
91,4% |
88,1% |
86,4% |
84,8% |
83,7% |
NO |
nombre de sujets à risque* |
|
169 |
163 |
136 |
96 |
51 |
|
[] : Intervalle de confiance
NO : non observable
* : Nombre de malades restant à observer pour chaque temps et pour lesquels aucun évènement n'est survenu
** Pour l’année 2015, seuls les patients greffés entre janvier et Juin ont été inclus car pour le 2ème semestre 2015, le pourcentage de suivi post greffe manquant à un an était trop élevé.
Conclusion
Le contexte global de la greffe hépatique pédiatrique en 2016 est celui :
- Du maintien d’une activité d’inscription élevée, entre 90 et 100 nouveaux inscrits par an, avec une prééminence d’inscription pour atrésie des voies biliaires et une augmentation de l’âge moyen des nouveaux inscrits passé de 3,9 ans en 2006 à 6 ans en 2016 correspondant à une baisse significative des inscriptions pour les enfants de moins de 2 ans.
- D’une faible incidence de décès ou de sortie de liste pour aggravation, estimée à 3%, atteint avant 3 mois, concernant surtout les plus petits, malgré l’obtention de la priorité nationale Super-Urgence dans la majorité des cas.
- D’un recours fréquent à la priorité nationale Super-urgence (30% des inscrits et 48% des greffes hépatiques pédiatriques à partir d’un donneur décédé).
- D’une activité de prélèvement hépatique des donneurs pédiatriques en baisse régulière jusqu’en 2005, stable depuis, liée principalement à l’activité de recensement et de prélèvement des donneurs âgés de 11 à 17 ans.
- Du maintien de l’activité de greffe grâce au recours fréquent au partage hépatique (entre 45 et 55% des greffes pédiatriques ces 4 dernières années) et à l’attribution des greffons gauches aux enfants via la priorité pédiatrique pour les foies partagés prélevés sur des adultes âgés de 18 à 30 ans (+ de 85% des greffons issus d’un partage hépatique ont été prélevés chez un donneur âgé de plus 18 ans).
- D’une baisse du recours au don vivant avec 4 greffes en 2016 contre 10 en 2015, alors que les résultats observés pour la greffe de foie gauche issu d’un donneur vivant sont considérés comme bons et supérieurs à ceux observés à partir de donneurs décédés et que le risque de complications pour le donneur est faible, s’agissant d’une lobectomie ou d’une hépatectomie gauche dans un contexte de développement de la technique de prélèvement par voie coelioscopique.
- D’une activité de greffe qui se maintient autour de 85 greffes par an, le pic de 93 greffes hépatiques pédiatriques observé en 2015 étant en majeure partie due au recours plus fréquent au donneur vivant. La concentration de l’activité d’inscription et de greffe hépatique pédiatrique en région Ile-de-France reste importante avec 74% des greffes réalisées en 2016. Cette répartition nécessite de vérifier l’absence de difficultés d’accès aux donneurs relevant des priorités nationales pédiatriques, dont le foie partagé, sur l’ensemble des zones interrégionales de prélèvement et l’absence de difficultés logistiques pour l’acceptation des greffons.
- D’un indicateur de pénurie de greffons revenu à son niveau de 2010, les besoins restant supérieurs aux possibilités de greffe. Globalement, les 85 greffons disponibles en 2016 ont couvert les besoins de 54,1% des 157 candidats à la greffe (contre 62% en 2011), soit 1,8 candidat pour un greffon utilisable dans l’année.
- D’une amélioration à travers le temps de la qualité des résultats.
Greffe rénale pédiatrique
Résumé de l’activité
En France, quel que soit l’organe considéré, les receveurs et les donneurs pédiatriques sont définis depuis 2008 par un âge inférieur à 18 ans à l’inscription au prélèvement ou au prélèvement à l’inscription. Avant cette date, la limite d’âge était à 16 ans. Depuis 1959, année de la première greffe rénale enregistrée dans Cristal, un total de 4 689 greffes rénales a été enregistré chez des receveurs de moins de 18 ans à l’inscription sur liste d’attente. Le nombre de malades de moins de 18 ans au 31 décembre 2016 et porteurs d’un greffon fonctionnel au 31 décembre 2016 est estimé à 559 soit 38 pmh de la population du même âge.
Tableau Péd R1. Evolution de la liste d'attente et devenir des candidats en greffe rénale pour les malades inscrits avant l'âge de 18 ans
CIT : contre-indication temporaire
Données extraites de CRISTAL le 02/03/2017
Devenir des candidats en liste d’attente
Depuis le 1er mai 2008, la priorité pédiatrique, jusqu’alors appliquée aux enfants âgés de moins de 16 ans, est étendue aux enfants et adolescents de moins de 18 ans. Ils bénéficient d’une priorité nationale pour les 2 greffons prélevés sur les sujets de moins de 18 ans et d’une priorité interrégionale pour le deuxième greffon prélevé sur les sujets âgés de 18 à 30 ans, le premier rein étant attribué au score d’attribution des greffons de donneur adulte au niveau local depuis 2007. La priorité interrégionale pédiatrique s’applique en l’absence de receveurs bénéficiant d’une priorité dans le cadre d’une greffe combinée (cœur, poumon et pancréas prioritaire) ou d’une priorité accordée par les experts au titre de l’immunisation ou d’un groupe sanguin rare. Sur demande de l’équipe, une prolongation de la priorité pédiatrique au-delà de 18 ans est accordée à titre dérogatoire lorsque la dialyse a été initiée avant l’âge de 18 ans.
Le nouveau score d’attribution des greffons rénaux mis en place depuis le 3 février 2015 ne modifie pas l’attribution des greffons pour les receveurs pédiatriques.
En 2016, la population pédiatrique ainsi définie représente 3% des nouveaux inscrits (153 sur 5 181), 4% des greffes rénales (135 sur 3 615), 6% des greffes avec donneurs vivants (30 sur 576) et 1% des malades restant en attente au 1er janvier 2016 (178 sur 12 517).
Parmi les 153 nouveaux inscrits de moins de 18 ans sur la liste nationale d’attente en 2016, 11% étaient âgés de moins de 3 ans, 36% de 3 à 10 ans et 53% de 11 à 17 ans. Il existe une prédominance des garçons qui représentent 69% des nouveaux inscrits et 58% des malades restant en attente au 1er janvier 2016. Après une diminution d’activité en 2014 avec 102 greffes, l’activité pédiatrique remonte avec 114 greffes en 2015 et 135 en 2016, chiffre jamais atteint dans les dix dernières années. L’interprétation de cette augmentation d’activité doit être prudente car, l’observation sur une période prolongée montre, en dépit de pics intermittents, une activité stable avec une moyenne de 106 greffes par an et un nombre de nouveaux inscrits équivalent.
En 2016, 28 greffes (21%) sont préemptives alors que 74 malades (48%) avaient été inscrits sur liste d’attente avant la mise en dialyse, proportion qui tend à augmenter, traduisant l’effort des équipes pour offrir un accès précoce à la greffe. Pour les greffes avec donneur vivant, la part de greffes préemptives a été de 32%. Les malades hyperimmunisés définis par un taux de greffons incompatibles supérieur à 85% représentent 10% des greffés et 8% des nouveaux inscrits pédiatriques et 24% des malades restant en attente au 1er janvier 2016 avec une accumulation de ces patients sur la liste. Quatorze malades greffés en 2016 (10%) ont eu une retransplantation.
Comme chez l’adulte, la part des candidats en contre-indication temporaire sur la liste au 1er janvier de chaque année a fortement augmenté dans les 5 dernières années, passant de 18 % en 2008 à un maximum de 43 % en 2011 et 42% en 2016. Compte tenu de cette forte proportion de malades en contre-indication, le degré de la pénurie est mieux apprécié par la prise en compte des malades en attente sur liste « active », hors contre-indication, que par le total des candidats pour un greffon en 2016, avec, au 1er janvier 0,8 receveur pour 1 greffon, soit une absence de pénurie alors qu’on enregistre 2,5 candidats pour 1 greffon si on considère l’ensemble des candidats (nouveaux inscrits et malades restant en attente au 1er janvier qu’ils soient ou non en contre-indication).
Tableau Péd R2. Evolution des indicateurs de pénurie de greffe rénale des malades inscrits avant l'âge de 18 ans
_ |
2011 |
2012 |
2013 |
2014 |
2015 |
2016 |
Nouveaux inscrits pour un greffon |
1,0 |
1,3 |
1,1 |
1,2 |
1,1 |
1,1 |
Receveur en attente au 1er janvier pour un greffon |
1,2 |
1,4 |
1,3 |
1,5 |
1,5 |
1,3 |
Receveurs en attente au 1er janvier hors malade en CIT pour un greffon |
0,7 |
0,8 |
0,9 |
0,9 |
0,9 |
0,8 |
Total candidats pour un greffon |
2,3 |
2,7 |
2,4 |
2,6 |
2,6 |
2,5 |
CIT : contre-indication temporaire
Données extraites de CRISTAL le 02/03/2017
L’évolution de la pénurie est illustrée par :
- le nombre de nouveaux inscrits pour un greffon (1,1 inscrits en 2016 pour un greffon utilisable) ;
- le nombre de receveurs en attente au 1er Janvier de l’année pour un greffon (1,3 receveurs début 2016 pour un greffon rénal utilisable) ;
- le nombre de receveurs en attente au 1er Janvier hors malades en contre-indication pour un greffon (0,8 pour un greffon utilisable) ;
- le nombre total de candidats pour un greffon (2,5 candidats pour un greffon utilisable dans l’année).
Tableau Péd R3. Caractéristiques démographiques des donneurs de rein et des malades inscrits avant l'âge de 18 ans selon leur devenir en liste d'attente de greffe rénale en 2016
Caractéristiques |
Greffons rénaux greffés en 2016* |
Malades en attente au 1er janvier 2016 |
Nouveaux malades inscrits en 2016 |
Malades greffés en 2016 |
||||
n |
% |
n |
% |
n |
% |
n |
% |
|
Age |
||||||||
0-2 ans |
4 |
3,0 |
16 |
9,0 |
17 |
11,1 |
6 |
4,4 |
3-5 ans |
7 |
5,2 |
27 |
15,2 |
17 |
11,1 |
16 |
11,9 |
6-10 ans |
16 |
11,9 |
31 |
17,4 |
38 |
24,8 |
32 |
23,7 |
11-17 ans |
49 |
36,3 |
74 |
41,6 |
81 |
52,9 |
72 |
53,3 |
18-29 ans |
21 |
15,6 |
28 |
15,7 |
0 |
0,0 |
9 |
6,7 |
30 ans et plus |
38 |
28,1 |
2 |
1,1 |
0 |
0,0 |
0 |
0,0 |
(m ± ds, ans) |
22,8 |
14,8 |
12,2 |
6,8 |
10,7 |
5,2 |
12,1 |
5,0 |
Sexe |
||||||||
Masculin |
68 |
50,4 |
103 |
57,9 |
105 |
68,6 |
83 |
61,5 |
Féminin |
67 |
49,6 |
75 |
42,1 |
48 |
31,4 |
52 |
38,5 |
Groupe sanguin |
||||||||
A |
40 |
29,6 |
67 |
37,6 |
53 |
34,6 |
47 |
34,8 |
AB |
3 |
2,2 |
11 |
6,2 |
4 |
2,6 |
7 |
5,2 |
B |
13 |
9,6 |
25 |
14,0 |
26 |
17,0 |
19 |
14,1 |
O |
79 |
58,5 |
75 |
42,1 |
70 |
45,8 |
62 |
45,9 |
Total |
135 |
100,0 |
178 |
100,0 |
153 |
100,0 |
135 |
100,0 |
* greffons issus de donneur vivant inclus
(m ± ds, ans): moyenne ± déviation standard
Données extraites de CRISTAL le 02/03/2017
Tableau Péd R4. Caractéristiques démographiques des malades inscrits avant l'âge de 18 ans selon leur devenir en liste d'attente de greffe rénale en 2016
Caractéristiques |
Malades en attente au 1er janvier 2016 |
Nouveaux malades inscrits en 2016 |
Malades greffés en 2016 |
|||
n |
% |
n |
% |
n |
% |
|
Dialyse* |
||||||
Manquant |
3 |
1,7 |
1 |
0,7 |
0 |
0,0 |
Non |
77 |
43,3 |
74 |
48,4 |
28 |
20,7 |
Oui |
98 |
55,1 |
78 |
51,0 |
107 |
79,3 |
Retransplantation |
||||||
Non |
138 |
77,5 |
137 |
89,5 |
121 |
89,6 |
Oui |
40 |
22,5 |
16 |
10,5 |
14 |
10,4 |
Taux de greffons incompatibles** |
||||||
0% |
63 |
35,4 |
75 |
42,1 |
67 |
37,6 |
1-24% |
18 |
10,1 |
25 |
14,0 |
18 |
10,1 |
25-49% |
22 |
12,4 |
18 |
10,1 |
11 |
6,2 |
50-84% |
32 |
18,0 |
20 |
11,2 |
22 |
12,4 |
85-100% |
43 |
24,2 |
15 |
8,4 |
17 |
9,6 |
Total |
178 |
100,0 |
153 |
100,0 |
135 |
100,0 |
* L'information de dialyse est recalculée pour être celle à l'inscription sauf pour les greffés pour lesquels il s'agit de l'information mise à jour au moment de la greffe. La base de données DIADEM a été utilisée pour contrôler les dates de début de première dialyse pour les dossiers de première greffe.
** le taux de greffons incompatibles est calculé sur la base des spécificités anticorps antiHLA de classe I et II
Données extraites de CRISTAL le 02/03/2017
Tableau Péd R5. Evolution du nombre de nouveaux malades pédiatriques inscrits en attente d'une greffe rénale selon la néphropathie d'origine
|
2011 |
2012 |
2013 |
2014 |
2015 |
2016 |
||||||
N |
% |
N |
% |
N |
% |
N |
% |
N |
% |
N |
% |
|
Glomérulonéphrites chroniques primitives ou secondaires |
21 |
20,2 |
32 |
28,3 |
25 |
19,7 |
16 |
13,4 |
16 |
12,4 |
17 |
11,1 |
Maladies héréditaires |
24 |
23,1 |
15 |
13,3 |
24 |
18,9 |
27 |
22,7 |
24 |
18,6 |
28 |
18,3 |
Malformations congénitales |
25 |
24,0 |
25 |
22,1 |
36 |
28,3 |
33 |
27,7 |
40 |
31,0 |
51 |
33,3 |
Néphropathies tubulo-interstistitielles chroniques |
17 |
16,3 |
22 |
19,5 |
16 |
12,6 |
18 |
15,1 |
19 |
14,7 |
21 |
13,7 |
Néphropathies vasculaires |
4 |
3,8 |
5 |
4,4 |
8 |
6,3 |
4 |
3,4 |
6 |
4,7 |
12 |
7,8 |
Autres |
4 |
3,8 |
6 |
5,3 |
8 |
6,3 |
9 |
7,6 |
13 |
10,1 |
9 |
5,9 |
Inconnue ou indéterminée |
9 |
8,7 |
8 |
7,1 |
10 |
7,9 |
12 |
10,1 |
11 |
8,5 |
15 |
9,8 |
Total |
104 |
100,0 |
113 |
100,0 |
127 |
100,0 |
119 |
100,0 |
129 |
100,0 |
153 |
100,0 |
Données extraites de CRISTAL le 02/03/2017
Les maladies héréditaires et les malformations congénitales représentent ensemble la moitié des maladies rénales primaires observées chez les nouveaux candidats pédiatriques (52%). Cette proportion est stable au fil du temps.
Tableau Péd R6. Evolution du nombre de nouveaux inscrits avant l'âge de 18 ans en attente d'une greffe rénale préemptive
|
2011 |
2012 |
2013 |
2014 |
2015 |
2016 |
||||||
N |
% |
N |
% |
N |
% |
N |
% |
N |
% |
N |
% |
|
Dialyse en cours |
0 |
0,0 |
2 |
1,8 |
0 |
0,0 |
0 |
0,0 |
3 |
2,3 |
1 |
0,7 |
Manquant |
||||||||||||
Non |
49 |
47,1 |
37 |
32,7 |
50 |
39,4 |
61 |
51,3 |
66 |
51,2 |
74 |
48,4 |
Oui |
55 |
52,9 |
74 |
65,5 |
77 |
60,6 |
58 |
48,7 |
60 |
46,5 |
78 |
51,0 |
Total |
104 |
100,0 |
113 |
100,0 |
127 |
100,0 |
119 |
100,0 |
129 |
100,0 |
153 |
100,0 |
* L'information de dialyse est recalculée pour être celle à l'inscription sauf pour les greffés pour lesquels il s'agit de l'information mise à jour au moment de la greffe. La base de données DIADEM a été utilisée pour contrôler les dates de début de première dialyse pour les dossiers de première greffe.
Données extraites de CRISTAL le 02/03/2017
Tableau Péd R7. Evolution des durées moyennes d’ischémie froide en heure (hors donneur vivant, donneur décédé après arrêt circulatoire non contrôlé et greffe combinée)
Année de greffe |
Nombre de greffes |
Durée d'ischémie froide |
Nombre de greffes locales* |
Durée d'ischémie froide parmi les greffes locales* |
||||
NR |
moyenne |
IC |
NR |
moyenne |
IC |
|||
2006 |
93 |
0 |
18,7 |
1,3 |
10 |
0 |
17,5 |
5,5 |
2007 |
83 |
1 |
17,7 |
1,3 |
8 |
0 |
15,1 |
4,6 |
2008 |
94 |
2 |
17,2 |
1,0 |
3 |
0 |
11,7 |
1,5 |
2009 |
101 |
3 |
18,5 |
1,2 |
5 |
0 |
15,9 |
7,1 |
2010 |
86 |
1 |
16,7 |
1,1 |
4 |
0 |
13,5 |
10,5 |
2011 |
86 |
2 |
15,6 |
1,1 |
2 |
0 |
13,9 |
52,4 |
2012 |
69 |
2 |
16,2 |
1,4 |
6 |
0 |
14,0 |
5,8 |
2013 |
92 |
0 |
16,5 |
1,2 |
3 |
0 |
12,3 |
5,5 |
2014 |
71 |
0 |
16,0 |
1,4 |
4 |
0 |
12,2 |
5,4 |
2015 |
84 |
7 |
16,0 |
1,4 |
7 |
0 |
9,4 |
3,0 |
2016 |
100 |
7 |
14,9 |
0,9 |
4 |
0 |
13,0 |
1,5 |
NR: nombre d'ischémie froide non renseignée dans Cristal
IC: moitié de la largeur de l'intervalle de confiance de la moyenne à 95% exprimée en heure
*Les greffes locales sont les greffes dont le mode d'attribution correspond à un échelon local de la répartition.
Données extraites de CRISTAL le 02/03/2017
Alors qu’un score national d’attribution des greffons pédiatriques a été mis en place en juillet 2010, on observe une tendance à la diminution de la durée d’ischémie froide avec dans les dix dernières années un maximum de 18,7 h en 2006 et un minimum de 14,9 h en 2016. En 2016, la moyenne nationale (adulte et sujets pédiatriques) est de 16,6 h. Il n’y a donc pas d’impact sur la durée d’ischémie des déplacements plus importants des greffons sur le territoire suite à la mise en place du score.
Cinétique de la liste d’attente
L’accès à la greffe est évalué par le taux d’incidence cumulée qui mesure la probabilité d’accès à la greffe en fonction de la durée d’attente sur liste et en tenant compte des risques concurrents (décès et sortie de liste pour aggravation). La médiane d’attente qui est la durée d’attente pour laquelle la moitié des candidats ont accédé à la greffe est également indiquée pour les différentes catégories de patients.
Pour les malades pédiatriques inscrits entre 2012 et 2016, la probabilité d’être greffé est de 51% à 1 an et 78% à 2 ans avec une diminution au fil du temps si on compare aux cohortes précédentes : 2000-2003 75%, 2004-2007 74%, 2008-2011 65% à 1 an. Cependant, grâce à la forte priorité qui leur est accordée, les receveurs pédiatriques ont un accès à la greffe meilleur et plus rapide que les receveurs adultes qui, sur la dernière période ont une probabilité d’être greffés de 24% à 1 an et 41 % à 2 ans. La diminution de ce taux d’accès pour la cohorte pédiatrique la plus récente et pour les plus jeunes enfants s’explique principalement par l’augmentation de la part des malades en contre-indication au 1er janvier qui passe de 18 à 43% entre 2008 et 2011 et se maintient à ce niveau depuis . Ces contre-indications concernent plus particulièrement les enfants de moins de 3 ans dialysés mais de trop petit poids pour être greffés.
Si on observe uniquement la liste « active » et l’accès à la greffe hors temps passé en contre-indication, il existe des différences d’accès selon les caractéristiques des patients. L’accès à la greffe des patients de groupes B et à un moindre degré celui des patients de groupe O est moins bon avec des médianes d’attente pour les groupes A, AB, B et O respectivement de 6,5 mois, 6 mois, 8,6 mois et 7,5 mois. La différence selon les groupes sanguins est beaucoup moins marquée que chez les adultes car la priorité pédiatrique permet des greffes en groupes compatibles à partir de greffons rénaux pédiatriques en l’absence de receveur isogroupe un jour donné. Les plus jeunes enfants de 0 à 2 ans et 3 à 5 ans ont des médianes d’attente hors temps de contre-indication de 11 et 9,9 mois alors que pour les grands enfants de 6 à 10 ans et 11 à 17 ans ces médianes sont de 7,1 et 6,3 mois. Mais la principale difficulté d’accès à la greffe en pédiatrie est l’existence d’une hyperimmunisation (définie par un taux de greffons incompatibles supérieur à 85%) avec seulement 32% et 53% de taux de greffes à 1 an et à 2 ans soit une médiane d’attente hors temps en contre-indication de 22,3 mois.
Figure Péd R1. Taux d'incidence cumulée de greffe et de décès ou aggravation sur la liste d'attente de greffe rénale des malades pédiatriques selon la période d'inscription (1996-2016)
|
Incidence cumulée des greffes avec prise en compte du risque concurrent de décès en attente ou sorties pour aggravation |
Incidence cumulée des décès en attente ou sorties pour aggravation avec prise en compte du risque concurrent de greffe |
|||||||||
Période d'inscription |
N |
à 3 mois |
à 6 mois |
à 12 mois |
à 24 mois |
à 36 mois |
à 3 mois |
à 6 mois |
à 12 mois |
à 24 mois |
à 36 mois |
1996-1999 |
416 |
39 [34-44] |
53 [48-58] |
69 [64-73] |
81 [77-85] |
89 [85-92] |
1 [0-2] |
1 [0-2] |
1 [1-3] |
2 [1-3] |
2 [1-4] |
2000-2003 |
386 |
41 [36-46] |
59 [53-63] |
75 [70-79] |
88 [84-90] |
92 [88-94] |
0 [0-1] |
1 [0-2] |
1 [0-2] |
1 [0-2] |
NC |
2004-2007 |
395 |
35 [30-40] |
55 [50-60] |
74 [69-78] |
88 [84-91] |
93 [90-95] |
0 [0-1] |
0 [0-1] |
1 [0-2] |
1 [0-3] |
NC |
2008-2011 |
327 |
28 [23-33] |
45 [39-50] |
65 [59-70] |
82 [77-86] |
88 [84-91] |
0 [0-2] |
1 [0-2] |
2 [1-3] |
2 [1-4] |
3 [1-5] |
2012-2016 |
640 |
13 [11-16] |
28 [25-32] |
51 [47-55] |
78 [74-82] |
87 [83-90] |
0 [0-1] |
1 [0-2] |
1 [0-2] |
NC |
NC |
NC=Non calculable / IC : Intervalle de confiance
Données extraites de CRISTAL le 02/03/2016
Tableau Péd R8. Incidence cumulée des greffes avec prise en compte du risque concurrent de décès en attente ou sorties pour aggravation selon les caractéristiques des malades inscrits à partir du 1er janvier 2011 sur la liste d'attente d'une greffe rénale
(Exclusion des malades en attente de greffe à partir de donneurs vivants et des greffes combinées rein plus un organe vital)
|
Incidence cumulée des greffes avec prise en compte du risque concurrent de décès en attente ou sorties pour aggravation |
|
|||||||
N |
à 3 mois |
à 6 mois |
à 12 mois |
à 24 mois |
à 36 mois |
Médiane (mois) |
P value |
||
Global |
|
640 |
13 [11-16] |
28 [25-32] |
51 [47-55] |
78 [74-82] |
87 [83-90] |
11,6 |
|
Global hors temps cumulé en CIT* |
|
640 |
24 [21-28] |
43 [38-47] |
68 [64-72] |
88 [84-91] |
94 [91-96] |
7,1 |
|
Groupe sanguin |
A |
279 |
17 [13-21] |
29 [23-34] |
53 [47-59] |
78 [72-83] |
88 [83-92] |
11,2 |
0,36 |
|
AB |
31 |
6 [1-19] |
29 [14-46] |
57 [37-73] |
78 [55-90] |
85 [54-96] |
11,2 |
|
|
B |
71 |
5 [1-12] |
23 [13-34] |
46 [33-59] |
67 [51-78] |
81 [64-91] |
16,3 |
|
|
O |
259 |
13 [9-17] |
29 [23-35] |
49 [42-55] |
81 [74-86] |
86 [80-91] |
12,8 |
|
Taux de greffons incompatibles*** |
0 % |
350 |
18 [14-23] |
37 [32-42] |
63 [57-68] |
88 [83-91] |
94 [90-97] |
8,3 |
<0,001 |
|
1-24 % |
75 |
12 [6-21] |
24 [15-35] |
42 [30-54] |
80 [66-88] |
NC |
13,2 |
|
|
25-49 % |
59 |
7 [2-15] |
24 [13-36] |
47 [32-60] |
65 [47-79] |
70 [50-83] |
13,8 |
|
|
50-84 % |
91 |
6 [2-12] |
17 [10-26] |
36 [26-47] |
76 [63-84] |
87 [74-94] |
15,4 |
|
|
85-100 % |
65 |
3 [1-10] |
5 [1-12] |
21 [12-33] |
38 [25-51] |
51 [35-64] |
34,2 |
|
Age à l'inscription |
0-2 ans |
81 |
2 [0-8] |
9 [4-17] |
29 [18-40] |
59 [44-71] |
74 [58-85] |
20,6 |
<0,001 |
|
3-5 ans |
81 |
4 [1-10] |
22 [13-32] |
39 [27-51] |
73 [59-83] |
86 [71-94] |
15,9 |
|
|
6-10 ans |
118 |
13 [7-19] |
30 [21-38] |
58 [47-67] |
86 [76-92] |
96 [83-99] |
9,8 |
|
|
11-17 ans |
360 |
18 [14-22] |
33 [28-38] |
56 [51-62] |
81 [75-85] |
87 [82-91] |
10,1 |
|
Age à l'inscription |
Inscrits adultes |
24524 |
5 [5-6] |
12 [12-13] |
24 [23-24] |
41 [41-42] |
54 [53-54] |
32,1 |
<0,001 |
|
Inscrits pédiatriques |
640 |
13 [11-16] |
28 [25-32] |
51 [47-55] |
78 [74-82] |
87 [83-90] |
11,6 |
|
NC=Non calculable, IC=Intervalle de confiance
* CIT : contre-indication temporaire
** un malade immunisé est défini par l'existence d'au moins une spécificité HLA de classe I ou II saisie dans les antigènes interdits
*** le taux de greffons incompatibles est calculé sur la base des spécificités anticorps anti-HLA de classe I et II.
Données extraites de CRISTAL le 02/03/2017
Tableau Péd R9. Incidence cumulée des greffes avec prise en compte du risque concurrent de décès en attente ou sorties pour aggravation
selon les caractéristiques des malades inscrits à partir du 1er janvier 2011 sur la liste d'attente d'une greffe rénale
(Exclusion des malades en attente de greffe à partir de donneurs vivants et des greffes combinées rein plus un organe vital)
|
Incidence cumulée des greffes avec prise en compte du risque concurrent de décès en attente ou sorties pour aggravation |
|
|||||||
N |
à 3 mois |
à 6 mois |
à 12 mois |
à 24 mois |
à 36 mois |
Médiane (mois) |
P value |
||
Global hors temps cumulé en CIT* |
|
640 |
24 [21-28] |
43 [38-47] |
68 [64-72] |
88 [84-91] |
94 [91-96] |
7,1 |
|
Groupe sanguin |
A |
279 |
29 [23-35] |
45 [39-52] |
70 [64-76] |
89 [84-93] |
96 [91-98] |
6,5 |
0,14 |
hors temps cumulé en CIT |
AB |
31 |
23 [10-39] |
51 [31-68] |
78 [54-90] |
87 [61-96] |
87 [61-96] |
6,0 |
|
|
B |
71 |
17 [9-28] |
36 [23-48] |
57 [42-69] |
74 [58-84] |
86 [66-95] |
8,6 |
|
|
O |
259 |
21 [16-27] |
40 [34-47] |
67 [60-73] |
90 [84-94] |
94 [88-97] |
7,5 |
|
Taux de greffons incompatibles*** |
0 % |
350 |
30 [25-35] |
52 [46-57] |
75 [70-80] |
96 [92-98] |
NC |
6,0 |
<0,001 |
hors temps cumulé en CIT |
1-24 % |
75 |
26 [16-37] |
38 [26-51] |
76 [61-85] |
89 [74-95] |
NC |
8,1 |
|
|
25-49 % |
59 |
19 [10-31] |
43 [28-56] |
69 [50-82] |
82 [60-93] |
91 [42-99] |
7,1 |
|
|
50-84 % |
91 |
16 [9-24] |
32 [22-42] |
58 [46-69] |
84 [71-92] |
94 [81-98] |
9,4 |
|
|
85-100 % |
65 |
5 [1-14] |
13 [6-24] |
32 [19-45] |
53 [37-66] |
62 [45-76] |
22,3 |
|
Age à l'inscription |
0-2 ans |
81 |
9 [4-17] |
23 [14-34] |
50 [36-63] |
70 [54-81] |
87 [70-95] |
11,0 |
0,002 |
hors temps cumulé en CIT |
3-5 ans |
81 |
19 [11-29] |
38 [26-50] |
64 [50-76] |
89 [75-96] |
95 [80-99] |
9,9 |
|
|
6-10 ans |
118 |
21 [14-29] |
39 [29-49] |
71 [59-79] |
93 [84-97] |
98 [81-100] |
7,1 |
|
|
11-17 ans |
360 |
30 [25-35] |
49 [43-55] |
72 [66-77] |
90 [85-93] |
93 [89-96] |
6,3 |
|
Age à l'inscription |
Inscrits adultes |
24524 |
13 [13-14] |
23 [22-24] |
37 [37-38] |
55 [54-56] |
67 [66-68] |
19,8 |
<0,001 |
hors temps cumulé en CIT |
Inscrits pédiatriques |
640 |
24 [21-28] |
43 [38-47] |
68 [64-72] |
88 [84-91] |
94 [91-96] |
7,1 |
|
NC=Non calculable, IC=Intervalle de confiance
* CIT : contre-indication temporaire
** un malade immunisé est défini par l'existence d'au moins une spécificité HLA de classe I ou II saisie dans les antigènes interdits
*** le taux de greffons incompatibles est calculé sur la base des spécificités anticorps anti-HLA de classe I et II.
Données extraites de CRISTAL le 02/03/2017
Prélèvement en vue de greffe
Malgré des fluctuations du nombre de donneurs pédiatriques prélevés d’une année sur l’autre, l’analyse sur une longue période révèle une diminution progressive du nombre de donneurs de moins de 18 ans. Après 5 années de baisse de l’activité et avec 51 donneurs pédiatriques prélevés en 2015, chiffre le plus bas observé depuis 10 ans, on enregistre en 2016 une amélioration avec 64 donneurs prélevés. La part des donneurs pédiatriques de11% en 1996 est passée à 4% en 2016. Les donneurs de 11 à 17 ans offrent la majorité des greffons pédiatriques depuis 1996 (63% en 2016 et les moins de 6 ans 24%). Cette répartition s’explique par le peu de donneurs de moins de 10 ans joint aux refus fréquents des greffons rénaux de donneurs de moins de 2 ans par les équipes, en raison du risque plus élevé de thrombose.
Tableau Péd R10. Evolution du nombre de donneurs décédés de mort encéphalique et prélevés d'un rein en France selon l'âge du donneur
Année de prélèvement |
Donneurs pédiatriques (<18 ans) |
Donneurs adultes |
1996 |
95 |
759 |
1997 |
101 |
760 |
1998 |
95 |
877 |
1999 |
86 |
856 |
2000 |
70 |
921 |
2001 |
70 |
973 |
2002 |
78 |
1071 |
2003 |
69 |
1016 |
2004 |
67 |
1182 |
2005 |
41 |
1278 |
2006 |
55 |
1338 |
2007 |
84 |
1419 |
2008 |
53 |
1454 |
2009 |
51 |
1373 |
2010 |
59 |
1355 |
2011 |
65 |
1418 |
2012 |
59 |
1420 |
2013 |
53 |
1451 |
2014 |
50 |
1483 |
2015 |
51 |
1574 |
2016 |
64 |
1576 |
Données extraites de CRISTAL le 02/03/2017
Tableau Péd R11. Evolution du nombre de greffons rénaux pédiatriques prélevés en France et greffés selon l'âge du donneur (restriction aux donneurs décédés de mort encéphalique)
|
0-2 ans |
3-5 ans |
6-10 ans |
11-17 ans |
1996 |
10 |
10 |
38 |
128 |
1997 |
7 |
9 |
29 |
142 |
1998 |
8 |
15 |
25 |
123 |
1999 |
7 |
11 |
26 |
112 |
2000 |
6 |
4 |
18 |
98 |
2001 |
8 |
16 |
10 |
97 |
2002 |
5 |
11 |
21 |
110 |
2003 |
4 |
11 |
20 |
98 |
2004 |
5 |
9 |
20 |
95 |
2005 |
10 |
4 |
10 |
54 |
2006 |
4 |
4 |
14 |
86 |
2007 |
3 |
15 |
15 |
124 |
2008 |
7 |
14 |
12 |
66 |
2009 |
7 |
13 |
6 |
69 |
2010 |
6 |
12 |
20 |
73 |
2011 |
10 |
8 |
18 |
84 |
2012 |
9 |
13 |
16 |
67 |
2013 |
11 |
4 |
26 |
55 |
2014 |
5 |
7 |
10 |
70 |
2015 |
12 |
8 |
10 |
63 |
2016 |
16 |
10 |
16 |
71 |
Note : les reins prélevés pour une greffe en bloc ont compté pour un greffon et non pour deux greffons
Données extraites de CRISTAL le 02/03/2017
Tableau Péd R12. Age des greffons prélevés sur donneurs décédés de mort encéphalique et greffés en France en 2016 selon l'âge du receveur
Age du donneur |
Age du receveur |
Total |
||||||
0-2 ans |
3-5 ans |
6-10 ans |
11-17 ans |
18-29 ans |
30-59 ans |
60 ans et plus |
||
0-2 ans |
0 |
0 |
1 |
3 |
4 |
0 |
0 |
8 |
3-5 ans |
1 |
1 |
3 |
1 |
1 |
0 |
0 |
7 |
6-10 ans |
1 |
4 |
6 |
5 |
0 |
0 |
0 |
16 |
11-17 ans |
1 |
6 |
9 |
33 |
10 |
12 |
0 |
71 |
18-29 ans |
2 |
1 |
7 |
9 |
121 |
129 |
6 |
275 |
30-59 ans |
0 |
0 |
1 |
3 |
67 |
1112 |
119 |
1302 |
60 ans et plus |
0 |
0 |
0 |
0 |
4 |
292 |
917 |
1213 |
Total |
5 |
12 |
27 |
54 |
207 |
1545 |
1042 |
2892 |
Données extraites de CRISTAL le 02/03/2017
Remarque : ce tableau ne contient pas les greffes greffons des donneurs prélevés en France et greffe greffés à l’étranger. Pour avoir le détail de ces flux de greffons, il faut se rapporter au chapitre prélèvement d’organe en vue de greffe.
Le tableau ci-dessus permet de rendre compte de l’appariement de l’âge entre donneur et receveur. Ainsi sur les 102 reins provenant de donneurs de moins de 18 ans en France en 2016, 3 (3%) ont été greffés à des receveurs de moins de 2 ans, 11 (11%) à des receveurs de 3 à 5 ans, 19 (19%) à des receveurs de 6 à 10 ans et 42 (41%) à des receveurs de 11 à 17 ans. Les 27 (26%) reins restant ont été greffés pour 15 d’entre eux à des receveurs adultes de moins de 30 ans et les 12 autres à des receveurs de 30 à 59 ans.
En 2016, 77% des greffons attribués aux receveurs de moins de 18 ans provenaient de donneurs pédiatriques.
Tableau Péd R13. Evolution du nombre de greffons attribués aux receveurs pédiatriques selon l'âge du donneur (restriction aux donneurs décédés de mort encéphalique)
|
2007 |
2008 |
2009 |
2010 |
2011 |
2012 |
2013 |
2014 |
2015 |
2016 |
||||||||||
N |
% |
N |
% |
N |
% |
N |
% |
N |
% |
N |
% |
N |
% |
N |
% |
N |
% |
N |
% |
|
0-15 ans |
53 |
62,4 |
45 |
46,9 |
51 |
48,6 |
54 |
60,7 |
64 |
71,1 |
38 |
51,4 |
48 |
51,1 |
35 |
48,6 |
42 |
45,7 |
58 |
55,2 |
16-17 ans |
5 |
5,9 |
22 |
22,9 |
29 |
27,6 |
18 |
20,2 |
12 |
13,3 |
18 |
24,3 |
23 |
24,5 |
24 |
33,3 |
22 |
23,9 |
18 |
17,1 |
18-29 ans |
20 |
23,5 |
24 |
25,0 |
18 |
17,1 |
10 |
11,2 |
11 |
12,2 |
13 |
17,6 |
18 |
19,1 |
9 |
12,5 |
20 |
21,7 |
21 |
20,0 |
30-44 ans |
4 |
4,7 |
1 |
1,0 |
4 |
3,8 |
3 |
3,4 |
2 |
2,2 |
3 |
4,1 |
3 |
3,2 |
1 |
1,4 |
2 |
2,2 |
3 |
2,9 |
44 ans et plus |
3 |
3,5 |
4 |
4,2 |
3 |
2,9 |
4 |
4,5 |
1 |
1,1 |
2 |
2,7 |
2 |
2,1 |
3 |
4,2 |
6 |
6,5 |
5 |
4,8 |
Total |
85 |
100,0 |
96 |
100,0 |
105 |
100,0 |
89 |
100,0 |
90 |
100,0 |
74 |
100,0 |
94 |
100,0 |
72 |
100,0 |
92 |
100,0 |
105 |
100,0 |
Données extraites de CRISTAL le 02/03/2017
La restriction, en 2007, de la priorité interrégionale pédiatrique sur les donneurs de 18 à 29 ans, à un seul des deux reins (un rein est systématiquement alloué au score d’attribution des greffons de donneur adulte au niveau local), explique la diminution du nombre de donneurs de cette tranche d’âge attribués aux receveurs pédiatriques. En revanche, l’extension en 2008 de la priorité pédiatrique aux receveurs de moins de 18 ans (contre moins de 16 ans avant cette date) a augmenté le nombre de greffons provenant de donneurs de 16 à 17 ans.
Tableau Péd R14. Evolution du nombre de donneurs attribués aux receveurs pédiatriques selon le ratio poids du donneur sur poids du receveur (restriction aux donneurs décédés de mort encéphalique)
|
2007 |
2008 |
2009 |
2010 |
2011 |
2012 |
2013 |
2014 |
2015 |
2016 |
||||||||||
N |
% |
N |
% |
N |
% |
N |
% |
N |
% |
N |
% |
N |
% |
N |
% |
N |
% |
N |
% |
|
<0,5 |
1 |
1,2 |
8 |
8,3 |
6 |
5,7 |
4 |
4,5 |
3 |
3,3 |
2 |
2,7 |
6 |
6,4 |
2 |
2,8 |
7 |
7,6 |
5 |
4,8 |
0,5-3 |
57 |
67,1 |
69 |
71,9 |
76 |
72,4 |
69 |
77,5 |
75 |
83,3 |
65 |
87,8 |
70 |
74,5 |
56 |
77,8 |
67 |
72,8 |
79 |
75,2 |
>3 |
21 |
24,7 |
12 |
12,5 |
22 |
21,0 |
15 |
16,9 |
11 |
12,2 |
7 |
9,5 |
18 |
19,1 |
14 |
19,4 |
18 |
19,6 |
20 |
19,0 |
manquant |
6 |
7,1 |
7 |
7,3 |
1 |
1,0 |
1 |
1,1 |
1 |
1,1 |
0 |
0,0 |
0 |
0,0 |
0 |
0,0 |
0 |
0,0 |
1 |
1,0 |
Total |
85 |
100,0 |
96 |
100,0 |
105 |
100,0 |
89 |
100,0 |
90 |
100,0 |
74 |
100,0 |
94 |
100,0 |
72 |
100,0 |
92 |
100,0 |
105 |
100,0 |
Données extraites de CRISTAL le 02/03/2017
Malgré des fluctuations d’une année à l’autre, la grande majorité des receveurs pédiatriques ont un ratio poids du donneur sur poids du receveur compris entre 0,5 et 3, mais selon les années 1 à 8% des enfants reçoivent des reins de donneurs plus petits (ratio <0,5) et 10 à 25 % des reins de donneurs dont le poids est plus de 3 fois supérieur au leur.
Tableau Péd R15. Evolution depuis 2006 du nombre de greffes rénales pédiatriques avec donneurs vivants selon la relation entre le donneur et le receveur (restriction aux receveurs de moins de 18 ans à la greffe)
|
Année de greffe |
||||||||||
2006 |
2007 |
2008 |
2009 |
2010 |
2011 |
2012 |
2013 |
2014 |
2015 |
2016 |
|
N |
N |
N |
N |
N |
N |
N |
N |
N |
N |
N |
|
Donneur ascendant direct (père, mère) |
14 |
15 |
7 |
13 |
14 |
9 |
11 |
16 |
24 |
20 |
26 |
Donneur collatéral direct (frère, sœur) |
0 |
0 |
0 |
1 |
1 |
0 |
0 |
1 |
1 |
0 |
0 |
Donneur ascendant indirect (grand-père, grand-mère) |
0 |
0 |
0 |
0 |
0 |
0 |
1 |
0 |
1 |
0 |
0 |
Donneur collatéral indirect (cousin germain, oncle, tante) |
0 |
0 |
0 |
0 |
1 |
0 |
0 |
0 |
0 |
0 |
1 |
Données extraites de CRISTAL le 02/03/2017
Tableau Péd R16. Evolution de l'âge des donneurs vivants et de l’âge de leur receveur depuis 2004 (donneurs de résidus opératoires et dominos exclus et restriction aux receveurs de moins de 18 ans à la greffe)
2006 |
2007 |
2008 |
2009 |
2010 |
2011 |
2012 |
2013 |
2014 |
2015 |
2016 |
|
Âge du donneur |
|
|
|
|
|
|
|
|
|
|
|
N |
14 |
15 |
7 |
14 |
16 |
9 |
12 |
17 |
26 |
20 |
27 |
Moyenne |
45,5 |
42,3 |
39 |
38,9 |
43,6 |
46,5 |
43,6 |
41,8 |
43,5 |
42 |
42,7 |
Ecart-type |
7,9 |
5,3 |
5,9 |
8,3 |
8 |
11,2 |
8,7 |
6,6 |
6,4 |
5,5 |
4,9 |
Minimum |
27,4 |
29,9 |
31,8 |
25,3 |
28,4 |
32,2 |
27 |
30,5 |
30,1 |
31,2 |
30,8 |
Maximum |
56,6 |
50,3 |
48,1 |
51,1 |
53,3 |
71,9 |
57,9 |
54,8 |
54,9 |
50,9 |
51 |
Âge du receveur |
|
|
|
|
|
|
|
|
|
|
|
N |
14 |
15 |
7 |
14 |
16 |
9 |
12 |
17 |
26 |
20 |
27 |
Moyenne |
14,8 |
12,6 |
8 |
11,3 |
13,4 |
11,3 |
11,8 |
13,3 |
12,8 |
11,3 |
12 |
Ecart-type |
4,2 |
4,5 |
4,6 |
4,4 |
3,3 |
5,8 |
5,5 |
4 |
4 |
4,1 |
4,1 |
Minimum |
1,5 |
2,5 |
1,8 |
3,2 |
6,4 |
2,1 |
1,9 |
4,8 |
4,8 |
1,9 |
4,5 |
Maximum |
17,9 |
17,9 |
14,3 |
17,5 |
17,4 |
17,9 |
17,6 |
17,4 |
17,9 |
16,8 |
17,6 |
Données extraites de CRISTAL le 02/03/2017
Activité de greffe
En 2016, 135 malades inscrits avant l’âge de 18 ans ont bénéficié d’une greffe rénale. Neuf (7%) avaient plus de 18 ans au moment de la greffe. L’activité de greffe rénale pédiatrique reste globalement stable avec un nombre annuel de greffes oscillant depuis 1996 entre 80 et 112 chez les receveurs de moins de 18 ans au moment de la greffe. Mais en 2016, l’activité augmente de près de 30% par rapport aux 3 dernières années et enregistre le plus grand nombre de greffes depuis 20 ans.
Parmi les 135 malades inscrits en attente avant l'âge de 18 ans greffés en 2016, 30 (22%) ont reçu un greffon de donneur vivant. La progression de ce type de greffe reste modeste avec un taux moyen de 15% sur les 10 dernières années avec un pic à 29 % en 2014. Sur l’ensemble des greffes pédiatriques réalisées en 2016, 28 (21%) étaient préemptives avec des fluctuations entre 16 et 29% pour la part de ces greffes. En 2016, 125 greffes de receveurs de moins 18 ans au moment de la greffe ont été effectuées dans une des 14 équipes avec une autorisation de greffes pédiatriques (dont 9 exclusivement pédiatriques) tandis que 8, concernant des receveurs de plus de 18 ans, ont été réparties dans 6 centres de greffe d’adultes. Dans les dix dernières années, la moitié des greffes pédiatriques ont été réalisées dans 4 centres (62% en 2016), tandis que certaines équipes réalisent moins de 5 greffes par an.
Tableau Péd R17. Evolution de l'activité de greffe rénale des malades inscrits en attente avant l'âge de 18 ans selon l'âge à la greffe et le type de donneur
Année de la greffe |
Age à la greffe |
Type de donneur |
||
0-17 ans au moment de la greffe |
18 ans et plus au moment de la greffe |
Donneur décédé |
Donneur vivant |
|
1996 |
112 |
16 |
113 |
15 |
1997 |
90 |
16 |
93 |
13 |
1998 |
93 |
16 |
92 |
17 |
1999 |
93 |
11 |
92 |
12 |
2000 |
103 |
19 |
107 |
15 |
2001 |
107 |
13 |
104 |
16 |
2002 |
80 |
23 |
95 |
8 |
2003 |
91 |
14 |
96 |
9 |
2004 |
96 |
17 |
92 |
21 |
2005 |
88 |
16 |
94 |
10 |
2006 |
92 |
18 |
96 |
14 |
2007 |
88 |
12 |
85 |
15 |
2008 |
90 |
15 |
96 |
9 |
2009 |
110 |
12 |
105 |
17 |
2010 |
95 |
14 |
89 |
20 |
2011 |
94 |
6 |
90 |
10 |
2012 |
75 |
14 |
74 |
15 |
2013 |
103 |
9 |
94 |
18 |
2014 |
90 |
12 |
72 |
30 |
2015 |
97 |
17 |
92 |
22 |
2016 |
126 |
9 |
105 |
30 |
Données extraites de CRISTAL le 02/03/2017
Tableau Péd R18. Evolution du nombre des malades inscrits avant l'âge de 18 ans et greffés d'un rein selon la néphropathie d'origine
|
2011 |
2012 |
2013 |
2014 |
2015 |
2016 |
||||||
N |
% |
N |
% |
N |
% |
N |
% |
N |
% |
N |
% |
|
Glomérulonéphrites chroniques primitives ou secondaires |
18 |
18,0 |
24 |
27,0 |
33 |
29,5 |
21 |
20,6 |
19 |
16,7 |
15 |
11,1 |
Maladies héréditaires |
11 |
11,0 |
16 |
18,0 |
14 |
12,5 |
23 |
22,5 |
22 |
19,3 |
30 |
22,2 |
Malformations congénitales |
28 |
28,0 |
23 |
25,8 |
30 |
26,8 |
21 |
20,6 |
36 |
31,6 |
39 |
28,9 |
Néphropathies tubulo-interstistitielles chroniques |
19 |
19,0 |
13 |
14,6 |
20 |
17,9 |
12 |
11,8 |
14 |
12,3 |
23 |
17,0 |
Néphropathies vasculaires |
3 |
3,0 |
3 |
3,4 |
4 |
3,6 |
5 |
4,9 |
4 |
3,5 |
7 |
5,2 |
Autres |
6 |
6,0 |
5 |
5,6 |
5 |
4,5 |
7 |
6,9 |
11 |
9,6 |
8 |
5,9 |
Inconnue ou indéterminée |
15 |
15,0 |
5 |
5,6 |
6 |
5,4 |
13 |
12,7 |
8 |
7,0 |
13 |
9,6 |
Total |
100 |
100,0 |
89 |
100,0 |
112 |
100,0 |
102 |
100,0 |
114 |
100,0 |
135 |
100,0 |
Données extraites de CRISTAL le 02/03/2017
Tableau Péd R19. Evolution du nombre de greffes rénales préemptives (exclusion des retransplantations)
|
2011 |
2012 |
2013 |
2014 |
2015 |
2016 |
|||||||
N |
% |
N |
% |
N |
% |
N |
% |
N |
% |
N |
% |
||
Type de donneur |
Dialyse avant la greffe |
22 |
23,4 |
9 |
11,3 |
18 |
17,6 |
10 |
11,2 |
15 |
14,4 |
16 |
13,2 |
Décédé en mort encéphalique |
Non |
||||||||||||
Oui |
62 |
66,0 |
59 |
73,8 |
67 |
65,7 |
56 |
62,9 |
67 |
64,4 |
77 |
63,6 |
|
Vivant |
Non |
5 |
5,3 |
4 |
5,0 |
9 |
8,8 |
6 |
6,7 |
14 |
13,5 |
9 |
7,4 |
Oui |
5 |
5,3 |
8 |
10,0 |
8 |
7,8 |
17 |
19,1 |
8 |
7,7 |
19 |
15,7 |
|
Dialyse avant la greffe |
27 |
28,7 |
13 |
16,3 |
27 |
26,5 |
16 |
18,0 |
29 |
27,9 |
25 |
20,7 |
|
Non |
|||||||||||||
Oui |
67 |
71,3 |
67 |
83,8 |
75 |
73,5 |
73 |
82,0 |
75 |
72,1 |
96 |
79,3 |
|
Total |
94 |
100,0 |
80 |
100,0 |
102 |
100,0 |
89 |
100,0 |
104 |
100,0 |
121 |
100,0 |
|
La base de données DIADEM a été utilisée pour contrôler les dates de début de première dialyse pour les dossiers de première greffe.
Données extraites de CRISTAL le 01/03/2017
Tableau Péd R20. Caractéristiques des greffes à partir des donneurs décédés en mort encéphalique en 2016 selon la compatibilité HLA
|
Incompatibilité HLA A, B, DR et DQ |
Incompatibilité HLA DR et DQ |
||||||||||||||
1-3 |
4-6 |
7-8 |
Manquant |
0 |
1-2 |
3-4 |
Manquant |
|||||||||
N |
% |
N |
% |
N |
% |
N |
% |
N |
% |
N |
% |
N |
% |
N |
% |
|
Nombre de greffes |
28 |
26,7 |
72 |
68,6 |
5 |
4,8 |
0 |
0,0 |
16 |
15,2 |
66 |
62,9 |
23 |
21,9 |
0 |
0,0 |
NC: non calculable si plus de 20% de données non renseignées
Données extraites de CRISTAL le 02/03/2017
Tableau Péd R21. Nombre de greffes rénales effectuées en 2016 par équipe chez des malades âgés de moins de 18 ans au moment de l'inscription
Caractéristiques |
Total greffes |
Receveurs âgés de moins de 18 ans au moment de la greffe |
Receveurs âgés de plus de 18 ans au moment de la greffe |
||
Donneur décédé |
Donneur vivant |
Donneur décédé |
Donneur vivant |
||
Bordeaux (A+P) |
1 |
1 |
0 |
0 |
0 |
La Réunion (A+P) |
3 |
3 |
0 |
0 |
0 |
Le Kremlin Bicêtre (AP-HP) (A) |
1 |
1 |
0 |
0 |
0 |
Lille C. Huriez (A) |
1 |
0 |
0 |
1 |
0 |
Lille Jeanne de Flandre (P) |
7 |
7 |
0 |
0 |
0 |
Lyon (HCL) (A) |
1 |
0 |
0 |
1 |
0 |
Lyon HFME (P) |
24 |
23 |
1 |
0 |
0 |
Marseille Conception (APM) (A) |
1 |
0 |
0 |
1 |
0 |
Marseille La Timone enfant (P) |
7 |
5 |
2 |
0 |
0 |
Montpellier A. de Villeneuve (P) |
5 |
2 |
2 |
0 |
1 |
Nancy (P) |
4 |
2 |
2 |
0 |
0 |
Nantes (A+P) |
14 |
10 |
4 |
0 |
0 |
Nice (A+P) |
1 |
0 |
1 |
0 |
0 |
Paris Necker (AP-HP) (A) |
3 |
0 |
0 |
2 |
1 |
Paris Necker-Enfants Malades (AP-HP) (P) |
18 |
14 |
4 |
0 |
0 |
Paris Robert Debré (AP-HP) (P) |
28 |
19 |
9 |
0 |
0 |
Paris Saint-Louis (AP-HP) (A) |
2 |
0 |
0 |
1 |
1 |
Strasbourg Hôpital Civil (A+P) |
3 |
3 |
0 |
0 |
0 |
Toulouse Purpan (P) |
7 |
7 |
0 |
0 |
0 |
Tours Clocheville (P) |
4 |
2 |
2 |
0 |
0 |
Données extraites de CRISTAL le 02/03/2017
Tableau Péd R22. Evolution du nombre de greffes rénales combinées pédiatriques
|
2007 |
2008 |
2009 |
2010 |
2011 |
2012 |
2013 |
2014 |
2015 |
2016 |
Coeur-Rein |
0 |
0 |
0 |
0 |
1 |
2 |
1 |
0 |
1 |
0 |
Foie-Rein |
2 |
2 |
4 |
2 |
2 |
1 |
1 |
1 |
7 |
5 |
Multiviscérale |
0 |
0 |
0 |
1 |
1 |
1 |
0 |
0 |
0 |
0 |
Pancréas-Rein |
0 |
0 |
0 |
0 |
0 |
1 |
0 |
0 |
0 |
0 |
Les greffes multiviscérales sont des greffes en bloc de 2 ou 3 organes viscéraux (foie-intestin-pancréas, rein-intestin-pancréas, ou intestin-pancréas).
Données extraites de CRISTAL le 02/03/2017
Tableau Péd R23. Evolution du nombre de greffes rénales par équipe chez des malades inscrits avant l'âge de 18 ans
|
2007 |
2008 |
2009 |
2010 |
2011 |
2012 |
2013 |
2014 |
2015 |
2016 |
Amiens (A) |
1 |
1 |
0 |
1 |
0 |
0 |
0 |
0 |
1 |
0 |
Angers (A) |
0 |
1 |
0 |
2 |
0 |
0 |
1 |
2 |
0 |
0 |
Besançon (A) |
1 |
1 |
0 |
1 |
0 |
0 |
0 |
0 |
1 |
0 |
Bordeaux (A+P) |
6 |
6 |
0 |
6 |
3 |
4 |
1 |
9 |
8 |
1 |
Caen (A) |
1 |
1 |
1 |
0 |
0 |
0 |
2 |
0 |
1 |
0 |
Clermont-Ferrand (A) |
1 |
0 |
0 |
0 |
1 |
0 |
0 |
0 |
0 |
0 |
Créteil Henri Mondor (AP-HP) (A) |
1 |
4 |
0 |
1 |
1 |
1 |
0 |
0 |
0 |
0 |
Dijon (A) |
0 |
0 |
1 |
1 |
1 |
0 |
0 |
1 |
2 |
0 |
Grenoble (A) |
2 |
1 |
0 |
3 |
3 |
0 |
0 |
1 |
0 |
0 |
La Réunion (A+P) |
1 |
0 |
2 |
2 |
0 |
6 |
5 |
4 |
4 |
3 |
Le Kremlin Bicêtre (AP-HP) (A) |
0 |
0 |
1 |
0 |
0 |
1 |
1 |
0 |
1 |
1 |
Lille C. Huriez (A) |
0 |
0 |
0 |
1 |
0 |
3 |
0 |
0 |
0 |
1 |
Lille Jeanne de Flandre (P) |
3 |
6 |
9 |
8 |
4 |
9 |
9 |
7 |
7 |
7 |
Limoges (A) |
0 |
0 |
1 |
1 |
0 |
0 |
0 |
0 |
0 |
0 |
Lyon (HCL) (A) |
0 |
0 |
1 |
0 |
1 |
1 |
0 |
0 |
1 |
1 |
Lyon HFME (P) |
13 |
10 |
14 |
17 |
14 |
11 |
10 |
18 |
19 |
24 |
Marseille Conception (APM) (A) |
0 |
1 |
0 |
0 |
0 |
0 |
1 |
0 |
0 |
1 |
Marseille La Timone enfant (P) |
5 |
5 |
9 |
7 |
7 |
3 |
9 |
2 |
4 |
7 |
Montpellier A. de Villeneuve (P) |
1 |
3 |
2 |
3 |
4 |
4 |
6 |
1 |
1 |
5 |
Montpellier La Peyronie (A) |
2 |
0 |
1 |
3 |
0 |
1 |
0 |
1 |
0 |
0 |
Nancy (A) |
0 |
0 |
0 |
0 |
1 |
0 |
0 |
1 |
0 |
0 |
Nancy (P) |
0 |
0 |
3 |
1 |
3 |
0 |
4 |
1 |
1 |
4 |
Nantes (A+P) |
11 |
8 |
10 |
8 |
13 |
6 |
15 |
6 |
13 |
14 |
Nice (A+P) |
1 |
2 |
0 |
0 |
1 |
2 |
1 |
2 |
2 |
1 |
Paris Necker (AP-HP) (A) |
1 |
2 |
3 |
4 |
0 |
0 |
1 |
3 |
2 |
3 |
Paris Necker-Enfants Malades (AP-HP) (P) |
17 |
16 |
22 |
11 |
14 |
9 |
15 |
16 |
13 |
18 |
Paris Pitié-Salpêtrière (AP-HP) (A) |
0 |
0 |
0 |
0 |
1 |
0 |
0 |
0 |
0 |
0 |
Paris Robert Debré (AP-HP) (P) |
5 |
8 |
18 |
10 |
10 |
12 |
18 |
11 |
13 |
28 |
Paris Saint-Louis (AP-HP) (A) |
0 |
0 |
1 |
2 |
1 |
1 |
0 |
1 |
2 |
2 |
Paris Tenon (AP-HP) (A) |
0 |
3 |
0 |
1 |
1 |
1 |
0 |
1 |
1 |
0 |
Paris Trousseau (AP-HP) |
8 |
10 |
9 |
3 |
1 |
0 |
0 |
0 |
0 |
0 |
Point-à-Pitre Abymes (A) |
1 |
0 |
0 |
0 |
0 |
0 |
0 |
0 |
0 |
0 |
Poitiers (A) |
0 |
0 |
1 |
0 |
1 |
1 |
0 |
0 |
0 |
0 |
Reims (A) |
1 |
1 |
0 |
0 |
1 |
0 |
0 |
1 |
1 |
0 |
Rennes (A) |
0 |
1 |
1 |
0 |
1 |
0 |
1 |
1 |
0 |
0 |
Rouen (A) |
1 |
0 |
1 |
0 |
0 |
1 |
0 |
0 |
1 |
0 |
Saint-Etienne (A) |
1 |
1 |
0 |
0 |
0 |
0 |
1 |
0 |
0 |
0 |
Strasbourg Hôpital Civil (A+P) |
5 |
3 |
2 |
1 |
2 |
2 |
3 |
2 |
5 |
3 |
Suresnes Foch (A) |
0 |
1 |
0 |
1 |
0 |
0 |
0 |
0 |
0 |
0 |
Toulouse Purpan (P) |
7 |
8 |
5 |
4 |
4 |
6 |
4 |
8 |
3 |
7 |
Toulouse Rangueil (A) |
1 |
0 |
0 |
1 |
0 |
0 |
0 |
0 |
1 |
0 |
Tours Clocheville (P) |
2 |
1 |
4 |
5 |
6 |
4 |
4 |
2 |
6 |
4 |
France |
100 |
105 |
122 |
109 |
100 |
89 |
112 |
102 |
114 |
135 |
Données extraites de CRISTAL le 02/03/2017
Survie post greffe
La comparaison de la survie des greffons après greffe rénale pédiatrique, estimée par la méthode de Kaplan-Meier montre une amélioration des résultats avec le temps avec une survie à 5 ans qui passe respectivement de 67,3% à 82,9% et 86% entre la cohorte des patients greffés entre 1985-1995 et celle de1996-2005 et 2006-2015 (p<0,001). Cette amélioration est principalement liée à la diminution des échecs précoces survenue à la fin des années 1990. La survie des greffons dépend également de l’âge du receveur et du donneur, du type de donneur et du rang de la greffe. Le risque d’échec précoce (par thrombose) est plus élevé chez les receveurs de moins de 2 ans et le risque d’échec à long terme plus grand chez les adolescents et jeunes adultes chez qui une moins bonne adhésion au traitement est particulièrement fréquente. Les donneurs de moins de 2 ans sont associés à un taux d’échec à 1 mois significativement plus élevé qu’avec des donneurs plus âgés justifiant le refus habituel de ces donneurs pour les receveurs pédiatriques bénéficiant d’un accès à la greffe très favorable. Comme chez l’adulte la survie des greffons à 10 ans est significativement meilleure pour les greffes avec un donneur vivant de 73,8% contre 62,2% pour les donneurs décédés (+11% p<0,001) et moins bonne pour les retransplantations, de 53,4% contre 64,7% à 10 ans pour une première greffe (-11% p<0,001). La survie à 5 ans des receveurs après greffe s’est améliorée entre 1985-1995 et 2006-2015 passant de 95,3 % à 98,4 %. L’utilisation de donneurs optimaux chez les receveurs pédiatriques permet d’observer à 1 an après la greffe un débit de filtration glomérulaire du greffon de 60 ml/min/1,73 m2 ou plus chez 90% des receveurs contre 30% chez l’adulte. Une non fonction primaire du greffon et un retard de fonction du greffon sont observés respectivement pour 4% et 13% des greffes avec donneur décédé et respectivement pour 3% et 10% des greffes avec donneur vivant.
Tableau Péd R24. Analyse de la non fonction primaire du greffon après greffe selon le type de donneur (2009-2015)
|
Non fonction primaire du greffon |
Total |
|||||
Non |
Oui |
Manquant |
|||||
N |
% hors données manquantes |
N |
% hors données manquantes |
N |
% |
N |
|
Décédé |
570 |
95,8 |
25 |
4,2 |
21 |
3,4 |
616 |
Vivant |
125 |
96,9 |
4 |
3,1 |
3 |
2,3 |
132 |
Total |
695 |
96,0 |
29 |
4,0 |
24 |
3,2 |
748 |
Non fonction primaire du greffon a été définie en fonction des informations saisies dans Cristal. Trois cas ont été pris en compte :
- arrêt de fonction du greffon dans les 90 jours après la greffe et une dialyse non arrêtée après la greffe et greffon non fonctionnel en sortie d'hospitalisation
- décès dans les 90 jours après la greffe et une dialyse non arrêtée et greffon non fonctionnel en sortie d'hospitalisation et un greffon déclaré comme non fonctionnel au moment du décès
- aucun suivi après la greffe avec un eDFG supérieur à 10 et une dialyse non arrêtée après la greffe et greffon non fonctionnel en sortie d'hospitalisation
Exclusion de toutes les greffes de 0 équipes (0 greffes) avec plus de 30% de données manquantes.
Données extraites de CRISTAL le 02/03/2017
Tableau Péd R25. Analyse du retard de fonction après greffe selon le type de donneur (2009-2015)
|
Reprise retardée de la fonction rénale |
Total |
|||||
Non |
Oui |
Manquant |
|||||
N |
% hors données manquantes |
N |
% hors données manquantes |
N |
% |
N |
|
Décédé |
392 |
87,1 |
58 |
12,9 |
15 |
3,2 |
465 |
Vivant |
64 |
90,1 |
7 |
9,9 |
3 |
4,1 |
74 |
Total |
456 |
87,5 |
65 |
12,5 |
18 |
3,3 |
539 |
Reprise retardée de la fonction rénale a été définie en fonction des informations saisies dans Cristal.
Les greffes avec une date d'autonomie supérieure à 2 jours après la greffe sont considérées avec une reprise retardée de fonction rénale.
Exclusion des greffes avec une non fonction primaire.
Exclusion des greffes préemptives
Exclusion de toutes les greffes de 0 équipes (0 greffes) avec plus de 30% de données manquantes.
Données extraites de CRISTAL le 02/03/2017
Tableau Péd R26. Analyse du débit de filtration estimé à 1 an selon le type de donneur pour les greffés entre 2009 et 2015 (exclusion des arrêts de fonction et décès après greffe avant 1 an)
|
eDFG en ml/min/ 1,73 m2 (débit de filtration estimé - formule SCHWARTZ ou MDRD sans ethnie) |
Total |
|||||||||||
>= 60 |
45-59 |
30-44 |
15-29 |
< 15 |
Manquant |
N |
|||||||
N |
% hors données manquantes |
N |
% hors données manquantes |
N |
% hors données manquantes |
N |
% hors données manquantes |
N |
% hors données manquantes |
N |
% |
483 |
|
Décédé |
360 |
89,6 |
24 |
6,0 |
15 |
3,7 |
3 |
0,7 |
0 |
0,0 |
52 |
11,5 |
111 |
Vivant |
83 |
87,4 |
7 |
7,4 |
4 |
4,2 |
1 |
1,1 |
0 |
0,0 |
12 |
11,2 |
594 |
Total |
443 |
89,1 |
31 |
6,2 |
19 |
3,8 |
4 |
0,8 |
0 |
0,0 |
64 |
11,4 |
483 |
Utilisation du suivi après greffe le plus proche de la date de greffe plus 1 an
Exclusion des suivis après greffe dont l'écart est supérieur de 180 jours
Exclusion de toutes les greffes de 7 équipes (154 greffes) avec plus de 30% de données manquantes.
Données extraites de CRISTAL le 02/03/2017
Tableau Péd R27. Analyse du débit de filtration estimé à 5 ans selon le type de donneur pour les greffés entre 2004 et 2010 (exclusion des arrêts de fonction et décès après greffe avant 5 ans)
|
eDFG en ml/min/ 1,73 m2 (débit de filtration estimé - formule SCHWARTZ ou MDRD sans ethnie) |
Total |
|||||||||||
>= 60 |
45-59 |
30-44 |
15-29 |
< 15 |
Manquant |
||||||||
N |
% hors données manquantes |
N |
% hors données manquantes |
N |
% hors données manquantes |
N |
% hors données manquantes |
N |
% hors données manquantes |
N |
% |
N |
|
Décédé |
233 |
71,7 |
52 |
16,0 |
27 |
8,3 |
12 |
3,7 |
1 |
0,3 |
80 |
19,8 |
474 |
Vivant |
NC |
NC |
NC |
NC |
NC |
NC |
NC |
NC |
NC |
NC |
16 |
24,2 |
70 |
Utilisation du suivi après greffe le plus proche de la date de greffe plus 5 ans
NC: non calculable si plus de 20% de données non renseignées
Exclusion des suivis après greffe dont l'écart est supérieur de 180 jours
Exclusion de toutes les greffes de 11 équipes (219 greffes) avec plus de 30% de données manquantes.
Données extraites de CRISTAL le 02/03/2017
Figure Péd R2. Survie du greffon après greffe rénale pédiatrique selon la période de greffe (1985-2015)
Année de greffe |
N |
Survie à 1 mois |
Survie à 1 an |
Survie à 5 ans |
Survie à 10 ans |
Survie à 15 ans |
Médiane de |
1985-1995 |
1555 |
91,0% |
82,5% |
67,3% |
56,1% |
42,2% |
147,7 |
nombre de sujets à risque* |
|
1383 |
1252 |
1011 |
815 |
569 |
|
1996-2005 |
1114 |
96,2% |
93,1% |
82,9% |
67,9% |
50,9% |
185,7 |
nombre de sujets à risque* |
|
1071 |
1032 |
902 |
688 |
281 |
|
2006-2015 |
1063 |
96,0% |
94,4% |
86,0% |
NO |
NO |
NO |
nombre de sujets à risque* |
|
988 |
912 |
470 |
23 |
0 |
|
[] : Intervalle de confiance
NO : non observable
* : Nombre de malades restant à observer pour chaque temps et pour lesquels aucun évènement n'est survenu
Données extraites de CRISTAL le 02/03/2017
Figure Péd R3. Survie du greffon après greffe rénale pédiatrique selon l'âge à la greffe (1985-2015)
Age à la greffe |
N |
Survie à 1 mois |
Survie à 1 an |
Survie à 5 ans |
Survie à 10 ans |
Survie à 15 ans |
Médiane de |
0 - 2 ans |
167 |
88,0% |
84,3% |
77,1% |
68,4% |
52,0% |
NO |
nombre de sujets à risque* |
|
146 |
138 |
107 |
66 |
30 |
|
3 - 5 ans |
384 |
92,3% |
87,5% |
80,5% |
71,8% |
55,0% |
197,9 |
nombre de sujets à risque* |
|
346 |
321 |
250 |
173 |
98 |
|
6 - 10 ans |
768 |
93,6% |
88,4% |
77,7% |
66,3% |
47,5% |
170,2 |
nombre de sujets à risque* |
|
699 |
649 |
506 |
339 |
182 |
|
11 - 17 ans |
2069 |
95,0% |
90,0% |
77,1% |
62,2% |
47,2% |
170,3 |
nombre de sujets à risque* |
|
1931 |
1797 |
1326 |
839 |
488 |
|
18 ans et plus |
344 |
93,9% |
88,5% |
70,0% |
52,3% |
NO |
129,8 |
nombre de sujets à risque* |
|
320 |
291 |
194 |
109 |
52 |
|
[] : Intervalle de confiance
NO : non observable
* : Nombre de malades restant à observer pour chaque temps et pour lesquels aucun évènement n'est survenu
Données extraites de CRISTAL le 02/03/2017
Figure Péd R4. Survie du greffon après greffe rénale pédiatrique selon l'âge du donneur (1985-2015)
Age du donneur |
N |
Survie à 1 mois |
Survie à 1 an |
Survie à 5 ans |
Survie à 10 ans |
Survie à 15 ans |
Médiane de |
0 - 2 ans |
224 |
83,3% |
75,2% |
62,4% |
53,0% |
39,2% |
138,3 |
nombre de sujets à risque* |
|
185 |
164 |
127 |
95 |
58 |
|
3 - 5 ans |
255 |
91,6% |
86,8% |
78,6% |
67,2% |
51,3% |
182,0 |
nombre de sujets à risque* |
|
229 |
214 |
172 |
115 |
70 |
|
6 - 10 ans |
479 |
93,2% |
86,8% |
76,4% |
64,1% |
51,7% |
183,6 |
nombre de sujets à risque* |
|
436 |
403 |
305 |
214 |
136 |
|
11 - 17 ans |
929 |
96,1% |
92,7% |
83,4% |
70,1% |
52,1% |
NO |
nombre de sujets à risque* |
|
879 |
827 |
587 |
305 |
152 |
|
18 ans et plus |
1845 |
94,8% |
89,8% |
75,5% |
60,9% |
44,8% |
162,4 |
nombre de sujets à risque* |
|
1713 |
1588 |
1192 |
797 |
434 |
|
[] : Intervalle de confiance
NO : non observable
* : Nombre de malades restant à observer pour chaque temps et pour lesquels aucun évènement n'est survenu
Données extraites de CRISTAL le 02/03/2017
Figure Péd R5. Survie du greffon après greffe rénale pédiatrique selon l'origine du greffon (1985-2015)
Origine du greffon |
N |
Survie à 1 mois |
Survie à 1 an |
Survie à 5 ans |
Survie à 10 ans |
Survie à 15 ans |
Médiane de |
Donneur décédé |
3202 |
93,6% |
88,2% |
75,8% |
62,2% |
46,3% |
167,9 |
nombre de sujets à risque* |
|
2946 |
2732 |
2044 |
1304 |
719 |
|
Donneur vivant |
477 |
97,0% |
95,7% |
87,1% |
73,8% |
56,7% |
209,5 |
nombre de sujets à risque* |
|
449 |
423 |
306 |
196 |
110 |
|
[] : Intervalle de confiance
NO : non observable
* : Nombre de malades restant à observer pour chaque temps et pour lesquels aucun évènement n'est survenu
Données extraites de CRISTAL le 02/03/2017
Figure Péd R6. Survie du greffon rénal selon le rang de la greffe (1985-2015).
N |
Survie à 1 mois |
Survie à 1 an |
Survie à 5 ans |
Survie à 10 ans |
Survie à 15 ans |
Médiane de |
|
Rang de la greffe = 1 |
3320 |
94,2% |
89,4% |
78,1% |
64,7% |
48,6% |
175,5 |
nombre de sujets à risque* |
|
3069 |
2856 |
2147 |
1371 |
758 |
|
Rang de la greffe > 1 |
412 |
92,3% |
85,6% |
68,1% |
53,4% |
39,1% |
138,8 |
nombre de sujets à risque* |
|
373 |
340 |
236 |
155 |
92 |
|
[] : Intervalle de confiance
NO : non observable
* : Nombre de malades restant à observer pour chaque temps et pour lesquels aucun évènement n'est survenu
Données extraites de CRISTAL le 02/03/2017
Figure Péd R7. Survie du greffon rénal à partir de donneur décédé, en fonction du nombre d’incompatibilités HLA DR (greffes 1985-2015)
Incompatibilités HLA DR |
N |
Survie à 1 mois |
Survie à 1 an |
Survie à 5 ans |
Survie à 10 ans |
Survie à 15 ans |
Médiane de |
0 |
546 |
96,5% |
93,5% |
80,5% |
66,6% |
52,5% |
191,4 |
nombre de sujets à risque* |
|
520 |
497 |
354 |
216 |
114 |
|
1 |
1357 |
95,2% |
92,2% |
82,4% |
67,5% |
48,8% |
177,3 |
nombre de sujets à risque* |
|
1277 |
1202 |
878 |
494 |
211 |
|
2 |
280 |
93,5% |
89,5% |
80,4% |
64,9% |
48,7% |
172,5 |
nombre de sujets à risque* |
|
258 |
245 |
190 |
99 |
47 |
|
[] : Intervalle de confiance
NO : non observable
* : Nombre de malades restant à observer pour chaque temps et pour lesquels aucun évènement n'est survenu
Données extraites de CRISTAL le 02/03/2017
Figure Péd R8. Survie du receveur après greffe rénale selon la période (1985-2015)
Période de greffe |
N |
Survie à 1 mois |
Survie à 1 an |
Survie à 5 ans |
Survie à 10 ans |
Survie à 15 ans |
Médiane de |
1985-1995 |
1353 |
98,9% |
97,4% |
95,3% |
93,1% |
91,1% |
NO |
nombre de sujets à risque* |
|
1307 |
1272 |
1206 |
1134 |
1049 |
|
1996-2005 |
1002 |
99,7% |
99,0% |
97,1% |
95,7% |
93,8% |
NO |
nombre de sujets à risque* |
|
998 |
986 |
949 |
881 |
462 |
|
2006-2015 |
965 |
99,6% |
99,4% |
98,4% |
NO |
NO |
NO |
nombre de sujets à risque* |
|
932 |
875 |
491 |
27 |
0 |
|
[] : Intervalle de confiance
NO : non observable
* : Nombre de malades restant à observer pour chaque temps et pour lesquels aucun évènement n'est survenu
Données extraites de CRISTAL le 02/03/2017
Conclusion
L’activité de greffe rénale pédiatrique est stable au fil du temps, même si on observe depuis 3 ans une tendance à l’accroissement du nombre de greffes. Le nombre de nouveaux patients inscrits en attente est peu différent du nombre de patients greffés permettant d’éviter l’accumulation des patients sur la liste d’attente, avec une situation bien différente de celle observée chez les adultes. La part de plus en plus importante des malades en contre-indication temporaire sur la liste s’explique par la modification de la politique d’inscription des équipes liée à l’attribution de points corrélée à la durée d’attente sur liste pour les malades dialysés ou inscrits depuis moins d’un an. L’accès à la liste et les index de pénurie doivent être analysés sur la liste d’attente active excluant les périodes de contre-indications.
Globalement, grâce à la priorité accordée, la greffe rénale pédiatrique bénéficie d’une situation très privilégiée avec un accès rapide à la greffe et l’allocation de greffons optimaux. Cependant, une proportion grandissante des candidats pédiatriques a une durée d’attente prolongée en raison d’une immunisation importante, liée le plus souvent à une première transplantation. Une possibilité de prévention de cette immunisation passe par une exigence particulière dans l’appariement HLA entre donneur et receveur chez ces jeunes patients. Une étude est en cours pour analyser les possibilités d’améliorer l’appariement HLA par le score d’attribution des greffons aux receveurs pédiatrique grâce à une mutualisation plus large des greffons des donneurs de 15 à 30 ans.
Malgré les résultats très favorables de la greffe à partir d’un donneur vivant en pédiatrie avec des survies à long terme supérieures à celles observées pour des donneurs décédés et plus de possibilités de greffes préemptives, cette option reste peu utilisée en France et mériterait d’être développée.