Le rapport médical et scientifique
de l'Agence de la biomédecine

2016

Le rapport médical et scientifique du prélèvement
et de la greffe en France

Retour accueil Sommaire

Imprimer au format PDF

Résumé de l’activité

Depuis 1976, année de la première greffe pancréatique enregistrée dans Cristal, un total de 2 013 greffes pancréatiques a été enregistré. Le nombre estimé de malades porteurs d’un greffon pancréatique est de 941 au 31 décembre 2016, soit une prévalence de l’ordre de 14,1 par million d’habitants (pmh).

Tableau PA1. Evolution de la liste d'attente et devenir des candidats en greffe pancréatique

 

2011

2012

2013

2014

2015

2016

2017

Liste d'attente

 

 

 

 

 

 

 

- malades restant en attente au 1er janvier de chaque année

148

145

165

178

200

221

228

    dont malades en attente au 1er janvier et en CIT

64

69

84

91

105

103

107

    % des malades en CIT parmi les malades en attente au 1er janvier

43%

48%

51%

51%

53%

47%

47%

- nouveaux inscrits dans l'année

93

119

127

129

131

116

 

- décédés dans l'année

5

5

6

0

8

1

 

- sortis de la liste d'attente

18

22

23

28

24

18

 

    dont sortis de la liste d'attente pour aggravation

9

12

12

19

15

7

 

Greffes

73

72

85

79

78

90

 

Greffes (pmh)

1,1

1,1

1,3

1,2

1,2

1,3

 

CIT : Contre-indication temporaire / pmh : par million d'habitants
Données extraites de CRISTAL le 01/03/2017

     

Devenir des candidats en liste d’attente

Liste d’attente

En 2016, avec la réalisation de 90 greffes, l’activité de greffe pancréatique augmente de 15% avec 12 greffes supplémentaires après plusieurs années de stagnation. Avec 116 nouveaux inscrits, les inscriptions sont relativement stables au fil du temps. L’incidence de 1,3 greffes par million d’habitants est faible par rapport à celle observée chez nos voisins (en 2016 : Espagne 2,1 ; Allemagne 1,3 ; Suède 3,1 ; Norvège 6 ; Royaume Uni 3,8).
Cette faible activité persiste malgré l’élargissement progressif des critères d’accès à la catégorie des malades bénéficiant d’une priorité accordée au niveau interrégional aux receveurs de greffe combinée pancréas-rein (catégorie prioritaire). Depuis octobre 2002, avaient accès à cette catégorie prioritaire, les receveurs de greffe combinée pancréas-rein âgés de moins de 40 ans, non immunisés et en attente d’une première greffe de pancréas. La limite d’âge est ensuite passée à 45 ans en mai 2004 puis à 48 ans en septembre 2008 (mise en route effective en février 2009) et 55 ans en septembre 2010 (mise en route effective en février 2011), avec l’ouverture aux sujets présentant une immunisation faible avec un taux de greffons incompatibles inférieur à 25%. Les modifications apportées aux règles de répartition en février 2011 n’apportent pas non plus le bénéfice attendu. Ces nouvelles règles permettaient de privilégier la greffe pancréatique plutôt que la greffe d’îlots de Langerhans, lorsque le donneur est âgé de moins de 50 ans avec un index de masse corporel (IMC) inférieur à 30. Les pancréas de ce type de donneurs ne sont proposés pour une greffe d’îlots de Langerhans qu’en l’absence de receveur de pancréas. Les règles ont été assouplies en créant 3 catégories de donneurs au lieu de deux, afin d’utiliser au mieux les possibilités locales de prélèvement : les pancréas de donneurs de moins 44 ans et dont l’IMC est inférieur à 27 sont proposés prioritairement pour une greffe de pancréas, ceux des donneurs de 45 ans à 49 ans au plus et/ou ayant un IMC entre 27 et 29 peuvent être proposés soit pour une greffe de pancréas soit pour une greffe d’îlots et enfin ceux des donneurs de plus de 50 ans et/ou ayant un IMC à 30 ou plus sont proposés pour une greffe d’îlots de Langerhans. Ces modifications ont pris effet en avril 2016.

L’âge moyen des 90 malades greffés en 2016 est de 40,6 ans et l’âge moyen des donneurs de 32,4 ans. La part des patients en contre-indication temporaire sur la liste d’attente a fortement augmenté dans les dernières années passant de 26% en 2008 à 53% en 2015 et 47 % au 1er janvier 2016.
Parmi les patients en attente d’une greffe combinée pancréas-rein, en 2016, la catégorie prioritaire représente 71% de l’ensemble des candidats, 78% des nouveaux inscrits, 67% des malades restant en attente au 1er janvier 2016 et 90,5% des malades greffés dans l’année. Toutes les transplantations réalisées dans l’année sont des premières greffes alors qu’il y a un patient parmi les nouveaux inscrits et 5 parmi ceux restant en attente au 1er janvier qui sont en attente d’une retransplantation. Ces transplantations ont été réalisées chez des patients non dialysés dans 34% des cas, alors que 50% des nouveaux inscrits et 53% des patients en attente au 1er janvier n’étaient pas dialysés.

Tableau PA2. Caractéristiques démographiques des donneurs de pancréas et, des malades inscrits selon leur devenir en liste d'attente de greffe pancréatique en 2016

Caractéristiques

Greffons pancréatiques greffés en 2016

Malades en attente au 1er janvier 2016

Nouveaux malades inscrits en 2016

Malades greffés en 2016

n

%

n

%

n

%

n

%

Age

0-17 ans

2

2,2

0

0,0

0

0,0

0

0,0

18-29 ans

39

43,3

17

7,7

12

10,3

13

14,4

30-55 ans

49

54,4

195

88,2

99

85,3

75

83,3

56-65 ans

0

0,0

8

3,6

5

4,3

2

2,2

>=66 ans

0

0,0

1

0,5

0

0,0

0

0,0

(m±ds,ans)

32,4

9,4

41,8

8,5

39,8

8,6

40,6

8,9

Sexe

Masculin

62

68,9

115

52,0

70

60,3

56

62,2

Féminin

28

31,1

106

48,0

46

39,7

34

37,8

Groupe sanguin

A

34

37,8

91

41,2

52

44,8

32

35,6

AB

9

10,0

18

8,1

4

3,4

12

13,3

B

7

7,8

32

14,5

12

10,3

7

7,8

O

40

44,4

80

36,2

48

41,4

39

43,3

Total

90

100,0

221

100,0

116

100,0

90

100,0

m ± ds=moyenne ± déviation standard
Données extraites de CRISTAL le 01/03/2017

     

Tableau PA3. Caractéristiques démographiques des malades inscrits selon leur devenir en liste d'attente de greffe pancréatique en 2016
(Restriction aux malades avec une inscription en greffe rénale pendant l'attente en greffe pancréatique)

Caractéristiques

Malades en attente au 1er janvier 2016

Nouveaux malades inscrits en 2016

Malades greffés en 2016

n

%

n

%

n

%</p>

Retransplantation

Non

184

97,4

101

99,0

74

100,0

Oui

5

2,6

1

1,0

0

0,0

Taux de greffons incompatibles*

0%

105

55,6

65

63,7

55

74,3

0-24%

0

0,0

0

0,0

0

0,0

25-49%

19

10,1

10

9,8

4

5,4

50-74%

27

14,3

6

5,9

2

2,7

75-100%

14

7,4

3

2,9

0

0,0

Priorité**

Non

62

32,8

22

21,6

7

9,5

Oui

127

67,2

80

78,4

67

90,5

Dialyse***

Manquant

2

1,1

0

0,0

0

0,0

Non

101

53,4

51

50,0

25

33,8

Oui

86

45,5

51

50,0

49

66,2

Total

189

100,0

102

100,0

74

100,0

Remarque : Il n’y a pas en France de liste d’attente pancréas-rein mais une liste d’attente pour chacun des greffons. Les malades inscrits sur les deux listes n’auront pas forcement une greffe combinée. Leur devenir sur liste va dépendre de l’évolution de leur état et l’attribution des organes.  Ainsi, on restreint aux malades avec une inscription en greffe rénale pendant l'attente en greffe pancréatique pour avoir l’ensemble des malades qui auraient pu accéder à une greffe combinée pancréas-rein.
* le taux de greffons incompatibles vient du dossier d'attente de greffe rénale. Il est calculé sur la base des spécificités anticorps anti-HLA de classe I et II
**Patients inscrits en liste d'attente rein et pancréas, âgés au plus de 55 ans, en attente d’une 1ère greffe, avec un taux de greffons incompatibles inférieur ou égal à 25 % (calcul fait lors l’attente en greffe rénale).
***L'information de dialyse vient du dossier d'attente de greffe rénale. Elle est recalculée pour être celle à l'inscription sauf pour les greffés pour lesquels il s'agit de l'information mise à jour au moment de la greffe. La base de données DIADEM a été utilisée pour contrôler les dates de début de première dialyse pour les dossiers de première greffe.
Données extraites de CRISTAL le 01/03/2017

     

Cinétique de la liste d’attente de greffe combinée pancréas-rein

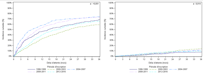
L’accès à la greffe est évalué par le taux d’incidence cumulée qui mesure la probabilité d’accès à la greffe en fonction de la durée d’attente sur liste et en tenant compte des risques concurrents (décès et sortie de liste pour aggravation). La médiane d’attente qui est la durée d’attente pour laquelle la moitié des candidats ont accédé à la greffe est également indiquée pour les différentes catégories de patients. Une amélioration de l’accès à la greffe combinée a été possible grâce à la mise en place, en octobre 2002, d’une catégorie d’attribution prioritaire du greffon rénal en cas de greffe combinée pancréas-rein. La mise en place de cette priorité a facilité l’accès à la greffe combinée rein-pancréas des jeunes diabétiques en insuffisance rénale chez qui l’intérêt de la réalisation de la greffe combinée à un stade précoce a largement été rapporté dans la littérature. Mais une diminution de l’accès à la greffe combinée est observée depuis 2004 avec pour les malades inscrits en attente l’évolution du taux de greffe à 12 mois suivant : 58% pour la cohorte 2004-2007, 54% pour 2008-2011 et 40% pour 2012-2016. Cette diminution de l’accès à la greffe s’explique par une activité de prélèvement plus faible dans les dernières années, hormis en 2016 qui marque une reprise d’activité. L’augmentation de la part des malades en contre-indication sur la liste d’attente doit également être prise en compte dans cette analyse. Ainsi, si on exclut le temps cumulé en contre-indication, le taux d’accès est de 61% à 12 mois pour les patients inscrits en attente depuis janvier 2011 avec une médiane d’attente sur liste de 8,4 mois contre 14,3 mois si le temps en contre-indication est inclus.
Les patients de groupes O sont ceux qui ont le meilleurs accès à la greffe avec un taux de 52% à 12 mois contre respectivement 43%, 40% et 42% pour les patients de groupes A, AB et B. Ceci s’explique par la rareté des dérogations de groupes dans ce type de greffes.
Enfin, il est important de souligner que seuls les malades inscrits en attente sont pris en compte dans cette analyse. Or, il est probable que la diminution d’activité de greffe pancréatique des dernières années influence de plus la politique d’inscription avec une partie des patients diabétiques de type 1 dont une partie est inscrite en attente de rein seul pour éviter une trop longue attente. En 2016, parmi les nouveaux inscrits en attente de greffe rénale, 233 patients avaient un diabète de type 1 et 116 ont été inscrits en attente de greffe combinée.

Au cours de l’année 2016, un malade inscrit sur la liste d’attente est décédé et 7 sont sortis de la liste pour aggravation. La probabilité de décès ou de sortie de liste pour aggravation pour les malades inscrits entre 2012 et 2016 est de 5% à 12 mois, 9% à 24 mois et 10% à 36 mois.

Tableau PA4. Evolution sur les trois premières années du devenir des malades inscrits pour la première fois en greffe pancréatique en 2013 (N=124)

Statut sur liste d'attente

% à 3 mois

% à 6 mois

% à 12 mois

% à 18 mois

% à 24 mois

% à 30 mois

% à 36 mois

Toujours en attente

79,0

70,2

45,2

33,1

21,8

16,1

12,9

Greffé

17,7

24,2

47,6

54,0

62,1

65,3

67,7

Décédé en attente

0,0

0,0

0,0

0,8

1,6

1,6

1,6

Sorti de la liste d'attente

3,2

5,6

7,3

12,1

14,5

16,9

17,7

Données extraites de CRISTAL le 01/03/2017

     

Figure PA1. Taux d'incidence cumulée de greffe et de décès ou aggravation sur la liste d'attente de greffe pancréatique selon la période d'inscription (exclusion des greffes de pancréas isolé ou de pancréas combiné à un autre organe que le rein)

Figure PA1. Taux d'incidence    cumulée de greffe et de décès ou aggravation sur la liste d'attente de greffe    pancréatique selon la période d'inscription (exclusion des greffes de    pancréas isolé ou de pancréas combiné à un autre organe que le rein)

 

 

Incidence cumulée des greffes avec prise en compte du risque concurrent de décès en attente ou sorties pour aggravation
en % [IC à 95%]

Incidence cumulée des décès en attente ou sorties pour aggravation avec prise en compte du risque concurrent de greffe
en % [IC à 95%]

Période d'inscription

N

à 3 mois

à 6 mois

à 12 mois

à 24 mois

à 36 mois

à 3 mois

à 6 mois

à 12 mois

à 24 mois

à 36 mois

1996-1999

336

19 [15-23]

33 [28-39]

47 [41-52]

60 [54-65]

69 [63-74]

1 [0-3]

1 [0-3]

3 [1-5]

6 [4-10]

8 [5-11]

2000-2003

344

10 [7-14]

17 [13-21]

33 [28-38]

51 [46-56]

59 [54-64]

1 [0-2]

2 [1-4]

4 [2-6]

9 [6-13]

14 [11-18]

2004-2007

427

31 [27-35]

47 [42-51]

58 [53-62]

71 [66-75]

74 [70-78]

1 [0-3]

2 [1-4]

4 [2-6]

8 [5-11]

11 [8-15]

2008-2011

408

23 [19-27]

36 [32-41]

54 [49-58]

69 [64-73]

73 [68-77]

1 [0-3]

2 [1-4]

5 [3-7]

8 [5-11]

12 [9-16]

2012-2016

570

12 [10-15]

21 [18-25]

40 [36-45]

58 [53-63]

66 [61-71]

1 [1-3]

2 [1-4]

5 [3-7]

9 [7-12]

10 [7-13]

NC=Non calculable / IC : Intervalle de confiance
Données extraites de CRISTAL le 02/03/2017

     

Après 12 mois d’attente, les malades inscrits entre 2012 et 2016 ont 40% de chance d’être greffés et 5% de risque de décès en attente.

Tableau PA5. Incidence cumulée des greffes avec prise en compte du risque concurrent de décès en attente ou sortie pour aggravation selon les caractéristiques des malades inscrits à partir du 1er janvier 2011 sur la liste d'attente d'une greffe pancréatique
(exclusion des greffes de pancréas isolé ou de pancréas combiné à un autre organe que le rein)

 

Incidence cumulée des greffes avec prise en compte du risque concurrent de décès en attente ou sorties pour aggravation
en % [IC à 95%]

 

N

à 3 mois

à 6 mois

à 12 mois

à 24 mois

à 36 mois

Médiane (mois)

pvalue

Global

 

715

15 [12-17]

26 [23-29]

46 [42-50]

63 [58-66]

70 [65-74]

14,3

 

Global hors temps cumulé en CIT*

 

715

28 [25-32]

41 [37-45]

61 [57-65]

76 [72-80]

82 [76-86]

8,4

 

Groupe sanguin

A

302

9 [6-13]

19 [15-24]

43 [37-49]

60 [53-66]

75 [67-81]

15,8

0,09

 

AB

28

15 [5-31]

19 [7-36]

40 [21-59]

69 [43-85]

100 [.-.]

14,9

 

 

B

76

12 [6-21]

25 [16-36]

42 [30-54]

60 [44-73]

60 [44-73]

16,9

 

 

O

309

21 [17-26]

34 [29-40]

52 [46-58]

67 [60-72]

70 [64-76]

10,8

 

NC=Non calculable, IC=Intervalle de confiance
* CIT : contre-indication temporaire
Données extraites de CRISTAL le 01/03/2017

     

Tableau PA6. Taux d'incidence cumulée des greffes avec prise en compte du risque concurrent de décès en attente ou sortie pour aggravation selon l'équipe de greffe des malades inscrits à partir du 1er janvier 2011 sur la liste d'attente d'une greffe  pancréatique
(exclusion des greffes de pancréas isolé ou de pancréas combiné à un autre organe que le rein)

 

Incidence cumulée des greffes avec prise en compte du risque concurrent de décès en attente ou sorties pour aggravation
en % [IC à 95%]

Equipe

N

à 3 mois

à 6 mois

à 12 mois

à 24 mois

à 36 mois

Médiane (mois)

 

12

NC

NC

NC

NC

NC

 

Créteil Henri Mondor (AP-HP) (A)

13

8 [0-30]

8 [0-30]

38 [13-64]

NC

NC

 

Le Kremlin Bicêtre - Villejuif Paul Brousse (AP-HP) (A)

77

9 [4-17]

13 [7-22]

23 [14-34]

36 [24-49]

43 [28-58]

47,0

Lyon (HCL) (A)

216

20 [15-25]

30 [24-36]

54 [47-61]

71 [63-77]

82 [74-88]

10,9

Montpellier La Peyronie (A)

31

20 [8-36]

50 [31-67]

70 [46-85]

NC

NC

6,6

Nancy (A)

2

50 [0-96]

50 [0-96]

50 [0-96]

NC

NC

16,8

Nantes (A )

167

22 [16-28]

35 [28-43]

58 [50-66]

70 [62-77]

74 [65-82]

8,6

Paris Saint-Louis (AP-HP) (A)

78

7 [2-14]

15 [8-24]

34 [23-46]

55 [40-68]

91 [0-100]

24,0

Strasbourg Hôpital Civil (A)

4

25 [0-71]

25 [0-71]

NC

NC

NC

 

Toulouse Rangueil (A)

108

10 [5-17]

24 [16-33]

44 [33-54]

67 [55-76]

75 [62-84]

16,1

NC=Non calculable, IC=Intervalle de confiance
Données extraites de CRISTAL le 01/03/2017

     

Prélèvement en vue de greffe pancréatique

Le pancréas est un organe fragile et difficile à prélever, ce qui limite le nombre de prélèvements du fait des caractéristiques cliniques exigées chez le donneur, mais aussi des difficultés des équipes chirurgicales à déplacer un chirurgien expérimenté pour effectuer le prélèvement. En 2016, 134 pancréas ont été prélevés en vue d’une greffe d’organe, soit 8% des donneurs en état de mort encéphalique prélevés d’au moins un organe, ce qui correspond à une augmentation du nombre de pancréas prélevés de 10% par rapport à 2015 et de plus de 30% par rapport aux années 2011 à 2013 où une moyenne de 100 pancréas/an avaient été prélevés. Par ailleurs, 69 pancréas ont été prélevés afin de réaliser un isolement des îlots de Langerhans.
Le nombre de donneurs dont le pancréas peut être utilisé soit pour une greffe d’organe soit pour isolement d’îlots diminue alors que le nombre de donneurs prélevés d’au moins un organe continue d’augmenter. Cela s’explique par l’augmentation de l’âge des donneurs. Le nombre de donneurs de pancréas organe « optimaux » (définis par un âge entre 18 et 50 ans, un IMC inférieur à 30, l’absence d’antécédent d’alcoolisme ou de diabète et d’arrêt cardiaque et un prélèvement en métropole) a diminué de 41% entre 2006 et 2016 passant de 287 donneurs à 168 par an. Le nombre de donneurs dont les caractéristiques permettent la proposition du pancréas pour greffe d’organe ou d’îlots, dits « donneurs potentiels de pancréas » (définis par un poids supérieur à 10 kg, un âge inférieur à 65 ans, l’absence d’antécédent de diabète, d’augmentation des transaminases hépatiques supérieure à 3 fois la normale et d’arrêt cardiaque et dont le foie a été attribué et greffé) n’a diminué que de 15% dans la même période (526 donneurs en 2006 contre 449 en 2016) mais ne représente que 25% des donneurs prélevés d’au moins un organe. La moyenne d’âge des donneurs de pancréas organe était de 32,4 ans en 2016, et celle des receveurs de 40,6 ans. Elles sont stables au fil du temps.

Tableau PA7. Evolution du nombre de donneurs décédés en état de mort encéphalique et prélevés d’un greffon pancréatique parmi les donneurs d’au moins un greffon

Année

Donneurs prélevés d'au moins un organe

Donneurs de pancréas organe optimaux*

Donneurs potentiels de pancréas organe ou îlots**

Donneurs prélevés d'un pancréas en vue de greffe pancréatique

Donneurs prélevés d'un pancréas en vue de greffe d'îlots de Langerhans

2006

1442

287

526

118

79

2007

1561

271

548

128

86

2008

1563

242

522

105

89

2009

1481

241

530

120

70

2010

1476

207

510

120

84

2011

1572

192

522

102

96

2012

1589

200

501

97

100

2013

1627

172

493

103

90

2014

1655

174

470

110

92

2015

1769

170

469

122

81

2016

1770

168

449

134

69

*Un donneur de pancréas organe optimal est un donneur prélevé d'au moins un organe en France métropolitaine,  âgé entre 18 et 50 ans et un IMC inférieur à 30, sans antécédent d’alcool (non ou manquant) et sans antécédent de diabète (non ou manquant), sans arrêt cardiaque récupéré (non ou manquant).
**Un donneur de pancréas organe proposable est un donneur prélevé d'au moins un organe en France métropolitaine,  avec un âge inférieur à 65 ans et un poids supérieur à 10 kg,  sans antécédent de diabète (non ou manquant),   sans arrêt cardiaque récupéré (non ou manquant) avec ALAT ou ASAT >150 UI/l, avec une durée de réanimation inférieure à 10 jours, dont le foie a été attribué et greffé.
Données extraites de CRISTAL le 01/03/2017

     

Tableau PA8. Age des greffons prélevés sur donneurs décédés et greffés en France en 2016
selon l'âge du receveur dans le cadre des greffes pancréatiques

Age du donneur

Age du receveur

Total

18-29 ans

30-55 ans

56-65 ans

0-17 ans

1

1

0

2

18-29 ans

8

31

0

39

30-55 ans

4

43

2

49

Total

13

75

2

90

Données extraites de CRISTAL le 01/03/2017

     

Tableau PA9. Evolution de l'âge des greffons prélevés sur donneurs décédés et greffés en France et de l'âge du receveur dans le cadre des greffes pancréatiques

 

Age du donneur

Age du receveur

N

Moyenne

Std

N

Moyenne

Std

Année de greffe

90

33,1

10,0

90

40,2

7,7

2006

2007

99

31,0

11,5

99

40,3

8,9

2008

84

35,2

10,6

84

39,5

7,7

2009

89

33,3

9,4

89

39,6

8,4

2010

95

32,4

11,1

95

39,2

8,3

2011

73

31,0

9,9

73

40,2

8,1

2012

72

32,2

10,3

72

41,3

9,1

2013

85

33,0

11,2

85

42,1

7,9

2014

79

34,2

10,9

79

39,5

8,9

2015

78

33,1

10,1

78

41,2

8,4

2016

90

32,4

9,4

90

40,6

8,9

std=déviation standard
Données extraites de CRISTAL le 01/03/2017

     

Activité de greffe pancréatique

Parmi les 90 greffes pancréatiques réalisées en 2016, 74 étaient des greffes combinées rein-pancréas (82%) et 15 des greffes de pancréas isolé (17%).
Sept équipes ont réalisé des greffes pancréatiques en 2016, parmi lesquelles l’équipe de Lyon qui est la plus active avec 22 greffes soit 24% de l’activité totale. Seules 4 équipes réalisent au moins 10 greffes par an. La durée moyenne d’ischémie froide a été de 8,8 heures pour les 74 greffes combinées pancréas-rein réalisées en 2016.

Tableau PA10. Evolution de l’activité de greffe pancréatique depuis 2000

 

2000

2001

2002

2003

2004

2005

2006

2007

2008

2009

2010

2011

2012

2013

2014

2015

2016

Rein-pancréas

51

53

53

65

86

84

82

83

73

69

83

67

58

71

70

70

74

Foie-pancréas

1

0

0

0

0

2

0

1

2

1

0

0

0

0

1

0

0

Multiviscérale

0

0

0

0

0

0

0

4

1

3

1

0

1

1

0

0

1

Pancréas isolé

2

7

6

5

17

6

8

11

8

16

12

6

13

13

8

8

15

Les greffes multiviscérales sont des greffes en bloc de 2 ou 3 organes viscéraux (foie-intestin-pancréas, ou intestin-pancréas).
Données extraites de CRISTAL le 01/03/2017

     

Tableau PA11. Nombre de greffes pancréatiques par équipe en 2016

 

Total greffes

rein-pancréas

multiviscérale

pancréas isolé

Créteil Henri Mondor (AP-HP) (A)

2

2

0

0

Le Kremlin Bicêtre - Villejuif Paul Brousse (AP-HP) (A)

10

9

0

1

Lyon (HCL) (A)

22

20

0

2

Montpellier La Peyronie (A)

6

4

0

2

Nantes (A)

30

21

0

9

Paris Saint-Louis (AP-HP) (A)

6

5

1

0

Toulouse Rangueil (A)

14

13

0

1

France

90

74

1

15

Données extraites de CRISTAL le 01/03/2017

     

Tableau PA12. Durée moyenne d’ischémie froide du greffon pancréatique lors d’une greffe combinée rein-pancréas pour l’année 2016 et par équipe de greffe

Equipe de greffe

Nombre de greffes

Durée d'ischémie froide

Non renseignée

Moyenne (heures)

IC

Créteil Henri Mondor (AP-HP) (A)

2

0

8,8

32,1

Le Kremlin Bicêtre - Villejuif Paul Brousse (AP-HP) (A)

9

1

7,7

0,9

Lyon (HCL) (A)

20

0

10,1

0,9

Montpellier La Peyronie (A)

4

0

6,7

0,9

Nantes (A )

21

0

8,9

1,0

Paris Saint-Louis (AP-HP) (A)

5

1

9,6

3,0

Toulouse Rangueil (A)

13

0

7,9

0,8

France

74

2

8,8

0,5

NC=non calculable si plus de 30% de données non renseignées
IC=moitié de la largeur de l'intervalle de confiance de la moyenne à 95%
Données extraites de CRISTAL le 01/03/2017

     

Tableau PA13. Evolution des greffes pancréatiques par équipe (Pancréas seul ou pancréas-rein)

 

2011

2012

2013

2014

2015

2016

Amiens (A)

2

2

0

0

0

0

Bordeaux *

2

0

0

0

0

0

Créteil Henri Mondor (AP-HP) (A)

1

1

1

1

2

2

Le Kremlin Bicêtre - Villejuif Paul Brousse (AP-HP) (A)

7

5

4

2

10

10

Lyon (HCL) (A)

29

28

32

30

25

22

Montpellier La Peyronie (A)

0

1

2

6

8

6

Nancy (A)

1

1

1

0

0

0

Nantes (A )

13

20

24

16

15

30

Paris Saint-Louis (AP-HP) (A)

8

5

7

10

5

5

Strasbourg Hôpital Civil (A )

2

0

1

0

0

0

Toulouse Rangueil (A)

8

8

12

13

13

14

France

73

71

84

78

78

89

* Equipe de greffe sans autorisation valide d'activité de greffe pancréatique le 01/03/2017
Données extraites de CRISTAL le 01/03/2017

     

Survie post greffe

La survie des greffons rénaux et pancréatiques est calculée par la méthode de Kaplan-Meier, sur les 1 311 greffes combinées rein-pancréas réalisées entre 1996 et 2015. On peut noter que la survie à 1 an du greffon rénal (94,2%) et celle à 5 ans (83,2%) sont comparables à celles des greffes de rein seul (91,3% à un an et 79,4% à 5 ans). Malgré des bons résultats avec une amélioration importante après 2000 des greffes pancréatiques associées à une greffe de rein, la survie du greffon pancréatique est significativement inférieure à celle du greffon rénal (79,5% à 1 an et 70,2% à 5 ans) avec une différence de survie liée à une perte précoce du greffon pancréatique (1er mois) puis des courbes de survie des deux greffons relativement parallèles. Cette perte de greffons pancréatiques dans la première année a significativement diminué dans le temps avec une survie à 1 an qui est passé de 65,6% pour la cohorte 1985-1989 à un maximum de 82,6% entre 2000 et 2004. Mais les cohortes les plus récentes voient une discrète détérioration avec une survie à 1 an de 80,4% pour les greffes 2005-2008 et 77,3% pour celles de 2009-2015.
La survie des greffons pancréatiques est meilleure dans les greffes combinées rein-pancréas que dans les greffes de pancréas isolé avec une survie à 5 ans respectivement de 70,2% et 55,7%. Cette différence est rapportée de la même façon dans les expériences internationales.

Tableau PA14. Répartition des malades déclarés vivants avec un greffon fonctionnel dans les différentes équipes de greffe pancréatique, en fonction du délai écoulé depuis les dernières nouvelles : état de la base au 31 décembre 2016 des malades ayant eu une greffe pancréatique entre 1993 et 2015 (Pancréas seul ou pancréas-rein)

 

nombre total de dossiers

Ancienneté des dernières nouvelles (en % de dossiers)

0-1 an

1-2 ans

> 2 ans*

%

%

%

Amiens (A)

4

100,0

0,0

0,0

Bordeaux **

10

50,0

30,0

20,0

Créteil Henri Mondor (AP-HP) (A)

19

100,0

0,0

0,0

Le Kremlin Bicêtre - Villejuif Paul Brousse (AP-HP) (A)

71

69,0

12,7

18,3

Lyon (HCL) (A)

279

100,0

0,0

0,0

Montpellier La Peyronie (A)

29

75,9

24,1

0,0

Nancy (A)

6

83,3

16,7

0,0

Nantes (A )

229

68,1

28,8

3,1

Paris Pitié-Salpêtrière (AP-HP) **

21

47,6

14,3

38,1

Paris Saint-Louis (AP-HP) (A)

103

85,4

11,7

2,9

Rouen **

1

100,0

0,0

0,0

Strasbourg Hôpital Civil (A )

15

100,0

0,0

0,0

Toulouse Rangueil (A)

63

85,7

14,3

0,0

Total

850

83,2

12,9

3,9

* pourcentage de dossiers dont les dernières nouvelles datent de plus de 2 ans ou sont manquantes
** Equipe de suivi sans autorisation d'activité de greffe pancréatique
Données extraites de CRISTAL le 01/03/2017

     

En 2016, le pourcentage de malades pour lesquels le suivi n’est pas renseigné depuis plus d’un an est de 17%. Le taux de dossiers dont la mise à jour date de plus de deux ans ou est manquante est extrêmement variable d’une équipe à l’autre.

Tableau PA15. Estimation du nombre de malades porteurs d’un greffon pancréatique fonctionnel au 31 décembre 2016, par équipe de suivi (Pancréas seul ou pancréas-rein)

Equipe de suivi

Nombre de malades n'ayant pas fait l'objet d'une déclaration de décès ou d'arrêt de fonction du greffon

Nombre malades suivis (dernières nouvelles<=18 mois)

Nombre estimé de malades vivants avec greffon fonctionnel au 31/12/2016

Amiens (A)

5

4

5

Bordeaux *

11

7

9

Clermont-Ferrand*

1

0

0

Créteil Henri Mondor (AP-HP) (A)

20

20

20

Le Kremlin Bicêtre - Villejuif Paul Brousse (AP-HP) (A)

83

67

75

Lyon (HCL) (A)

334

305

312

Montpellier La Peyronie (A)

35

34

35

Nancy (A)

7

6

6

Nantes (A )

271

247

256

Paris Necker*

3

0

0

Paris Pitié-Salpêtrière (AP-HP)*

35

11

17

Paris Saint-Louis (AP-HP) (A)

129

102

113

Paris Tenon*

1

0

0

Rouen*

1

1

1

Strasbourg Hôpital Civil (A )

19

16

17

Toulouse Rangueil (A)

76

73

75

Total

1031

893

941

* Equipe de suivi sans autorisation d'activité de greffe pancréatique
Données extraites de CRISTAL le 01/03/2017

     

Etant donné l’absence d’exhaustivité des données de suivi des malades greffés pancréatiques, il n’est pas possible d’obtenir le nombre de malades porteurs d’un greffon fonctionnel par simple interrogation de Cristal. En effet, au 31 décembre 2016, 17% des malades greffés pancréatiques entre 1993 et 2015 restaient sans nouvelles depuis plus d’un an. Ainsi, l’estimation de ce nombre a été effectuée en deux étapes basées sur l’ancienneté des données de suivi du malade. Dans un premier temps, nous avons dénombré les porteurs d’un greffon fonctionnel dans Cristal (malades déclarés vivants sans arrêt de fonction du greffon) dont les dernières nouvelles dataient de moins de 18 mois (suivi annuel obligatoire dans Cristal). Pour les malades qui n’avaient pas fait l’objet d’une déclaration de décès ou d’arrêt de fonction du greffon et dont le dernier suivi datait de plus de 18 mois, le nombre de porteurs d’un greffon fonctionnel a été estimé en leur appliquant les taux de survie du greffon estimés sur la population globale.
Le nombre total de porteurs d’un greffon fonctionnel correspond à la somme de ces deux valeurs. Le chiffre ainsi estimé est encadré par deux bornes :

  • la borne inférieure correspond à l’hypothèse la plus pessimiste, selon laquelle les malades non suivis sont considérés comme en arrêt fonctionnel de greffon ou décédés. Cela signifie que seuls les greffés qui n’avaient pas fait l’objet d’une déclaration de décès ou d’arrêt de fonction du greffon au 31 décembre de l’année et dont les données de suivi dataient de moins de 18 mois étaient porteurs d’un greffon fonctionnel à cette date ;
  • la borne supérieure correspond à l’hypothèse la plus optimiste, selon laquelle les malades non suivis sont considérés comme porteurs d’un greffon fonctionnel. En d’autres termes, tous les greffés qui n’avaient pas fait l’objet d’une déclaration de décès ou d’arrêt de fonction du greffon au 31 décembre de l’année, quelle que soit l’ancienneté des données de suivi, étaient vivants et porteurs d’un greffon fonctionnel à cette date.

Le nombre de malades porteurs d’un greffon fonctionnel est un indicateur important de la charge de travail des équipes médico-chirurgicales de greffe qui doivent assumer le suivi d’une cohorte chaque année grandissante de malades sous traitement immunosuppresseur. Le nombre estimé de porteurs de greffon pancréatique fonctionnel en France est de 941 au 31 décembre 2016.

Figure PA2. Survie globale du greffon rénal et du greffon pancréatique après greffe combinée de rein-pancréas (1996-2015)

Figure PA2. Survie globale du    greffon rénal et du greffon pancréatique après greffe combinée de    rein-pancréas (1996-2015)

 

Greffon

N

Survie à 1 mois

Survie à 1 an

Survie à 5 ans

Survie à 10 ans

Survie à 15 ans

Médiane de
survie (mois)

Pancréas

1311

86,2%
[84,3% - 88,0%]

79,5%
[77,2% - 81,6%]

70,2%
[67,6% - 72,7%]

58,0%
[54,8% - 61,0%]

NO

NO

nombre de sujets à risque*

 

1121

1007

693

315

89

 

Rein

1311

97,2%
[96,2% - 98,0%]

94,2%
[92,7% - 95,3%]

83,2%
[81,0% - 85,2%]

69,6%
[66,5% - 72,5%]

NO

NO

nombre de sujets à risque*

 

1265

1193

826

394

100

 

[] : Intervalle de confiance
NO : non observable
* : Nombre de malades restant à observer pour chaque temps et pour lesquels aucun évènement n'est survenu

     

Figure PA3. Survie du greffon pancréatique après greffe combinée de rein-pancréas selon la période de greffe

Figure PA3. Survie du greffon    pancréatique après greffe combinée de rein-pancréas selon la période de    greffe

 

Période de greffe

N

Survie à 1 mois

Survie à 1 an

Survie à 5 ans

Survie à 10 ans

Survie à 15 ans

Médiane de
survie (mois)

1985-1989

95

85,0%
[76,0% - 90,8%]

65,6%
[55,0% - 74,3%]

44,1%
[33,9% - 53,9%]

26,9%
[18,4% - 36,2%]

NO

38,9
[16,4 - 69,4]

nombre de sujets à risque*

 

79

61

41

25

15

 

1990-1994

217

88,2%
[83,0% - 91,8%]

69,1%
[62,4% - 74,9%]

52,3%
[45,4% - 58,8%]

39,9%
[33,2% - 46,5%]

24,8%
[18,9% - 31,0%]

68,5
[38,8 - 101,0]

nombre de sujets à risque*

 

185

145

107

77

43

 

1995-1999

243

88,4%
[83,7% - 91,9%]

77,3%
[71,5% - 82,1%]

63,5%
[57,1% - 69,2%]

48,5%
[42,0% - 54,7%]

35,4%
[29,3% - 41,6%]

113,8
[84,8 - 142,3]

nombre de sujets à risque*

 

214

187

149

111

76

 

2000-2004

308

88,5%
[84,3% - 91,6%]

82,6%
[77,8% - 86,4%]

71,7%
[66,2% - 76,4%]

59,4%
[53,6% - 64,7%]

NO

NO

nombre de sujets à risque*

 

269

251

215

166

27

 

2005-2008

322

84,5%
[80,0% - 88,0%]

80,4%
[75,7% - 84,4%]

70,9%
[65,6% - 75,6%]

60,8%
[54,7% - 66,2%]

NO

NO

nombre de sujets à risque*

 

272

259

221

58

0

 

2009-2015

488

85,1%
[81,6% - 88,0%]

77,3%
[73,3% - 80,8%]

72,5%
[68,0% - 76,4%]

NO

NO

NO

nombre de sujets à risque*

 

409

346

136

0

0

 

 [] : Intervalle de confiance
NO : non observable
* : Nombre de malades restant à observer pour chaque temps et pour lesquels aucun évènement n'est survenu

     

La comparaison des courbes de survie des greffons montre une amélioration significative (p < 0,001, test du Log-Rank) des résultats selon les cohortes de greffe : 1985-1989, 1990-1994, 1995-1999 puis 2000-2004 avec des survies à 1 an de 66%, 69%, 77% et 83% et à 5 ans de 44%, 52%, 64% et 72% respectivement. Les courbes des périodes 2005-2008 et 2009-2015 mettent en évidence un taux de survie à 1 an de respectivement 80% et 77%, et à 5 ans de 71% et 73%.  Sous réserve d’un taux de remplissage des suivis à un an pour les greffes réalisées en 2015 satisfaisant, le taux de survie à un an présente donc une diminution.

Figure PA4. Survie du greffon pancréatique selon type de greffe pancréatique (1996-2015)

Figure PA4. Survie du greffon    pancréatique selon type de greffe pancréatique (1996-2015)

 

 

N

Survie à 1 mois

Survie à 1 an

Survie à 5 ans

Survie à 10 ans

Survie à 15 ans

Médiane de
survie (mois)

Greffe rein-pancréas

1311

86,2%
[84,3% - 88,0%]

79,5%
[77,2% - 81,6%]

70,2%
[67,6% - 72,7%]

58,0%
[54,8% - 61,0%]

NO

NO

nombre de sujets à risque*

 

1121

1007

693

315

89

 

Greffe pancréas isolé

160

81,3%
[74,3% - 86,5%]

71,2%
[63,5% - 77,6%]

55,7%
[47,3% - 63,4%]

46,6%
[37,1% - 55,6%]

NO

115,0
[50,5 - .]

nombre de sujets à risque*

 

130

108

63

26

3

 

[] : Intervalle de confiance
NO : non observable
* : Nombre de malades restant à observer pour chaque temps et pour lesquels aucun évènement n'est survenu

     

La survie des greffons pancréatiques à 1 an et à 5 ans est significativement meilleure lorsque la greffe pancréatique est combinée à une greffe rénale comme cela est rapporté dans les autres pays, faisant de ce type de greffe le traitement de référence.

Greffe d’îlots de Langerhans

La greffe d’îlots de Langerhans est réservée à des malades diabétiques de type I qui ne sont pas encore parvenus au stade d’insuffisance rénale, et qui ne justifient pas une indication de greffe de pancréas (organe) pour des raisons évidentes de rapport bénéfice/risque défavorable. Lors d’une greffe d’îlots de Langerhans, seuls les îlots de cellules du pancréas capables de sécréter de l’insuline sont injectés au malade. Le nombre d’îlots isolés à partir d’un donneur n’est pas toujours suffisant pour corriger totalement le diabète. Certains receveurs sont donc amenés à recevoir des îlots issus de plusieurs donneurs. Au 1er janvier 2016, 24 malades restaient en attente d’une greffe d’îlots et 13 malades ont été inscrits pendant l’année. Au cours de l’année 2016, 26 injections d’îlots de Langerhans ont été effectuées, soit une diminution de l’activité depuis 3 ans après un pic d’activité en 2013 avec 44 injections réalisées. Parmi celles-ci, 12 étaient une première injection, 9 une deuxième injection, 5 une troisième injection. En 2016, 24 pancréas parmi les 90 reçus à visée clinique à un laboratoire d’isolement actif ont abouti à une greffe d’îlots soit un rendement de 27 %. Avec l’ouverture du laboratoire de l’hôpital Saint-Louis à Paris qui, depuis août 2014, se rajoute à ceux de Lille, Grenoble et Genève, quatre laboratoires sont disponibles. Cependant, les échanges avec le laboratoire de Genève ont été difficiles en 2016 en raison d’une réorganisation interne.
Les résultats à long terme des protocoles mis en œuvre depuis le début de cette activité ont permis de mieux préciser la place de la greffe d’îlots dans le traitement du diabète et d’améliorer régulièrement les résultats. Les résultats compilés au niveau international indiquent, dans les derniers protocoles, une insulino indépendance qui atteint 50%, ce qui est comparable aux résultats obtenus avec une greffe de pancréas isolé. Le taux et la durée d’insulino indépendance ne sont pas analysables actuellement à partir de la base de données Cristal.
Jusqu’en 2014, les greffes d’îlots ont été réalisées exclusivement dans le cadre de protocoles de recherche. Le protocole TRIMECO, essai multicentrique contrôlé randomisé de phase 3, comparant l’efficacité métabolique de la transplantation d’îlots pancréatiques à l’insulinothérapie intensive a inclus 46 patients entre 2015 et 2016 et a apporté la preuve du bénéfice de la greffe sur un indicateur métabolique. Les résultats sont en cours de publications.
La sortie des protocoles de recherche clinique vers le passage en soin de routine va passer par une évaluation médico-économique via l’étude STABILOT (PRME 2015-2020) essai de phase 3 contrôlé randomisé, qui évaluera l’impact médico-économique de la transplantation d’îlots chez le patient DT1 présentant une instabilité métabolique grave. Ce projet, commun à toutes les équipes françaises, compare l’impact médico-économique (coût-utilité) à 1 an, de 2 stratégies : greffe d’îlots versus traitement médical optimal chez des patients avec diabète de type 1 instable. Il prévoit l’inclusion de 30 patients.
L’objectif au terme de cette étude est l’homologation de la greffe d’îlots par la HAS et le financement par la CNAM en 2021.
Par ailleurs, l’étude pilote PIM (étude de l’efficacité métabolique de la greffe combinée de poumons et d’îlots pancréatiques dans la mucoviscidose) est en cours mais restreinte à des patients particuliers.
Dans le cadre d’un passage en soin de routine, une meilleure évaluation des résultats est nécessaire et passe par la saisie des données estimant l’insulino indépendance dans la base de données Cristal.

Tableau IL1. Evolution de la liste d'attente et devenir des candidats en greffe d’îlots de Langerhans

 

2011

2012

2013

2014

2015

2016

2017

Malades restant en attente au 1er janvier de chaque année

29

31

27

19

24

24

32

Nouveaux inscrits dans l'année

17

11

15

17

11

13

 

Total candidats

46

42

42

36

35

37

.

Décédés en attente dans l'année

0

0

2

0

0

0

 

Sortis de liste d'attente

3

1

3

1

1

0

 

Nombre de malades greffés (greffe terminée)

12

14

18

11

10

5

 

Nombre total de greffons injectés*

31

30

44

31

30

26

.

* les injections comprenant 2 greffons de pancréas différents comptent pour deux injections.
Données extraites de CRISTAL le 01/03/2017

     

Tableau IL2. Evolution de l’activité de greffe d’îlots de Langerhans

 

2011

2012

2013

2014

2015

2016

Malades recevant leur 1er greffon

11

13

18

13

12

12

dont terminant la greffe: 1er greffon injecté

1

3

4

1

1

2

Malades recevant leur 2ème greffon

10

9

14

11

9

9

dont terminant la greffe: 2ème greffon injecté

3

4

4

4

2

0

Malades recevant leur 3ème greffon

9

6

11

5

7

5

dont terminant la greffe: 3ème greffon injecté

7

5

9

4

6

3

Malades recevant leur 4éme greffon

1

2

1

2

1

0

dont terminant la greffe: 4ème greffon injecté

1

2

1

2

0

0

Remarque : dans ce tableau les injections comprenant 2 greffons de pancréas différents comptent pour deux injections.
Données extraites de CRISTAL le 01/03/2017

     

Tableau IL3. Evolution des injections multi donneurs de greffe d’îlots de Langerhans

 

2011

2012

2013

2014

2015

2016

Nombre de cas par an avec 2 greffons de pancréas différents dans l’injection

2

0

3

2

1

0

Nombre de cas par an avec 3 greffons de pancréas différents dans l’injection

0

0

0

0

0

0

Données extraites de CRISTAL le 01/03/2017

     

Tableau IL4. Liste d'attente et devenir des candidats en greffe d'îlots de Langerhans par équipe en 2016

 

Malades restant en attente au 1er janvier 2016

Malades restant en attente au 1er janvier 2017

Nouveaux inscrits

Nombre de malades greffés (greffe terminée)

Nombre total de greffons injectés

Besançon (A)

1

1

0

0

1

Paris Saint-Louis (AP-HP) (A)

5

4

0

1

2

Grenoble (A)

0

2

2

0

0

Lille Clinique Marc Linquette (A)

3

7

5

1

12

Lyon (HCL) (A)

2

2

0

0

2

Montpellier La Peyronie (A)

1

1

1

1

3

Nancy

1

1

0

0

0

Le Kremlin Bicêtre (AP-HP) (A)

8

8

0

0

1

Strasbourg Hôpital Civil (A)

3

6

5

2

5

Remarque : dans ce tableau les injections comprenant 2 greffons de pancréas différents comptent pour deux injections.
Données extraites de CRISTAL le 01/03/2017

     

Tableau IL5. Répartition des malades déclarés vivants avec un greffon fonctionnel dans les différentes équipes de greffe d’îlots de Langerhans, en fonction du délai écoulé depuis les dernières nouvelles : état de la base au 31 décembre 2016 des malades ayant eu une greffe d’îlots de Langerhans entre 2008 et 2015

 

nombre total de dossiers

Ancienneté des dernières nouvelles (en % de dossiers)

0-1 an

1-2 ans

> 2 ans*

%

%

%

Besançon (A)

3

33,3

0,0

66,7

Grenoble (A)

14

57,1

21,4

21,4

Lille Clinique Marc Linquette (A)

23

95,7

0,0

4,3

Lyon (HCL) (A)

2

100,0

0,0

0,0

Montpellier La Peyronie (A)

10

40,0

20,0

40,0

Nancy **

1

100,0

0,0

0,0

Strasbourg Hôpital Civil (A)

19

42,1

0,0

57,9

Suresnes Foch (A)

3

66,7

33,3

0,0

Total

75

64,0

8,0

28,0

* pourcentage de dossiers dont les dernières nouvelles datent de plus de 2 ans ou sont manquantes
** Equipe de suivi sans autorisation d'activité de greffe pancréatique
Données extraites de CRISTAL le 01/03/2017

     

En 2016, le pourcentage de malades pour lesquels le suivi n’est pas renseigné depuis plus d’un an est de 36%. Le taux de dossiers dont la mise à jour date de plus de deux ans ou est manquante est extrêmement variable d’une équipe à l’autre. Les données manquantes sont très préjudiciables dans cette phase d’évaluation finale.

Tableau IL6. Suivis après la première greffe d’îlots de Langerhans (2008-2015)

Suivis

Nombre de suivis attendus

Hémoglobine glycosylée ou HbA1C

Besoins journaliers en insuline (UI/24h)

C peptide à jeun (ng/mL)

N suivis saisis

% suivis manquants

moyenne

N suivis saisis

% suivis manquants

% de PID

moyenne (hors PID)

N suivis saisis

% suivis manquants

moyenne

à l'inscription

85

11

87%

NC

12

86%

0%

NC

15

82%

NC

à la 1ère injection

85

72

15%

8,2

69

19%

0%

34,6

66

22%

NC

1 an

82

32

61%

NC

14

60%

58%

NC

30

63%

NC

2 ans

79

35

56%

NC

16

56%

54%

NC

31

61%

NC

3 ans

67

34

49%

NC

12

52%

63%

NC

31

54%

NC

4 ans

54

33

39%

NC

16

50%

41%

NC

30

44%

NC

5 ans

39

25

36%

NC

14

38%

42%

NC

19

51%

NC

PID : patient insulino indépendant
NC : non calculable car % de données manquantes supérieur à 20%.
Données extraites de CRISTAL le 01/03/2016

     

Tableau IL7. Activité des laboratoires d’isolement d’îlots de Langerhans à partir des donneurs prélevés en France (source : rapport d'activité d'isolement d’îlots de Langerhans de 2011 à 2014)

Laboratoire

Année

Nombre de Pancréas organe reçus

Pancréas envoyé en anatomo-pathologie

Echec d'isolement

Isolement à but scientifique

Isolement ayant abouti à une greffe

Montpellier

2011

11

7

0

4

0

Montpellier

2012

12

6

0

6

0

Montpellier

2013

9

4

0

5

0

Montpellier

2014

5

0

0

5

0

Grenoble

2011

8

0

4

0

4

Grenoble

2012

9

0

6

0

3

Grenoble

2013

7

0

2

0

5

Grenoble

2014

4

0

2

0

2

Lille

2011

57

0

42

0

15

Lille

2012

53

0

42

0

11

Lille

2013

47

0

32

0

15

Lille

2014

60

0

46

4

10

Paris Saint-Louis

2011

11

0

0

11

0

Paris Saint-Louis

2012

5

0

0

5

0

Paris Saint-Louis

2013

3

0

0

3

0

Paris Saint-Louis

2014

7

0

1

4

2

Genève

2011

31

0

19

0

12

Genève

2012

41

0

24

0

17

Genève

2013

36

0

12

0

24

Genève

2014

33

0

18

0

15

Total

2011

118

7

65

15

31

Total

2012

120

6

72

11

31

Total

2013

102

4

46

8

44

Total

2014

109

0

67

13

29

Remarque : le nombre de pancréas reçus pour greffe d’ilots de Langerhans est supérieur à celui du tableau PA7 en raison de l’importation de pancréas suisses.

     

Tableau IL8. Activité des laboratoires d’isolement d’îlots de Langerhans à partir des donneurs prélevés en France (source : rapport d'activité d'isolement d’îlots de Langerhans à partir de 2015)

Laboratoire

Année

Visée Clinique

Visée scientifique

Nombre de Pancréas organe reçus

Pancréas envoyé en anatomo-pathologie sans isolement

Isolement ayant abouti à une greffe

Echec d'isolement

Nombre de Pancréas organe reçus

Pancréas envoyé en anatomo-pathologie sans isolement

Isolement réalisé

Echec d'isolement

Genève

2015

35

0

17

18

0

.

.

.

Genève

2016

27

0

10

17

0

.

.

.

Grenoble

2015

1

0

0

1

0

.

.

.

Grenoble

2016

5

0

0

5

0

.

.

.

Lille

2015

40

0

9

31

16

1

15

0

Lille

2016

46

0

12

34

6

0

6

0

Montpellier

2015

0

.

.

.

11

2

8

1

Montpellier

2016

0

.

.

.

7

1

6

0

Paris Saint-Louis

2015

10

0

3

7

0

.

.

.

Paris Saint-Louis

2016

12

0

2

10

0

.

.

.

Total

2015

86

0

29

57

27

3

23

1

Total

2016

90

0

24

66

13

1

12

0

Remarque : le nombre de pancréas reçus pour greffe d’ilots de Langerhans est supérieur à celui du tableau PA7 en raison de l’importation de pancréas suisses.

     

Greffe pancréatique et greffe d’îlots de Langerhans

Tableau PAIL1. Evolution de la liste d'attente et devenir des candidats en greffe pancréatique et en greffe d’îlots de Langerhans

 

2011

2012

2013

2014

2015

2016

Malades restant en attente au 1er janvier de chaque année

177

176

192

197

224

245

Greffes pancréatique

73

72

85

79

78

90

Greffes d’îlots de Langerhans

12

14

18

11

10

5

Nombre total de greffons d’îlots de Langerhans injectés

31

30

44

31

30

26

Remarque : dans ce tableau les injections comprenant 2 greffons de pancréas différents comptent pour deux injections.

     

Conclusion

En 2016, l’activité de la greffe pancréatique se redresse après deux années de régression grâce à la mobilisation de la communauté des transplanteurs et de l’Agence de la biomédecine. La poursuite de cet effort est indispensable pour répondre aux besoins et permettre un accès satisfaisant à la greffe combinée pancréas-rein reconnue comme le meilleur traitement du diabète de type 1 en insuffisance rénale sévère. La mortalité observée chez les patients diabétiques en dialyse fait qu’il y a une nécessité vitale à augmenter cette activité dont les résultats sont en constant progrès avec actuellement l’obtention d’une insulino-indépendance à 5 ans chez 70% des patients (ref ?). L’élargissement des critères d’accès à une catégorie prioritaire permettant l’éligibilité de candidats plus âgés va dans ce sens. Les caractéristiques cliniques « optimales » exigées pour les donneurs dans un contexte de vieillissement de ces donneurs est une des difficultés de ces greffes. Un recensement et des propositions aux équipes plus exhaustifs des pancréas, associés à l’élaboration de critères cliniques et paracliniques d’évaluation communs doivent permettre d’augmenter le nombre de pancréas prélevé. L’extension au pancréas des prélèvements de donneurs décédés après arrêt circulatoire contrôlé (catégorie Maastricht III) doit débuter en 2017 et devrait contribuer à augmenter le nombre de pancréas proposés. La difficulté technique du prélèvement et la nécessité de déplacer les équipes chirurgicales représentent le frein principal au développement de cette activité de greffe. La mutualisation du prélèvement, favorisée par la formation de nouveaux chirurgiens à ce type de prélèvement et de greffe mais aussi par l’organisation de réseaux sont des solutions à ces difficultés. Pour la greffe d’îlots de Langerhans, l’objectif est d’inscrire à moyen terme dans les soins de routine cette activité de recherche, dont les indications et l’efficacité sont démontrées, en assurant une continuité de son financement dans cette période intermédiaire grâce au protocole nationale d’évaluation médico-économique mis en place en 2015.