Résumé de l’activité
L’activité cumulée de greffe hépatique est de 26 114, dont 491 greffes réalisées à partir de donneurs vivants depuis 1998. Le nombre estimé de malades porteurs d’un greffon fonctionnel au 31 décembre 2016 est de 13 194 (dont 305 dans des équipes médicales n’ayant plus d’autorisation de greffe).
Tableau F1. Evolution de la liste d'attente et devenir des candidats en greffe hépatique
|
2011 |
2012 |
2013 |
2014 |
2015 |
2016 |
2017 |
Liste d'attente |
|
|
|
|
|
|
|
- malades restant en attente au 1er janvier de chaque année |
932 |
941 |
1106 |
1266 |
1298 |
1265 |
1356 |
dont malades en attente au 1er janvier et en CIT |
250 |
299 |
285 |
419 |
563 |
632 |
654 |
% des malades en CIT parmi les malades en attente au 01/01 |
27% |
32% |
26% |
33% |
43% |
50% |
48% |
- nouveaux inscrits dans l'année |
1532 |
1724 |
1822 |
1790 |
1757 |
1824 |
|
- décédés dans l'année |
137 |
184 |
209 |
216 |
184 |
162 |
|
% de décès parmi les inscrits* |
5,6% |
6,9% |
7,1% |
7,1% |
6,0% |
5,2% |
|
- sortis de la liste d'attente |
222 |
214 |
212 |
262 |
251 |
249 |
|
dont sortis de la liste d'attente pour aggravation |
105 |
109 |
116 |
138 |
122 |
114 |
|
Greffes |
1164 |
1161 |
1241 |
1280 |
1355 |
1322 |
|
- dont greffes avec donneur vivant apparenté |
14 |
9 |
13 |
12 |
15 |
5 |
|
- dont greffes avec donneur vivant domino |
19 |
8 |
7 |
5 |
9 |
5 |
|
- dont greffes avec donneur DDAC MI-II |
5 |
3 |
2 |
4 |
2 |
1 |
|
- dont greffes avec donneur DDAC MIII |
|
|
|
|
6 |
22 |
|
Greffes (pmh) |
17,9 |
17,7 |
18,9 |
19,3 |
20,4 |
19,8 |
|
* receveurs en attente au 1er janvier de l'année en cours + nouveaux inscrits
pmh : par million d'habitant
CIT : contre-indication temporaire
Données extraites de CRISTAL le 02/03/2017
DDAC MI-II = Donneur décédé après arrêt circulatoire suite à un arrêt cardiaque inopiné
DDAC MIII=Donneur décédé après arrêt circulatoire suite à la limitation ou l’arrêt des thérapeutiques
Devenir des candidats en liste d’attente
Liste d’attente
Avec un taux de 26,4 pmh et un total de 1824 patients, le nombre de malades nouvellement inscrits a progressé de 3,8% en 1 an et de 19% en 5 ans, après deux années de baisse consécutive (- 4% au total). Il existe une forte disparité régionale. Parmi ces nouvelles inscriptions, 97 concernent des enfants de moins de 18 ans et 1727 des candidats adultes. La moyenne d’âge des nouveaux inscrits est passée de 47,8 ans en 2005 à 52,2 ans depuis 2014. Ce vieillissement de la population des patients en attente de greffe hépatique s’explique surtout par la hausse de 104,2% en 10 ans du nombre de patients âgés de 56 à 65 ans, représentant désormais 41,5% des nouveaux inscrits (contre 29,3% en 2005), et la hausse du nombre de patients de 66 ans et plus, multiplié par 3 en 5 ans et progressant de 23% en un an, pour représenter 11,3% des nouveaux inscrits en 2016. La part de nouveaux inscris âgés de 30 à 55 ans a diminué, passant de 55,4% en 2005 à 37,3 % en 2016. Le nombre d’inscriptions pour retransplantation (élective ou non) a baissé de 160 à 149 par an entre les années 2012-2013 et 2016, représentant désormais près de 8% des indications contre 10% en 2006 et 2008.
Le nombre de malades en attente au 1er janvier et en CIT a beaucoup progressé ces 5 dernières années. Alors que la part des malades en CIT était proche de 10% (autour de 50 malades) avant 2006, elle oscille depuis deux ans entre 48 et 50% des receveurs en attente au 1er janvier, soit 654 malades au 1er janvier 2017. Parmi les malades en CIT au 1er janvier 2016, la part de ceux inscrits dans la composante CHC progresse régulièrement et atteint cette année 53,3% contre 36,4% pour ceux inscrits dans la composante cirrhose isolée. Dans près de 68% des cas, il s’agit d’une CIT de longue durée (> 1 an) signifiant clairement le report du projet de greffe. Le thésaurus des motifs de mise en CIT a été enrichi en janvier 2011, de manière à mieux comprendre les raisons menant à la mise en CIT de près de la moitié des malades en attente un jour donné. Une des explications possibles est que la durée d’attente est désormais un paramètre important dans le calcul du score Foie pour les malades avec CHC et, en cas d’amélioration de la maladie initiale et dans la crainte d’une récidive, les malades sont mis en CIT (23% des motifs de CIT des patients inscrits dans les composantes CHC et cirrhose isolée). Il peut s’agir aussi d’une meilleure connaissance de l’outil CRISTAL par les professionnels et d’un recours plus fréquent à la mise en CIT comme modalité de gestion de la liste d’attente en particulier dans l’attente du résultat d’un down staging chez un malade présentant un CHC trop volumineux. En effet, « bilan avant greffe » représente près de 20% des motifs de CIT parmi les malades inscrits dans les composantes CHC et cirrhose isolée, et « traitement en cours » représente 7,5% des motifs de CIT des patients inscrits dans la composante CHC.
Le nombre de malades restant inscrits au début de l’année 2017 et actifs sur la liste est de 702 malades contre 847 au début de l’année 2014 et 735 au début de l’année 2015, soit une baisse de 17% en 3 ans du nombre des malades éligibles pour la greffe un jour donné. Le nombre de receveurs en attente au 1er janvier pour un greffon hors malade en CIT est estimé à 0,5 en 2016 contre 0,7 en 2013 et 2014.
Depuis 2014, le carcinome hépatocellulaire (CHC) est devenu la principale indication de greffe (31,5 % des nouveaux inscrits) avec un taux qui a progressé de 2,5 pmh en 2006 à 8,6 pmh en 2016. La cirrhose alcoolique est désormais la seconde indication avec 25,4% des nouveaux inscrits. Après une progression de cette indication de 52% entre 2007 et 2012, son taux est stable autour de 7 pmh depuis 4 ans. Les inscriptions pour cirrhose post-hépatite C ont reculé de manière significative, le taux étant passé de 2,8 en 2013 à 1,1 pmh en 2016. Viennent ensuite les indications de retransplantation élective, pathologie métabolique et hépatite fulminante pour respectivement 5,7%, 3,7% et 3,3% des nouveaux inscrits. Ces chiffres doivent être interprétés avec précaution car l’indication principale de greffe n’est pas toujours aisée à déterminer selon la présentation terminale de la maladie hépatique (cirrhose, hépatite fulminante, carcinome hépatocellulaire ou encore récidive virale sur le premier greffon), dans un contexte souvent multifactoriel (alcool, infection par le virus de l’hépatite B et/ou C, intoxication médicamenteuse…).
Une attention particulière a été portée sur les nouveaux inscrits porteurs du marqueur de l’hépatite C (sérologie et/ou charge virale positive). Le nombre d’inscription a baissé de 30,2% entre 2013 et 2016. Parmi ces inscrits, plusieurs inversions de tendance ont été observées :
- Une très nette inversion des indications de greffe, l’indication carcinologique prédominant maintenant nettement sur l’indication cirrhogène (CHC 54% en 2016 vs 30% en 2006), avec en corollaire un vieillissement des inscrits, la moyenne d’âge ayant progressée de 52.5 ans en 2006 à 56.3 ans en 2016 ;
- Une baisse du taux de décès parmi les inscrits passant de 7,7% en 2013 à 3,5% en 2016;
- Une augmentation des sorties de liste pour autre que aggravation (amélioration ou désir du patient) de 82% entre la période [2011 2012 2013] et la période [2014 2015 2016] ;
- Une augmentation considérable du nombre de malades mis en contrindication temporaire de 23% à 60% entre 2013 et 2016.
On observe un recul de 4,6% des inscrits pour cirrhose « isolée » en 5 ans (c'est-à-dire sans CHC), qu’elle soit virale, alcoolique, toxique ou autre, représentant désormais 48% des nouvelles inscriptions (contre 52-54% avant 2014). La répartition des MELD à l’inscription dépend de l’indication de greffe. Pour les cirrhoses isolées, le pourcentage de nouveaux inscrits avec MELD bas (<15) est passé de 28 à 19,8% entre 2007 et 2016, reflet probable du caractère prématuré de la greffe pour ces malades à l’exception de ceux présentant des complications type ascite réfractaire et pouvant bénéficier de la composante experts. Après une croissance de près de 150% observée entre 2007 et 2013, le nombre de nouveaux inscrits pour cirrhose isolée avec MELD haut (>30) représente désormais moins d’un tiers des nouveaux inscrits pour cirrhose isolée (28,2% en 2016). En 2016, 74,8% des patients porteurs d’un CHC ont un MELD à l’inscription inférieur à 15, et 90,6% ont un MELD inférieur à 20. Pour les malades en attente d’une retransplantation, 42,4% ont un MELD inférieur à 20, et 31% un MELD élevé (> 30).
La répartition des valeurs du MELD ayant servi à l’allocation des greffons est différente du fait du modèle gravitaire, de l’aggravation potentielle durant la phase d’attente et de l’obtention de la composante expert pour certaines indications (poids du MELD dans le calcul du score Foie) avec toutefois 11,9% des malades greffés pour cirrhose isolée présentant un MELD < 20 (dont 25 malades (5,4%) avec MELD < 15). La part des malades greffés relevant de la composante CHC a atteint 34,5% en 2016 contre 35% en 2015 et 30% les années précédentes. Enfin, 267 malades (20,2%) ont été greffés via le Score Foie grâce à l’obtention d’une composante experts et 86,7% d’entre eux avaient une valeur de MELD < 20 au moment de la proposition du greffon, sous réserve d’une mise à jour des données relatives au score Foie pour ces malades.
Tableau F2. Evolution des principaux indicateurs de pénurie en greffe hépatique
|
2011 |
2012 |
2013 |
2014 |
2015 |
2016 |
Nouveaux inscrits pour un greffon |
1,3 |
1,5 |
1,5 |
1,4 |
1,3 |
1,4 |
Receveur en attente au 1er janvier pour un greffon |
0,8 |
0,8 |
0,9 |
1,0 |
1,0 |
1,0 |
Receveur en attente au 1er janvier pour un greffon hors malade en CIT |
0,6 |
0,6 |
0,7 |
0,7 |
0,5 |
0,5 |
Total candidats pour un greffon |
2,1 |
2,3 |
2,4 |
2,4 |
2,3 |
2,3 |
CIT : Contre-indication temporaire
Données extraites de CRISTAL le 02/03/2017
L’évolution de la pénurie peut être mesurée par 4 indicateurs :
- le nombre de receveurs en attente au 1er janvier de l’année pour un greffon (1,0 receveur début 2016 pour un greffon hépatique utilisable) ;
- le nombre de nouveaux inscrits pour un greffon (1,4 inscrits en 2016 pour un greffon utilisable)
- le nombre total de candidats pour un greffon (2,3 candidats en 2016 pour un greffon utilisable dans l’année)
- le nombre receveurs en attente au 1er Janvier de l’année pour un greffon hors malade en CIT (0,5 receveur début 2016 pour un greffon hépatique utilisable hors malade en CIT)
Tableau F3. Caractéristiques démographiques des donneurs de foie et des malades inscrits selon leur devenir en liste d'attente de greffe de foie en 2016
Caractéristiques |
Greffons hépatiques greffés en 2016* |
Malades en attente au 1er janvier 2016 |
Nouveaux malades inscrits en 2016 |
Malades greffés en 2016 |
Malades décédés en 2016 |
Malades sortis pour aggravation en 2016 |
||||||
N |
% |
N |
% |
N |
% |
N |
% |
N |
% |
N |
% |
|
Age |
||||||||||||
0-17 ans |
47 |
3,6 |
59 |
4,7 |
97 |
5,3 |
84 |
6,4 |
3 |
1,9 |
0 |
0,0 |
18-29 ans |
157 |
11,9 |
41 |
3,2 |
77 |
4,2 |
58 |
4,4 |
3 |
1,9 |
0 |
0,0 |
30-55 ans |
428 |
32,4 |
436 |
34,5 |
681 |
37,3 |
475 |
35,9 |
51 |
31,5 |
31 |
27,2 |
56-65 ans |
240 |
18,2 |
542 |
42,8 |
762 |
41,8 |
544 |
41,1 |
71 |
43,8 |
54 |
47,4 |
>=66 ans |
450 |
34,0 |
187 |
14,8 |
207 |
11,3 |
161 |
12,2 |
34 |
21,0 |
29 |
25,4 |
(m±ds,ans) |
55,0 |
20,1 |
54,3 |
14,3 |
52,2 |
15,5 |
52,0 |
16,1 |
56,6 |
12,4 |
60,5 |
7,0 |
Sexe |
||||||||||||
Masculin |
700 |
53,0 |
953 |
75,3 |
1310 |
71,8 |
951 |
71,9 |
115 |
71,0 |
94 |
82,5 |
Féminin |
622 |
47,0 |
312 |
24,7 |
514 |
28,2 |
371 |
28,1 |
47 |
29,0 |
20 |
17,5 |
Groupe sanguin |
||||||||||||
A |
553 |
41,8 |
490 |
38,7 |
763 |
41,8 |
557 |
42,1 |
60 |
37,0 |
50 |
43,9 |
AB |
48 |
3,6 |
37 |
2,9 |
65 |
3,6 |
59 |
4,5 |
7 |
4,3 |
3 |
2,6 |
B |
132 |
10,0 |
141 |
11,1 |
200 |
11,0 |
158 |
12,0 |
16 |
9,9 |
12 |
10,5 |
O |
589 |
44,6 |
597 |
47,2 |
796 |
43,6 |
548 |
41,5 |
79 |
48,8 |
49 |
43,0 |
Retransplantation |
||||||||||||
Non |
NA |
NA |
1205 |
95,3 |
1675 |
91,8 |
1212 |
91,7 |
148 |
91,4 |
110 |
96,5 |
Oui |
NA |
NA |
60 |
4,7 |
149 |
8,2 |
110 |
8,3 |
14 |
8,6 |
4 |
3,5 |
Total |
1322 |
100,0 |
1265 |
100,0 |
1824 |
100,0 |
1322 |
100,0 |
162 |
100,0 |
114 |
100,0 |
* greffons issus de donneur vivant inclus
NA=Non Applicable
Données extraites de CRISTAL le 02/03/2017
Tableau F3Bis. Répartition de la composante du score foie des malades inscrits selon leur devenir en liste d'attente de greffe de foie en 2016
Caractéristiques |
Malades en attente au 1er janvier 2016 |
Nouveaux malades inscrits en 2016 |
Malades greffés en 2016 |
Malades décédés en 2016 |
Malades sortis pour aggravation en 2016 |
|||||
N |
% |
N |
% |
N |
% |
N |
% |
N |
% |
|
Composante |
|
|
|
|
|
|
|
|
|
|
Autres |
61 |
4,8 |
87 |
4,8 |
59 |
4,5 |
7 |
4,3 |
0 |
0,0 |
Carcinome hépatocellulaire |
639 |
50,5 |
662 |
36,3 |
463 |
35,0 |
54 |
33,3 |
80 |
70,2 |
Cirrhose |
496 |
39,2 |
894 |
49,0 |
666 |
50,4 |
86 |
53,1 |
28 |
24,6 |
Retransplantation |
60 |
4,7 |
150 |
8,2 |
111 |
8,4 |
14 |
8,6 |
4 |
3,5 |
Tumeur non CHC |
9 |
0,7 |
31 |
1,7 |
23 |
1,7 |
1 |
0,6 |
2 |
1,8 |
Total |
1265 |
100,0 |
1824 |
100,0 |
1322 |
100,0 |
162 |
100,0 |
114 |
100,0 |
Données extraites de CRISTAL le 02/03/2017
Tableau F4. Evolution du nombre de nouveaux inscrits en attente d'une greffe hépatique selon l’indication principale et incidence par million d'habitants (pmh)
Indication |
2011 |
2012 |
2013 |
2014 |
2015 |
2016 |
||||||||||||
N |
% |
pmh |
N |
% |
pmh |
N |
% |
pmh |
N |
% |
pmh |
N |
% |
pmh |
N |
% |
pmh |
|
Cirrhose alcoolique |
||||||||||||||||||
Cirrhose alcoolique |
415 |
27,1 |
6,4 |
483 |
28,0 |
7,4 |
507 |
27,8 |
7,7 |
460 |
25,7 |
7,0 |
487 |
27,7 |
7,3 |
464 |
25,4 |
6,9 |
Cirrhose post-hépatite (B, C ou D) |
||||||||||||||||||
Cirrhose post-hépatite C |
139 |
9,1 |
2,1 |
163 |
9,5 |
2,5 |
183 |
10,0 |
2,8 |
124 |
6,9 |
1,9 |
80 |
4,6 |
1,2 |
74 |
4,1 |
1,1 |
Cirrhose post-hépatite B ou B+D |
25 |
1,6 |
0,4 |
30 |
1,7 |
0,5 |
31 |
1,7 |
0,5 |
36 |
2,0 |
0,5 |
30 |
1,7 |
0,5 |
39 |
2,1 |
0,6 |
Tumeur hépatique |
||||||||||||||||||
Carcinome hépatocellulaire |
412 |
26,9 |
6,3 |
460 |
26,7 |
7,0 |
475 |
26,1 |
7,2 |
552 |
30,8 |
8,3 |
530 |
30,2 |
8,0 |
574 |
31,5 |
8,6 |
Autre tumeur maligne |
23 |
1,5 |
0,4 |
24 |
1,4 |
0,4 |
22 |
1,2 |
0,3 |
14 |
0,8 |
0,2 |
19 |
1,1 |
0,3 |
30 |
1,6 |
0,4 |
Autre tumeur bénigne |
2 |
0,1 |
0,0 |
2 |
0,1 |
0,0 |
1 |
0,1 |
0,0 |
0 |
0,0 |
0 |
2 |
0,1 |
0,0 |
0 |
0,0 |
0 |
Défaillance hépatique aigue |
||||||||||||||||||
Hépatite fulminante |
48 |
3,1 |
0,7 |
53 |
3,1 |
0,8 |
76 |
4,2 |
1,2 |
64 |
3,6 |
1,0 |
76 |
4,3 |
1,1 |
61 |
3,3 |
0,9 |
Autre insuffisance hépatite aigue |
19 |
1,2 |
0,3 |
14 |
0,8 |
0,2 |
18 |
1,0 |
0,3 |
27 |
1,5 |
0,4 |
22 |
1,3 |
0,3 |
25 |
1,4 |
0,4 |
Pathologie biliaire |
||||||||||||||||||
Cirrhose d'origine biliaire |
34 |
2,2 |
0,5 |
39 |
2,3 |
0,6 |
38 |
2,1 |
0,6 |
40 |
2,2 |
0,6 |
57 |
3,2 |
0,9 |
43 |
2,4 |
0,6 |
Atrésie des voies biliaires |
40 |
2,6 |
0,6 |
33 |
1,9 |
0,5 |
35 |
1,9 |
0,5 |
43 |
2,4 |
0,6 |
31 |
1,8 |
0,5 |
32 |
1,8 |
0,5 |
Cholangite sclérosante |
35 |
2,3 |
0,5 |
32 |
1,9 |
0,5 |
43 |
2,4 |
0,7 |
44 |
2,5 |
0,7 |
38 |
2,2 |
0,6 |
40 |
2,2 |
0,6 |
Maladie congénitale des voies biliaires |
2 |
0,1 |
0,0 |
6 |
0,3 |
0,1 |
6 |
0,3 |
0,1 |
3 |
0,2 |
0,0 |
6 |
0,3 |
0,1 |
2 |
0,1 |
0,0 |
Autre cause |
||||||||||||||||||
Pathologie métabolique |
45 |
2,9 |
0,7 |
63 |
3,7 |
1,0 |
48 |
2,6 |
0,7 |
47 |
2,6 |
0,7 |
59 |
3,4 |
0,9 |
68 |
3,7 |
1,0 |
Cirrhose auto-immune |
27 |
1,8 |
0,4 |
20 |
1,2 |
0,3 |
37 |
2,0 |
0,6 |
34 |
1,9 |
0,5 |
37 |
2,1 |
0,6 |
30 |
1,6 |
0,4 |
Autre cause de cirrhose |
52 |
3,4 |
0,8 |
62 |
3,6 |
0,9 |
49 |
2,7 |
0,7 |
46 |
2,6 |
0,7 |
47 |
2,7 |
0,7 |
63 |
3,5 |
0,9 |
Autre pathologie |
79 |
5,2 |
1,2 |
80 |
4,6 |
1,2 |
92 |
5,0 |
1,4 |
115 |
6,4 |
1,7 |
97 |
5,5 |
1,5 |
130 |
7,1 |
1,9 |
Retransplantation élective ou non |
||||||||||||||||||
Retransplantation en urgence |
38 |
2,5 |
0,6 |
59 |
3,4 |
0,9 |
41 |
2,3 |
0,6 |
37 |
2,1 |
0,6 |
42 |
2,4 |
0,6 |
45 |
2,5 |
0,7 |
Retransplantation élective |
97 |
6,3 |
1,5 |
101 |
5,9 |
1,5 |
120 |
6,6 |
1,8 |
104 |
5,8 |
1,6 |
97 |
5,5 |
1,5 |
104 |
5,7 |
1,6 |
Total |
1532 |
100,0 |
23,5 |
1724 |
100,0 |
26,3 |
1822 |
100,0 |
27,7 |
1790 |
100,0 |
27,1 |
1757 |
100,0 |
26,4 |
1824 |
100,0 |
27,3 |
Tableau F5. Répartition des MELD à l'inscription pour les receveurs adultes suivant la composante du score foie
|
<15 |
[15-20[ |
[20-25[ |
[25-30[ |
[30-35[ |
[35-40] |
Total |
||||||||
N |
% |
N |
% |
N |
% |
N |
% |
N |
% |
N |
% |
N |
% |
||
2011 |
Autres |
23 |
51,1 |
5 |
11,1 |
13 |
28,9 |
1 |
2,2 |
1 |
2,2 |
2 |
4,4 |
45 |
100,0 |
Carcinome hépatocellulaire |
373 |
75,4 |
86 |
17,4 |
21 |
4,2 |
7 |
1,4 |
3 |
0,6 |
5 |
1,0 |
495 |
100,0 |
|
Cirrhose |
148 |
19,6 |
177 |
23,4 |
144 |
19,0 |
91 |
12,0 |
66 |
8,7 |
130 |
17,2 |
756 |
100,0 |
|
Retransplantation |
27 |
21,8 |
16 |
12,9 |
19 |
15,3 |
12 |
9,7 |
19 |
15,3 |
31 |
25,0 |
124 |
100,0 |
|
Tumeur non CHC |
20 |
83,3 |
2 |
8,3 |
1 |
4,2 |
0 |
0 |
0 |
0 |
1 |
4,2 |
24 |
100,0 |
|
Total |
591 |
40,9 |
286 |
19,8 |
198 |
13,7 |
111 |
7,7 |
89 |
6,2 |
169 |
11,7 |
1444 |
100,0 |
|
2012 |
Autres |
20 |
39,2 |
5 |
9,8 |
16 |
31,4 |
3 |
5,9 |
1 |
2,0 |
6 |
11,8 |
51 |
100,0 |
Carcinome hépatocellulaire |
404 |
72,3 |
78 |
14,0 |
39 |
7,0 |
19 |
3,4 |
10 |
1,8 |
9 |
1,6 |
559 |
100,0 |
|
Cirrhose |
169 |
20,2 |
162 |
19,4 |
133 |
15,9 |
119 |
14,3 |
88 |
10,5 |
164 |
19,6 |
835 |
100,0 |
|
Retransplantation |
35 |
24,1 |
21 |
14,5 |
22 |
15,2 |
9 |
6,2 |
17 |
11,7 |
41 |
28,3 |
145 |
100,0 |
|
Tumeur non CHC |
18 |
81,8 |
2 |
9,1 |
1 |
4,5 |
1 |
4,5 |
0 |
0 |
0 |
0 |
22 |
100,0 |
|
Total |
646 |
40,1 |
268 |
16,6 |
211 |
13,1 |
151 |
9,4 |
116 |
7,2 |
220 |
13,6 |
1612 |
100,0 |
|
2013 |
Autres |
19 |
33,3 |
10 |
17,5 |
20 |
35,1 |
2 |
3,5 |
3 |
5,3 |
3 |
5,3 |
57 |
100,0 |
Carcinome hépatocellulaire |
445 |
74,4 |
92 |
15,4 |
35 |
5,9 |
10 |
1,7 |
7 |
1,2 |
9 |
1,5 |
598 |
100,0 |
|
Cirrhose |
170 |
18,9 |
186 |
20,6 |
166 |
18,4 |
104 |
11,5 |
99 |
11,0 |
176 |
19,5 |
901 |
100,0 |
|
Retransplantation |
36 |
23,8 |
23 |
15,2 |
11 |
7,3 |
29 |
19,2 |
18 |
11,9 |
34 |
22,5 |
151 |
100,0 |
|
Tumeur non CHC |
15 |
78,9 |
0 |
0 |
2 |
10,5 |
0 |
0 |
0 |
0 |
2 |
10,5 |
19 |
100,0 |
|
Total |
685 |
39,7 |
311 |
18,0 |
234 |
13,6 |
145 |
8,4 |
127 |
7,4 |
224 |
13,0 |
1726 |
100,0 |
|
2014 |
Autres |
20 |
37,0 |
12 |
22,2 |
20 |
37,0 |
0 |
0 |
0 |
0 |
2 |
3,7 |
54 |
100,0 |
Carcinome hépatocellulaire |
500 |
75,4 |
105 |
15,8 |
30 |
4,5 |
15 |
2,3 |
5 |
0,8 |
8 |
1,2 |
663 |
100,0 |
|
Cirrhose |
141 |
17,0 |
182 |
21,9 |
135 |
16,2 |
133 |
16,0 |
80 |
9,6 |
160 |
19,3 |
831 |
100,0 |
|
Retransplantation |
38 |
28,1 |
19 |
14,1 |
17 |
12,6 |
12 |
8,9 |
16 |
11,9 |
33 |
24,4 |
135 |
100,0 |
|
Tumeur non CHC |
11 |
91,7 |
0 |
0 |
1 |
8,3 |
0 |
0 |
0 |
0 |
0 |
0 |
12 |
100,0 |
|
Total |
710 |
41,9 |
318 |
18,8 |
203 |
12,0 |
160 |
9,4 |
101 |
6,0 |
203 |
12,0 |
1695 |
100,0 |
|
2015 |
Autres |
19 |
37,3 |
8 |
15,7 |
17 |
33,3 |
2 |
3,9 |
1 |
2,0 |
4 |
7,8 |
51 |
100,0 |
Carcinome hépatocellulaire |
471 |
74,6 |
91 |
14,4 |
41 |
6,5 |
19 |
3,0 |
2 |
0,3 |
7 |
1,1 |
631 |
100,0 |
|
Cirrhose |
127 |
15,3 |
168 |
20,3 |
155 |
18,7 |
111 |
13,4 |
94 |
11,4 |
173 |
20,9 |
828 |
100,0 |
|
Retransplantation |
22 |
17,3 |
18 |
14,2 |
18 |
14,2 |
18 |
14,2 |
19 |
15,0 |
32 |
25,2 |
127 |
100,0 |
|
Tumeur non CHC |
18 |
94,7 |
0 |
0 |
0 |
0 |
0 |
0 |
1 |
5,3 |
0 |
0 |
19 |
100,0 |
|
Total |
657 |
39,7 |
285 |
17,2 |
231 |
13,9 |
150 |
9,1 |
117 |
7,1 |
216 |
13,0 |
1656 |
100,0 |
|
2016 |
Autres |
28 |
36,4 |
19 |
24,7 |
17 |
22,1 |
5 |
6,5 |
1 |
1,3 |
7 |
9,1 |
77 |
100,0 |
Carcinome hépatocellulaire |
493 |
74,8 |
104 |
15,8 |
30 |
4,6 |
11 |
1,7 |
10 |
1,5 |
11 |
1,7 |
659 |
100,0 |
|
Cirrhose |
163 |
19,8 |
160 |
19,4 |
165 |
20,0 |
104 |
12,6 |
78 |
9,5 |
154 |
18,7 |
824 |
100,0 |
|
Retransplantation |
32 |
23,0 |
27 |
19,4 |
19 |
13,7 |
18 |
12,9 |
13 |
9,4 |
30 |
21,6 |
139 |
100,0 |
|
Tumeur non CHC |
24 |
85,7 |
0 |
0 |
4 |
14,3 |
0 |
0 |
0 |
0 |
0 |
0 |
28 |
100,0 |
|
Total |
740 |
42,8 |
310 |
18,0 |
235 |
13,6 |
138 |
8,0 |
102 |
5,9 |
202 |
11,7 |
1727 |
100,0 |
|
Tableau F6. Répartition des MELD à l’allocation pour les receveurs adultes suivant la composante du score foie
|
. |
<15 |
[15-20[ |
[20-25[ |
[25-30[ |
[30-35[ |
[35-40] |
Total |
|||||||||
N |
% |
N |
% |
N |
% |
N |
% |
N |
% |
N |
% |
N |
% |
N |
% |
||
2011 |
Autres |
0 |
0 |
4 |
33,3 |
0 |
0 |
4 |
33,3 |
2 |
16,7 |
0 |
0 |
2 |
16,7 |
12 |
100,0 |
Carcinome hépatocellulaire |
0 |
0 |
215 |
64,6 |
47 |
14,1 |
38 |
11,4 |
14 |
4,2 |
11 |
3,3 |
8 |
2,4 |
333 |
100,0 |
|
Cirrhose |
0 |
0 |
32 |
7,3 |
55 |
12,5 |
84 |
19,1 |
69 |
15,7 |
72 |
16,4 |
127 |
28,9 |
439 |
100,0 |
|
Retransplantation |
0 |
0 |
9 |
13,4 |
3 |
4,5 |
7 |
10,4 |
9 |
13,4 |
12 |
17,9 |
27 |
40,3 |
67 |
100,0 |
|
Tumeur non CHC |
0 |
0 |
5 |
71,4 |
0 |
0 |
1 |
14,3 |
0 |
0 |
0 |
0 |
1 |
14,3 |
7 |
100,0 |
|
XPF |
0 |
0 |
134 |
60,6 |
45 |
20,4 |
28 |
12,7 |
6 |
2,7 |
1 |
0,5 |
7 |
3,2 |
221 |
100,0 |
|
Total |
0 |
0 |
399 |
37,0 |
150 |
13,9 |
162 |
15,0 |
100 |
9,3 |
96 |
8,9 |
172 |
15,9 |
1079 |
100,0 |
|
2012 |
Autres |
0 |
0 |
1 |
5,9 |
0 |
0 |
4 |
23,5 |
1 |
5,9 |
3 |
17,6 |
8 |
47,1 |
17 |
100,0 |
Carcinome hépatocellulaire |
0 |
0 |
209 |
64,1 |
45 |
13,8 |
30 |
9,2 |
17 |
5,2 |
8 |
2,5 |
17 |
5,2 |
326 |
100,0 |
|
Cirrhose |
0 |
0 |
31 |
6,9 |
31 |
6,9 |
67 |
14,9 |
76 |
16,9 |
87 |
19,3 |
158 |
35,1 |
450 |
100,0 |
|
Retransplantation |
1 |
1,3 |
11 |
14,1 |
0 |
0 |
8 |
10,3 |
10 |
12,8 |
12 |
15,4 |
36 |
46,2 |
78 |
100,0 |
|
Tumeur non CHC |
0 |
0 |
3 |
50,0 |
0 |
0 |
1 |
16,7 |
2 |
33,3 |
0 |
0 |
0 |
0 |
6 |
100,0 |
|
XPF |
0 |
0 |
116 |
58,0 |
48 |
24,0 |
30 |
15,0 |
6 |
3,0 |
0 |
0 |
0 |
0 |
200 |
100,0 |
|
Total |
1 |
0,1 |
371 |
34,4 |
124 |
11,5 |
140 |
13,0 |
112 |
10,4 |
110 |
10,2 |
219 |
20,3 |
1077 |
100,0 |
|
2013 |
Autres |
0 |
0 |
2 |
22,2 |
0 |
0 |
0 |
0 |
3 |
33,3 |
1 |
11,1 |
3 |
33,3 |
9 |
100,0 |
Carcinome hépatocellulaire |
0 |
0 |
232 |
66,5 |
57 |
16,3 |
21 |
6,0 |
12 |
3,4 |
15 |
4,3 |
12 |
3,4 |
349 |
100,0 |
|
Cirrhose |
1 |
0,2 |
24 |
5,0 |
22 |
4,6 |
70 |
14,7 |
86 |
18,1 |
93 |
19,5 |
180 |
37,8 |
476 |
100,0 |
|
Retransplantation |
0 |
0 |
9 |
12,3 |
4 |
5,5 |
3 |
4,1 |
12 |
16,4 |
15 |
20,5 |
30 |
41,1 |
73 |
100,0 |
|
Tumeur non CHC |
0 |
0 |
2 |
100,0 |
0 |
0 |
0 |
0 |
0 |
0 |
0 |
0 |
0 |
0 |
2 |
100,0 |
|
XPF |
0 |
0 |
143 |
57,4 |
59 |
23,7 |
35 |
14,1 |
7 |
2,8 |
2 |
0,8 |
3 |
1,2 |
249 |
100,0 |
|
Total |
1 |
0,1 |
412 |
35,6 |
142 |
12,3 |
129 |
11,1 |
120 |
10,4 |
126 |
10,9 |
228 |
19,7 |
1158 |
100,0 |
|
2014 |
Autres |
0 |
0 |
1 |
5,3 |
1 |
5,3 |
8 |
42,1 |
2 |
10,5 |
3 |
15,8 |
4 |
21,1 |
19 |
100,0 |
Carcinome hépatocellulaire |
0 |
0 |
278 |
64,1 |
73 |
16,8 |
32 |
7,4 |
23 |
5,3 |
12 |
2,8 |
16 |
3,7 |
434 |
100,0 |
|
Cirrhose |
1 |
0,2 |
19 |
4,1 |
36 |
7,8 |
68 |
14,8 |
103 |
22,4 |
87 |
18,9 |
146 |
31,7 |
460 |
100,0 |
|
Retransplantation |
2 |
2,5 |
7 |
8,8 |
6 |
7,5 |
12 |
15,0 |
11 |
13,8 |
15 |
18,8 |
27 |
33,8 |
80 |
100,0 |
|
Tumeur non CHC |
0 |
0 |
1 |
50,0 |
0 |
0 |
0 |
0 |
0 |
0 |
1 |
50,0 |
0 |
0 |
2 |
100,0 |
|
XPF |
0 |
0 |
111 |
54,1 |
54 |
26,3 |
34 |
16,6 |
5 |
2,4 |
1 |
0,5 |
0 |
0 |
205 |
100,0 |
|
Total |
3 |
0,3 |
417 |
34,8 |
170 |
14,2 |
154 |
12,8 |
144 |
12,0 |
119 |
9,9 |
193 |
16,1 |
1200 |
100,0 |
|
2015 |
Autres |
0 |
0 |
0 |
0 |
3 |
15,0 |
7 |
35,0 |
1 |
5,0 |
5 |
25,0 |
4 |
20,0 |
20 |
100,0 |
Carcinome hépatocellulaire |
0 |
0 |
289 |
65,1 |
70 |
15,8 |
33 |
7,4 |
31 |
7,0 |
9 |
2,0 |
12 |
2,7 |
444 |
100,0 |
|
Cirrhose |
2 |
0,4 |
23 |
4,6 |
36 |
7,3 |
98 |
19,8 |
105 |
21,2 |
91 |
18,3 |
141 |
28,4 |
496 |
100,0 |
|
Retransplantation |
0 |
0 |
6 |
8,2 |
3 |
4,1 |
8 |
11,0 |
11 |
15,1 |
20 |
27,4 |
25 |
34,2 |
73 |
100,0 |
|
Tumeur non CHC |
0 |
0 |
5 |
71,4 |
0 |
0 |
0 |
0 |
0 |
0 |
1 |
14,3 |
1 |
14,3 |
7 |
100,0 |
|
XPF |
0 |
0 |
140 |
62,2 |
54 |
24,0 |
24 |
10,7 |
6 |
2,7 |
1 |
0,4 |
0 |
0 |
225 |
100,0 |
|
Total |
2 |
0,2 |
463 |
36,6 |
166 |
13,1 |
170 |
13,4 |
154 |
12,2 |
127 |
10,0 |
183 |
14,5 |
1265 |
100,0 |
|
2016 |
Autres |
0 |
0 |
0 |
0 |
1 |
6,7 |
5 |
33,3 |
2 |
13,3 |
0 |
0 |
7 |
46,7 |
15 |
100,0 |
Carcinome hépatocellulaire |
0 |
0 |
285 |
66,7 |
66 |
15,5 |
25 |
5,9 |
15 |
3,5 |
14 |
3,3 |
22 |
5,2 |
427 |
100,0 |
|
Cirrhose |
0 |
0 |
25 |
5,4 |
30 |
6,5 |
87 |
18,7 |
85 |
18,3 |
80 |
17,2 |
158 |
34,0 |
465 |
100,0 |
|
Retransplantation |
1 |
1,5 |
8 |
11,8 |
1 |
1,5 |
12 |
17,6 |
7 |
10,3 |
13 |
19,1 |
26 |
38,2 |
68 |
100,0 |
|
Tumeur non CHC |
0 |
0 |
1 |
100,0 |
0 |
0 |
0 |
0 |
0 |
0 |
0 |
0 |
0 |
0 |
1 |
100,0 |
|
XPF |
0 |
0 |
176 |
67,2 |
51 |
19,5 |
29 |
11,1 |
6 |
2,3 |
0 |
0 |
0 |
0 |
262 |
100,0 |
|
Total |
1 |
0,1 |
495 |
40,0 |
149 |
12,0 |
158 |
12,8 |
115 |
9,3 |
107 |
8,6 |
213 |
17,2 |
1238 |
100,0 |
|
Cinétique de la liste d’attente
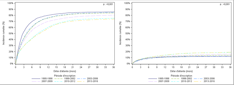
Depuis le 6 mars 2007, l’allocation des greffons hépatiques à des receveurs adultes se fait selon le score Foie. Pour les malades relevant des composantes «cirrhose isolée», «retransplantation» et «maladie hépatique non cirrhogène», le calcul du score prend en compte principalement la valeur du MELD (outil de prédiction du risque de décès en liste d’attente) et peu ou pas l’ancienneté d’inscription sur liste. La comparaison des durées médianes en liste d'attente avant greffe hépatique entre périodes, entre indications et entre équipes s’avère inappropriée. Les différences observées sont surtout liées à des différences de politique d’inscription, en particulier en cas d’inscription majoritaire de malades avec CHC ou de malades pour cirrhose isolée ou retransplantation sans insuffisance hépatocellulaire et sans complication justifiant l’octroi d’une composante experts. La comparaison des médianes d’attente est aussi faussée par la proportion élevée de malades en CIT, dont 60% de durée supérieure à un an. L’analyse des durées médianes d’attente a été abandonnée en 2014 au profit de l’étude d’une part du devenir des malades inscrits en greffe hépatique sur une période donnée et d’autre part du taux d'incidence cumulée (taux d’IC) de greffe et de décès ou aggravation sur la liste d'attente de greffe hépatique estimés avec la méthode des risques concurrents.
Estimée sur l’ensemble de la cohorte des malades inscrits pour la première fois sur liste en 2013 à l’exclusion des retransplantations et greffes à partir de donneurs vivants, 36 mois après l’inscription, 67,8% des malades étaient greffés, 20,9% étaient sortis de liste pour décès ou aggravation de la maladie, 6,7% étaient sortis de liste pour une cause autre que aggravation et enfin 4,6% étaient toujours en attente. La part des malades greffés est de 54,3% après 1 an d’attente.
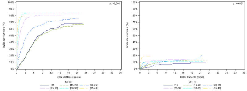
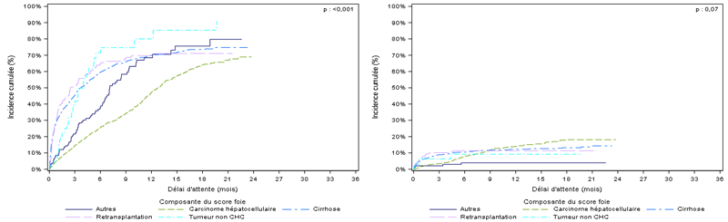
Le taux d’IC de greffe avec prise en compte du risque concurrent de décès en attente ou de sortie pour aggravation, sans exclusion des périodes de CIT, diffère selon la période d’inscription. Ce taux a décru significativement en 4 paliers, de 80% à 1 an pour la période (1995-1998), à 75-76% pour les périodes (1999-2002) (2003-2006), à 70% pour la période 2007-2009, pour atteindre 59-61% pour les périodes (2013-2016) et (2010-2012). Cette baisse s’explique, certes par une hausse plus importante du nombre de candidats que du nombre de greffons ces dernières années mais aussi par l’augmentation significative de malades en CIT de longue durée, qu’elle qu’en soit la cause. Pour les malades inscrits en 2015 et 2016, ce taux diffère selon la composante de greffe, de 70% à 1 an pour les malades inscrits pour cirrhose isolée à 47% en cas de CHC (contre 64 % et 41% respectivement pour la période 2013-2014). Il est plus élevé pour les malades en attente de retransplantation ou inscrits pour une tumeur non CHC (71% et 85% à 1 an), probablement du fait de l’octroi plus fréquent d’une composante experts. Pour les patients relevant de la composante «cirrhose isolée», le taux d’IC de greffe augmente avec la valeur du MELD, chez des malades dont l’accès à la greffe est accéléré par un score de MELD élevé, mais avec une efficacité limitée dans le temps du fait de la survenue rapide du décès en l’absence de greffe pour les valeurs de MELD > 30. Ce taux est comparable entre les classes de MELD [25-30[, [30-35[ et [35-40] et de l’ordre de 79-84% à 6 mois Pour les malades inscrits à partir du 1er janvier 2011, hors temps cumulé en CIT, le taux d’IC de greffe est significativement diminué chez les malades de groupe sanguin 0 et B (75% et 78% respectivement à 2 ans) et est plus élevé pour les receveurs pédiatriques comparé aux receveurs adultes (92% versus 79% à 36 mois).
Analysées sur la période 2011-2016, le taux d’IC de greffe diffère selon les équipes (de 61 à 79 % à 2 ans, hors équipes fermées ou équipes pédiatriques) et varie en fonction de la politique d’inscription (part des différentes composantes), de l’octroi d’une priorité, démontrant l’efficacité de la priorité nationale «super-urgences» (taux d’IC de greffe estimé à 76% dès 3 mois et 87% à 1 an) et celle de la composante experts dont le taux d’IC de greffe est estimé à 87% après 24 mois d’attente versus 69% en l’absence de priorité ou de dérogation.
Tableau F7. Evolution sur les trois premières années du devenir des malades inscrits pour la première fois en greffe hépatique en 2013 (N= 1645)
Statut sur liste d'attente |
% à 3 mois |
% à 6 mois |
% à 12 mois |
% à 18 mois |
% à 24 mois |
% à 30 mois |
% à 36 mois |
Toujours en attente |
61,8 |
49,4 |
26,0 |
13,3 |
8,4 |
6,4 |
4,6 |
Greffé |
27,5 |
36,4 |
54,3 |
63,2 |
66,1 |
67,2 |
67,8 |
Décédé en attente |
7,0 |
8,7 |
11,1 |
12,2 |
12,8 |
12,9 |
12,9 |
Sorti de la liste d'attente pour aggravation |
1,5 |
3,0 |
5,2 |
6,9 |
7,5 |
7,7 |
8,0 |
Sorti de la liste d'attente hors aggravation |
2,2 |
2,6 |
3,3 |
4,6 |
5,1 |
5,7 |
6,7 |
Données extraites de CRISTAL le 02/03/2017
Figure F1. Taux d'incidence cumulée de greffe et de décès ou aggravation sur la liste d'attente de greffe hépatique selon la période d'inscription (1995-2016)
|
Incidence cumulée des greffes avec prise en compte du risque concurrent de décès en attente ou sorties pour aggravation |
|||||
Période d'inscription |
N |
à 3 mois |
à 6 mois |
à 12 mois |
à 24 mois |
à 36 mois |
1995-1998 |
2869 |
53 [52-55] |
70 [68-72] |
80 [79-82] |
85 [84-86] |
86 [84-87] |
1999-2002 |
3606 |
42 [40-44] |
60 [59-62] |
75 [74-77] |
83 [81-84] |
84 [82-85] |
2003-2006 |
4227 |
43 [42-45] |
61 [60-63] |
76 [75-78] |
83 [82-84] |
85 [83-86] |
2007-2009 |
3779 |
38 [37-40] |
56 [54-57] |
70 [68-71] |
78 [77-80] |
80 [79-81] |
2010-2012 |
4396 |
29 [28-31] |
42 [41-44] |
61 [59-62] |
73 [72-75] |
75 [74-77] |
2013-2016 |
6579 |
30 [28-31] |
41 [40-43] |
59 [58-60] |
72 [70-73] |
74 [73-75] |
|
Incidence cumulée des décès en attente ou sorties pour aggravation avec prise en compte du risque concurrent de greffe |
|||||
Période d'inscription |
N |
à 3 mois |
à 6 mois |
à 12 mois |
à 24 mois |
à 36 mois |
1995-1998 |
2869 |
7 [6-8] |
10 [9-11] |
11 [10-12] |
12 [11-13] |
12 [11-13] |
1999-2002 |
3606 |
7 [6-8] |
9 [8-10] |
12 [11-13] |
13 [12-14] |
14 [13-15] |
2003-2006 |
4227 |
6 [5-7] |
8 [8-9] |
11 [10-12] |
12 [11-13] |
13 [12-14] |
2007-2009 |
3779 |
7 [6-8] |
9 [8-10] |
12 [11-14] |
15 [14-16] |
16 [15-17] |
2010-2012 |
4396 |
8 [7-8] |
11 [10-12] |
14 [13-15] |
18 [17-19] |
19 [18-20] |
2013-2016 |
6579 |
7 [7-8] |
10 [10-11] |
14 [13-15] |
18 [17-19] |
19 [18-20] |
NC=Non calculable
Données extraites de CRISTAL le 02/03/2017
Figure F2. Taux d'incidence cumulée de greffe et de décès ou aggravation sur la liste d'attente de greffe hépatique selon la composante du score foie (2015-2016)
|
Incidence cumulée des greffes avec prise en compte du risque concurrent de décès en attente ou sorties pour aggravation |
|||||
Composante du score foie |
N |
à 3 mois |
à 6 mois |
à 12 mois |
à 24 mois |
à 36 mois |
Autres |
146 |
22 [16-30] |
39 [30-48] |
71 [59-79] |
NC |
NC |
Carcinome hépatocellulaire |
1289 |
15 [13-17] |
26 [23-28] |
47 [44-51] |
NC |
NC |
Cirrhose |
1588 |
46 [43-48] |
60 [57-62] |
70 [68-73] |
NC |
NC |
Retransplantation |
208 |
52 [44-58] |
65 [58-72] |
71 [63-78] |
NC |
NC |
Tumeur non CHC |
49 |
44 [29-59] |
75 [56-86] |
85 [62-95] |
NC |
NC |
|
Incidence cumulée des décès en attente ou sorties pour aggravation avec prise en compte du risque concurrent de greffe |
|||||
Composante du score foie |
N |
à 3 mois |
à 6 mois |
à 12 mois |
à 24 mois |
à 36 mois |
Autres |
146 |
3 [1-7] |
NC |
NC |
NC |
NC |
Carcinome hépatocellulaire |
1289 |
4 [3-5] |
8 [7-10] |
14 [12-16] |
NC |
NC |
Cirrhose |
1588 |
9 [8-11] |
10 [9-12] |
12 [11-14] |
NC |
NC |
Retransplantation |
208 |
11 [7-16] |
NC |
NC |
NC |
NC |
Tumeur non CHC |
49 |
9 [3-20] |
NC |
NC |
NC |
NC |
NC=Non calculable
Données extraites de CRISTAL le 02/03/2017
Figure F3. Taux d’incidence cumulée des greffes et des décès ou aggravation sur liste d’attente de greffe hépatique selon le MELD d'inscription pour les cirrhoses isolées (2015-2016)
|
Incidence cumulée des greffes avec prise en compte du risque concurrent de décès en attente ou sorties pour aggravation |
|||||
MELD |
N |
à 3 mois |
à 6 mois |
à 12 mois |
à 24 mois |
à 36 mois |
<15 |
326 |
18 [14-22] |
42 [36-47] |
61 [54-67] |
NC |
NC |
[15-20[ |
346 |
17 [13-21] |
40 [35-46] |
59 [52-65] |
NC |
NC |
[20-25[ |
324 |
46 [40-52] |
62 [56-68] |
72 [66-77] |
NC |
NC |
[25-30[ |
210 |
74 [68-80] |
79 [72-84] |
NC |
NC |
NC |
[30-35[ |
146 |
84 [76-89] |
NC |
NC |
NC |
NC |
[35-40] |
236 |
79 [73-84] |
NC |
NC |
NC |
NC |
|
Incidence cumulée des décès en attente ou sorties pour aggravation avec prise en compte du risque concurrent de greffe |
|||||
MELD |
N |
à 3 mois |
à 6 mois |
à 12 mois |
à 24 mois |
à 36 mois |
<15 |
326 |
3 [2-6] |
6 [4-10] |
10 [6-16] |
NC |
NC |
[15-20[ |
346 |
7 [4-10] |
9 [6-13] |
12 [9-16] |
NC |
NC |
[20-25[ |
324 |
9 [6-13] |
9 [6-13] |
13 [9-18] |
NC |
NC |
[25-30[ |
210 |
12 [8-17] |
13 [9-18] |
NC |
NC |
NC |
[30-35[ |
146 |
11 [7-17] |
NC |
NC |
NC |
NC |
[35-40] |
236 |
19 [14-24] |
NC |
NC |
NC |
NC |
NC=Non calculable
Données extraites de CRISTAL le 02/03/2017
Figure F4. Taux d'incidence cumulée de greffe et de décès ou aggravation sur la liste d'attente de greffe hépatique selon la priorité (2011-2016)
|
Incidence cumulée des greffes avec prise en compte du risque concurrent de décès en attente ou sorties pour aggravation |
|||||
Dernière priorité |
N |
à 3 mois |
à 6 mois |
à 12 mois |
à 24 mois |
à 36 mois |
Aucune |
7875 |
31 [30-32] |
40 [39-41] |
55 [54-56] |
69 [68-70] |
71 [70-72] |
Composante experts |
1538 |
17 [15-19] |
43 [41-46] |
77 [75-79] |
87 [85-89] |
88 [87-90] |
Urgence et dérogation |
134 |
76 [67-82] |
83 [75-88] |
87 [80-92] |
88 [80-93] |
88 [80-93] |
|
Incidence cumulée des décès en attente ou sorties pour aggravation avec prise en compte du risque concurrent de greffe |
|||||
Dernière priorité |
N |
à 3 mois |
à 6 mois |
à 12 mois |
à 24 mois |
à 36 mois |
Aucune |
7875 |
8 [8-9] |
11 [11-12] |
16 [15-17] |
20 [19-21] |
21 [20-22] |
Composante experts |
1538 |
3 [2-3] |
5 [4-7] |
8 [6-9] |
9 [8-11] |
9 [8-11] |
Urgence et dérogation |
134 |
11 [6-17] |
11 [7-18] |
NC |
NC |
NC |
NC=Non calculable
Données extraites de CRISTAL le 02/03/2017
Tableau F8a. Incidence cumulée des greffes avec prise en compte du risque concurrent de décès en attente ou sorties pour aggravation selon les caractéristiques des malades inscrits à partir du 1er janvier 2011 sur la liste d'attente d'une greffe hépatique
(Exclusion des malades en attente de greffe à partir de donneurs vivants )
|
Incidence cumulée des greffes avec prise en compte du risque concurrent de décès en attente ou sorties pour aggravation |
|
|||||||
N |
à 3 mois |
à 6 mois |
à 12 mois |
à 24 mois |
à 36 mois |
Médiane (mois) |
pvalue |
||
Global |
|
9547 |
29 [28-30] |
41 [40-42] |
59 [58-60] |
72 [71-73] |
74 [73-75] |
8,8 |
|
Global hors temps cumulé en CIT* |
|
9547 |
36 [35-37] |
49 [48-50] |
67 [66-68] |
78 [77-79] |
79 [78-80] |
6,3 |
|
Groupe sanguin |
A |
4097 |
32 [30-33] |
44 [42-46] |
63 [61-64] |
74 [73-76] |
76 [75-78] |
7,8 |
<0,001 |
|
AB |
377 |
44 [39-49] |
59 [54-64] |
73 [68-78] |
78 [73-82] |
80 [75-84] |
3,9 |
|
|
B |
1094 |
30 [27-32] |
40 [37-43] |
60 [57-63] |
71 [68-74] |
75 [72-78] |
8,9 |
|
|
O |
3979 |
25 [24-27] |
37 [35-38] |
54 [52-55] |
69 [68-71] |
72 [70-74] |
10,3 |
|
Composante du score foie |
Autres |
383 |
18 [15-23] |
35 [30-40] |
71 [65-75] |
85 [80-89] |
88 [83-91] |
8,4 |
<0,001 |
|
Carcinome hépatocellulaire |
3606 |
11 [10-12] |
21 [20-23] |
45 [43-47] |
69 [67-70] |
71 [70-73] |
13,1 |
|
|
Cirrhose |
4804 |
41 [40-43] |
54 [52-55] |
67 [65-68] |
72 [71-74] |
75 [73-76] |
5,1 |
|
|
Retransplantation |
624 |
50 [46-54] |
63 [58-66] |
72 [68-76] |
77 [73-80] |
79 [75-83] |
3,1 |
|
|
Tumeur non CHC |
130 |
38 [30-47] |
59 [49-67] |
75 [66-82] |
82 [73-88] |
NC |
4,6 |
|
Age à l'inscription |
Adulte |
9216 |
29 [28-30] |
41 [40-42] |
59 [58-60] |
72 [71-73] |
74 [73-75] |
8,9 |
<0,001 |
|
Pédiatrique |
331 |
33 [28-39] |
52 [46-57] |
72 [66-77] |
82 [77-86] |
89 [84-92] |
5,8 |
|
NC=Non calculable
* CIT : contre-indication temporaire
Données extraites de CRISTAL le 02/03/2017
IC = Intervalle de confiance
Commentaire : la durée d’attente n’a pas de véritable intérêt concernant d’autres indications que Carcinome hépatocellulaire puisque le MELD intervient de manière prépondérante par rapport à la durée d’attente dans ces autres catégories.
Tableau F8b. Incidence cumulée des greffes avec prise en compte du risque concurrent de décès en attente ou sorties pour aggravation hors temps cumulé en CIT selon les caractéristiques des malades inscrits à partir du 1er janvier 2011 sur la liste d'attente d'une greffe hépatique
(Exclusion des malades en attente de greffe à partir de donneurs vivants )
|
Incidence cumulée des greffes avec prise en compte du risque concurrent de décès en attente ou sorties pour aggravation hors temps cumulé en CIT |
|
|||||||
N |
à 3 mois |
à 6 mois |
à 12 mois |
à 24 mois |
à 36 mois |
Médiane (mois) |
pvalue |
||
Global hors temps cumulé en CIT* |
|
9547 |
36 [35-37] |
49 [48-50] |
67 [66-68] |
78 [77-79] |
79 [78-80] |
6,3 |
|
Groupe sanguin (hors temps cumulé en CIT*) |
A |
4097 |
39 [37-40] |
52 [50-53] |
71 [69-72] |
80 [79-81] |
81 [79-82] |
5,6 |
<0,001 |
|
AB |
377 |
54 [49-59] |
69 [63-73] |
80 [75-84] |
83 [78-87] |
83 [78-87] |
2,5 |
|
|
B |
1094 |
36 [33-39] |
48 [45-51] |
67 [64-70] |
78 [75-80] |
79 [76-82] |
6,5 |
|
|
O |
3979 |
32 [30-33] |
44 [43-46] |
62 [60-63] |
75 [73-77] |
77 [75-78] |
7,5 |
|
Composante du score foie (hors temps cumulé en CIT*) |
Autres |
383 |
30 [25-35] |
50 [45-55] |
79 [74-83] |
89 [85-93] |
NC |
6,0 |
<0,001 |
|
Carcinome hépatocellulaire |
3606 |
18 [17-19] |
30 [29-32] |
57 [55-59] |
76 [74-78] |
77 [75-78] |
10,6 |
|
|
Cirrhose |
4804 |
47 [46-49] |
60 [58-61] |
72 [70-73] |
77 [76-78] |
79 [77-80] |
3,6 |
|
|
Retransplantation |
624 |
57 [53-61] |
70 [66-73] |
77 [73-80] |
83 [79-86] |
85 [80-88] |
2,0 |
|
|
Tumeur non CHC |
130 |
48 [38-57] |
67 [58-75] |
78 [69-85] |
84 [75-90] |
NC |
3,5 |
|
Age à l'inscription (hors temps cumulé en CIT*) |
Adulte |
9216 |
36 [35-37] |
49 [48-50] |
67 [65-68] |
77 [76-78] |
79 [78-79] |
6,3 |
0,001 |
|
Pédiatrique |
331 |
39 [34-45] |
58 [52-63] |
75 [70-80] |
86 [81-90] |
92 [86-95] |
4,9 |
|
NC=Non calculable
* CIT : contre-indication temporaire
Données extraites de CRISTAL le 02/03/2017
Tableau F9a. Taux d'incidence cumulée de greffe selon l'équipe de greffe des malades inscrits à partir du 1er janvier 2011 sur la liste d'attente d'une greffe hépatique*
(Exclusion des malades en attente de greffe à partir de donneurs vivants)
|
Incidence cumulée de greffe avec prise en compte du risque concurrent de décès |
||||||
Equipe |
effectif |
à 3 mois |
à 6 mois |
à 12 mois |
à 24 mois |
à 36 mois |
Médiane (mois) |
Besançon (A) |
230 |
37 [31-43] |
47 [40-54] |
59 [52-66] |
70 [63-76] |
NC |
6,6 |
Bordeaux (A+P) |
428 |
31 [27-36] |
42 [37-46] |
65 [60-70] |
79 [74-83] |
80 [75-84] |
8,6 |
Clermont-Ferrand (A+P) |
165 |
21 [15-28] |
28 [21-35] |
51 [43-59] |
62 [53-70] |
64 [56-72] |
11,9 |
Clichy Beaujon (AP-HP) (A) |
696 |
26 [23-30] |
40 [36-44] |
63 [59-67] |
74 [71-78] |
76 [72-79] |
7,9 |
Créteil Henri Mondor (AP-HP) (A) |
649 |
36 [32-39] |
49 [45-53] |
60 [56-64] |
70 [66-74] |
72 [67-75] |
6,3 |
Grenoble (A) |
419 |
23 [19-27] |
32 [27-36] |
55 [50-60] |
69 [64-74] |
72 [67-77] |
10,7 |
Le Kremlin Bicêtre (AP-HP) (P) |
102 |
10 [5-17] |
20 [12-29] |
40 [30-50] |
57 [45-67] |
72 [59-81] |
18,1 |
Lille (A) |
508 |
31 [27-35] |
41 [36-45] |
61 [57-66] |
73 [68-77] |
73 [68-77] |
9,2 |
Lyon (HCL) (A) |
611 |
24 [20-27] |
34 [30-37] |
53 [49-57] |
67 [63-71] |
70 [66-74] |
11,3 |
Lyon (HCL) (P) |
28 |
38 [20-56] |
71 [46-86] |
86 [59-96] |
NC |
NC |
4,4 |
Marseille Conception (APM) (A) |
461 |
28 [24-32] |
39 [35-44] |
57 [51-61] |
69 [64-73] |
71 [66-76] |
9,8 |
Marseille Timone enfants (APM) (P) |
32 |
35 [19-52] |
69 [48-83] |
NC |
NC |
NC |
3,6 |
Montpellier (A) |
586 |
40 [36-44] |
48 [44-52] |
63 [59-67] |
78 [74-82] |
80 [75-84] |
7,0 |
Nice (A) |
186 |
22 [16-28] |
29 [22-35] |
46 [38-53] |
61 [53-68] |
62 [54-69] |
13,3 |
Paris Necker-Enfants Malades (AP-HP) (P) |
90 |
38 [27-48] |
61 [49-71] |
80 [69-87] |
88 [77-94] |
91 [78-96] |
3,7 |
Paris Pitié-Salpêtrière (AP-HP) (A) |
984 |
23 [21-26] |
34 [31-37] |
47 [44-50] |
61 [57-64] |
64 [61-67] |
13,5 |
Rennes (A+P) |
865 |
27 [24-30] |
39 [36-42] |
59 [56-62] |
78 [75-81] |
80 [77-83] |
9,2 |
Strasbourg (A+P) |
507 |
43 [39-47] |
53 [48-57] |
69 [64-73] |
77 [73-81] |
78 [74-82] |
5,1 |
Toulouse (A) |
354 |
26 [22-31] |
37 [32-43] |
55 [49-60] |
71 [66-76] |
73 [67-78] |
10,9 |
Tours (A) |
702 |
29 [25-32] |
41 [38-45] |
61 [57-64] |
75 [71-78] |
78 [74-82] |
8,5 |
Villejuif Paul Brousse (AP-HP) (A) |
896 |
30 [27-33] |
48 [45-52] |
67 [64-70] |
77 [74-80] |
80 [76-82] |
6,3 |
NC=Non calculable, IC=Intervalle de confiance
Données extraites de CRISTAL le 02/03/2017
* hors SU et greffes à partir donneur vivant
** Fusion Lyon Croix Rousse - Lyon Edouard Herriot en août 2010 + activité pédiatrique HFME et scission des équipes Adulte et pédiatrique le 11 décembre 2014
*** Fusion des équipes de la Pitié-Salpêtrière et Saint-Antoine sur le site de la Pitié-Salpêtrière le 3 novembre 2014. Exclusion des inscrits de cette nouvelle équipe.
Tableau F9b. Taux d'incidence cumulée de greffe selon l'équipe de greffe des malades inscrits à partir du 1er janvier 2011 sur la liste d'attente d'une greffe hépatique hors temps cumulé en CIT*
(Exclusion des malades en attente de greffe à partir de donneurs vivants)
|
Incidence cumulée de greffe avec prise en compte du risque concurrent de décès |
||||||
Equipe |
effectif |
à 3 mois |
à 6 mois |
à 12 mois |
à 24 mois |
à 36 mois |
Médiane (mois) |
Besançon (A) |
230 |
43 [36-50] |
53 [46-60] |
68 [61-75] |
NC |
NC |
5,0 |
Bordeaux (A+P) |
428 |
39 [35-44] |
52 [47-57] |
75 [70-79] |
84 [80-88] |
84 [80-88] |
5,6 |
Clermont-Ferrand (A+P) |
165 |
26 [20-34] |
35 [27-43] |
58 [49-66] |
71 [62-78] |
74 [65-81] |
10,6 |
Clichy Beaujon (AP-HP) (A) |
696 |
37 [33-40] |
55 [51-59] |
75 [71-78] |
79 [75-82] |
NC |
5,4 |
Créteil Henri Mondor (AP-HP) (A) |
649 |
51 [47-55] |
64 [60-68] |
74 [70-77] |
NC |
NC |
2,9 |
Grenoble (A) |
419 |
28 [24-33] |
41 [36-46] |
65 [59-69] |
77 [72-81] |
NC |
7,8 |
Le Kremlin Bicêtre (AP-HP) (P) |
102 |
13 [7-21] |
24 [16-33] |
44 [33-54] |
64 [52-74] |
76 [63-85] |
14,2 |
Lille (A) |
508 |
34 [30-38] |
44 [40-49] |
65 [60-70] |
75 [70-79] |
75 [70-79] |
7,8 |
Lyon (HCL) (A) |
611 |
35 [31-39] |
47 [43-51] |
67 [63-71] |
77 [73-81] |
77 [73-81] |
6,7 |
Lyon (HCL) (P) |
28 |
42 [23-60] |
76 [50-90] |
94 [46-99] |
NC |
NC |
3,4 |
Marseille Conception (APM) (A) |
461 |
30 [26-34] |
43 [38-48] |
64 [59-69] |
74 [69-79] |
NC |
8,2 |
Marseille Timone enfants (APM) (P) |
32 |
40 [22-57] |
72 [51-85] |
NC |
NC |
NC |
3,4 |
Montpellier (A) |
586 |
40 [36-44] |
49 [44-53] |
65 [61-69] |
79 [75-83] |
81 [76-85] |
6,4 |
Nice (A) |
186 |
26 [20-33] |
31 [25-38] |
51 [43-58] |
64 [56-71] |
64 [56-71] |
11,7 |
Paris Necker-Enfants Malades (AP-HP) (P) |
90 |
49 [37-59] |
71 [60-80] |
85 [74-91] |
91 [79-97] |
94 [81-98] |
3,3 |
Paris Pitié-Salpêtrière (AP-HP) (A) |
984 |
31 [28-34] |
43 [39-46] |
57 [54-60] |
71 [67-74] |
73 [70-76] |
8,6 |
Rennes (A+P) |
865 |
31 [28-34] |
46 [43-50] |
65 [62-69] |
81 [78-84] |
82 [79-84] |
7,1 |
Strasbourg (A+P) |
507 |
46 [41-50] |
56 [51-60] |
73 [69-77] |
82 [78-85] |
82 [78-85] |
4,4 |
Toulouse (A) |
354 |
29 [24-34] |
39 [34-44] |
59 [53-64] |
75 [69-79] |
NC |
8,9 |
Tours (A) |
702 |
31 [28-35] |
45 [41-49] |
65 [61-69] |
79 [75-82] |
81 [77-84] |
7,5 |
Villejuif Paul Brousse (AP-HP) (A) |
896 |
44 [40-47] |
60 [56-63] |
75 [71-78] |
82 [79-85] |
83 [80-86] |
4,0 |
>NC=Non calculable, IC=Intervalle de confiance
Données extraites de CRISTAL le 02/03/2017
* hors SU et greffes à partir donneur vivant
** Fusion Lyon Croix Rousse - Lyon Edouard Herriot en août 2010 + activité pédiatrique HFME et scission des équipes Adulte et pédiatrique le 11 décembre 2014
*** Fusion des équipes de la Pitié-Salpêtrière et Saint-Antoine sur le site de la Pitié-Salpêtrière le 3 novembre 2014. Exclusion des inscrits de cette nouvelle équipe.
En 2016, 162 candidats à la greffe hépatique sont décédés (- 25% par rapport à 2014) et 114 sont sortis de liste pour aggravation (- 17,4% par rapport à 2014), soit un taux d’incidence du décès ou de sortie de liste pour aggravation de 216,7 pour 1 000 patients x année contre 274,3 en 2014. Suite à la suppression de la priorité locale remplacée par le modèle gravitaire, ce taux avait baissé de 323,8 en 2010 jusqu’à 255,1 pour 1000 patients x année en 2011, a augmenté jusqu’à 274,3 en 2014 et a de nouveau décru ces 2 dernières années. Les pourcentages de décès ou de décès + retrait de liste pour aggravation parmi les nouveaux inscrits ont diminué respectivement de 8,1% à 6,1% et de 11,4% à 8,6% en 3 ans et ont baissé respectivement de 7,1% à 5,2% et de 11,1% à 8,9% lorsqu’ils sont rapportés à l’ensemble des candidats en attente dans l’année. La répartition des deux modalités de sortie de liste « décès » et « sortie de liste pour aggravation » diffèrent selon la composante de greffe, avec surtout la survenue du décès pendant la phase d’attente pour les patients inscrits pour cirrhose isolée alors qu’on observe presque deux fois plus de sortie de liste pour aggravation que de décès pour les malades porteurs d’un CHC.
La baisse du taux de décès observée entre 2007 et 2009 avait été principalement attribuée à la mise en place en mars 2007 du « score foie » avec un accès aux greffons devenu proportionnel à la gravité des malades. En 2009 et 2010, l’accroissement du retrait de liste pour aggravation de la maladie initiale, plus fréquent chez les malades porteurs d’un CHC, expliquait la hausse du taux de décès et de retrait de liste atteignant 324,1 pour 1000 patients année. Des ajustements des paramètres du score foie ont été réalisés début 2011 avec une modélisation différente de la cinétique d’accès à la greffe pour les malades porteurs d’un CHC pour permettre une compétition plus juste entre les différentes indications. A la même date (22 février 2011), la priorité locale a été modifiée au profit d’un modèle gravitaire (l’attractivité d’un malade sur un greffon décroit en fonction de la distance, mais moins vite si la « nécessité d’être greffé rapidement », mesurée par le score foie hors distance, est importante) et "isochrone" (distances horaires à la place du modèle linéaire kilométrique). La baisse conséquente observée depuis 2015 est vraisemblablement due à la combinaison d’une hausse de l’activité de greffe et de l’impact des nouveaux traitements de l’hépatite virale C sur le devenir des patients en attente et greffés.
Le taux d’IC de décès en attente ou de sortie pour aggravation avec prise en compte du risque concurrent de greffe diffère selon les périodes mais de manière significative seulement après 2 ans d’attente et atteint 18% à 2 ans pour la cohorte 2013-2016. Pour la période 2015-2016, le taux d’IC de décès ou de sortie pour aggravation est au final comparable entre les composantes « CHC » et « cirrhose isolée » (respectivement 14% et 12% à 1 an), répondant ainsi à l’objectif du score foie à savoir un risque résiduel de décès comparable entre ces deux indications principales de greffe. Toutefois, les taux d’IC de décès pour les patients relevant de la composante «cirrhose isolée» augmentent avec la valeur du MELD, chez des malades dont l’accès à la greffe est accéléré en cas de MELD élevé mais avec une efficacité limitée dans le temps du fait de la survenue rapide du décès en l’absence de greffe. Ce taux s’avère deux fois plus élevé en l’absence de priorité, comparé aux malades bénéficiant d’une priorité super urgence ou d’une composante experts.
Tableau F10. Evolution du nombre de décès et des sorties pour aggravation de la maladie avant greffe sur la liste d'attente depuis 2011 chez les malades en attente d'une greffe hépatique
|
2011 |
2012 |
2013 |
2014 |
2015 |
2016 |
Evolution sur le nombre de décès uniquement |
|
|
|
|
|
|
Nombre total de décès |
137 |
184 |
209 |
216 |
184 |
162 |
Pourcentage de décès parmi les inscrits* |
5,6% |
6,9% |
7,1% |
7,1% |
6,0% |
5,2% |
Décès parmi les nouveaux inscrits |
92 |
122 |
148 |
130 |
114 |
112 |
Pourcentage de décès parmi les nouveaux inscrits |
6,0% |
7,1% |
8,1% |
7,3% |
6,5% |
6,1% |
Taux d'incidence (nombre de décès pour 1 000 patients x année) |
144,4 |
180,2 |
169,3 |
167,4 |
146,4 |
127,2 |
Evolution sur le nombre de décès et les sorties de liste pour aggravation |
|
|
|
|
|
|
Nombre total de décès ou aggravation |
242 |
293 |
325 |
354 |
306 |
276 |
Pourcentage de décès ou aggravation parmi les inscrits* |
9,8% |
11,0% |
11,1% |
11,6% |
10,0% |
8,9% |
Décès ou aggravation parmi les nouveaux inscrits |
147 |
165 |
207 |
185 |
158 |
156 |
Pourcentage de décès ou aggravation parmi les nouveaux inscrits |
9,6% |
9,6% |
11,4% |
10,3% |
9,0% |
8,6% |
Taux d'incidence (DC + AG) |
255,1 |
286,9 |
263,2 |
274,3 |
243,4 |
216,7 |
*receveurs en attente au 1er janvier de l'année + nouveaux inscrits
Données extraites de CRISTAL le 02/03/2017
Tableau F11a. Proportion de CIT pour les patients en attente le 01 Janvier 2016
|
CIT au 01 janvier 2016 |
Total |
||||
0 |
1 |
|||||
N |
%ligne |
N |
%ligne |
N |
%ligne |
|
Composante de greffe |
35 |
57,4 |
26 |
42,6 |
61 |
100,0 |
Autres |
||||||
Carcinome hépatocellulaire |
304 |
47,6 |
335 |
52,4 |
639 |
100,0 |
Cirrhose |
257 |
52,9 |
229 |
47,1 |
486 |
100,0 |
Retransplantation |
24 |
40,7 |
35 |
59,3 |
59 |
100,0 |
Tumeur non CHC |
5 |
55,6 |
4 |
44,4 |
9 |
100,0 |
Total |
625 |
49,8 |
629 |
50,2 |
1254 |
100,0 |
Exclusion des donneurs vivants
Données extraites de CRISTAL le 02/03/2017
Tableau F11b. Durée totale de CIT pour les patients en attente et en CIT le 01 Janvier 2016 selon la composante du score
|
CIT au 01 janvier 2016 |
Total |
||||||||||
3 mois |
3 mois-1an |
>=1an |
||||||||||
N |
%ligne |
%col |
N |
%ligne |
%col |
N |
%ligne |
%col |
N |
%ligne |
%col |
|
Composante de greffe |
3 |
11,5 |
5,7 |
11 |
42,3 |
7,3 |
12 |
46,2 |
2,8 |
26 |
100,0 |
4,1 |
Autres |
||||||||||||
Carcinome hépatocellulaire |
19 |
5,7 |
35,8 |
92 |
27,5 |
61,3 |
224 |
66,9 |
52,6 |
335 |
100,0 |
53,3 |
Cirrhose |
28 |
12,2 |
52,8 |
42 |
18,3 |
28,0 |
159 |
69,4 |
37,3 |
229 |
100,0 |
36,4 |
Retransplantation |
2 |
5,7 |
3,8 |
4 |
11,4 |
2,7 |
29 |
82,9 |
6,8 |
35 |
100,0 |
5,6 |
Tumeur non CHC |
1 |
25,0 |
1,9 |
1 |
25,0 |
0,7 |
2 |
50,0 |
0,5 |
4 |
100,0 |
0,6 |
Total |
53 |
8,4 |
100,0 |
150 |
23,8 |
100,0 |
426 |
67,7 |
100,0 |
629 |
100,0 |
100,0 |
Exclusion des donneurs vivants
date de point=01 janvier 2017
Données extraites de CRISTAL le 02/03/2017
Prélèvement en vue de greffe hépatique
En 2016, 1315 des 1778 donneurs décédés en état de mort encéphalique prélevés ont été prélevés d’un greffon hépatique (greffé ou non), soit, un discret recul de 3,4% en 1 an mais une progression de de 11,8% en 5 ans et 26,8% en 10 ans du nombre de greffons hépatiques prélevés sur donneurs décédés en état de mort encéphalique. Alors que l’efficacité du prélèvement hépatique (nombre de donneurs décédés en état de mort encéphalique prélevés d’au moins un foie sur le nombre de donneurs prélevés d’au moins un organe) avait considérablement baissé de 74,6% en 2001 à 67,2% en 2008, il progresse à nouveau depuis 2009 pour atteindre 74% en 2016 après un taux record de 78,6% observé en 2014. Cet essor est principalement dû au prélèvement hépatique de donneurs plus âgés, l’âge moyen des donneurs de greffons hépatiques ayant augmenté de 44,5 à 56,8 ans et la part des donneurs âgés de 65 ans et plus ayant progressé de 13% à 37,1% entre 2004 et 2014 (+ 34 greffons / an en moyenne). L’âge moyen des donneurs dont le foie a été prélevé et greffé est de 55,7 ans en 2016 et la part des 65 ans et plus parmi ces donneurs s’est stabilisé autour de 38% depuis 2 ans.
En 2016, 2 hémi-greffons (1 droit et 1 gauche) et 56 greffons entiers prélevés n’ont pas été greffés et 19 greffons hépatiques prélevés ont été greffés à l’étranger dont 9 greffons pédiatriques. A noter, l’importation de deux greffons de l’étranger, un greffon pédiatrique pour un enfant et un greffon prélevé sur un donneur adulte pour un receveur adulte.
Tableau F12. Evolution du nombre de donneurs prélevés d'un greffon hépatique parmi les donneurs décédés en état de mort encéphalique prélevés d'au moins un greffon
Année |
Donneurs décédés en état de mort encéphalique prélevés d'un greffon hépatique |
Donneurs décédés en état de mort encéphalique prélevés d'un greffon hépatique greffé |
Donneurs décédés en état de mort encéphalique prélevés d'un greffon autre que le foie |
Donneurs décédés en état de mort encéphalique prélevés d'un greffon |
1997 |
627 |
577 |
254 |
881 |
1998 |
721 |
671 |
273 |
994 |
1999 |
715 |
656 |
255 |
970 |
2000 |
752 |
715 |
264 |
1016 |
2001 |
795 |
737 |
270 |
1065 |
2002 |
850 |
806 |
348 |
1198 |
2003 |
806 |
750 |
313 |
1119 |
2004 |
906 |
854 |
385 |
1291 |
2005 |
996 |
933 |
375 |
1371 |
2006 |
1037 |
973 |
405 |
1442 |
2007 |
1061 |
996 |
500 |
1561 |
2008 |
1050 |
957 |
513 |
1563 |
2009 |
1064 |
1000 |
417 |
1481 |
2010 |
1108 |
1032 |
368 |
1476 |
2011 |
1176 |
1092 |
396 |
1572 |
2012 |
1185 |
1109 |
404 |
1589 |
2013 |
1253 |
1192 |
375 |
1628 |
2014 |
1302 |
1230 |
360 |
1662 |
2015 |
1361 |
1302 |
421 |
1782 |
2016 |
1315 |
1257 |
463 |
1778 |
Données extraites de CRISTAL le 02/03/2017
Tableau F13. Age des greffons hépatiques prélevés sur donneurs décédés et greffés en France en 2016 selon l'âge du receveur au moment de la greffe
Age du donneur |
Age du receveur |
Total |
||||
0-17 ans |
18-29 ans |
30-59 ans |
60-64 ans |
65 ans et plus |
||
0-17 ans |
24 |
4 |
13 |
2 |
3 |
46 |
18-29 ans |
33 |
12 |
67 |
18 |
23 |
153 |
30-59 ans |
22 |
23 |
295 |
106 |
58 |
504 |
60-64 ans |
0 |
7 |
61 |
27 |
13 |
108 |
65 ans et plus |
0 |
11 |
245 |
114 |
104 |
474 |
Total |
79 |
57 |
681 |
267 |
201 |
1285 |
Données extraites de CRISTAL le 02/03/2017
Attribution des greffons et priorités
Avec 149 demandes acceptées, le nombre de demandes de Super Urgence (SU) pour les receveurs adultes et pédiatriques accordées par le collège d’experts varie peu depuis 2010 avec toutefois une tendance à la baisse depuis 2013 (- 10,8% en 3 ans). Si on le rapporte au nombre de candidats inscrits dans l’année, le pourcentage de malades dont la demande de SU a été accordée s’élève respectivement à 3,3% des inscrits adultes et à 30% des receveurs de moins de 18 ans. Sur l’ensemble des candidats, ce pourcentage baisse régulièrement depuis 10 ans (10,1% en 2006, 7% en 2007 et 4,6% en 2016) dans un contexte de croissance de la liste d’attente adulte. Les demandes accordées de SU pour des receveurs adultes baissent régulièrement depuis 3 ans alors que le nombre de demandes de SU accordées pour les enfants a progressé de 140% entre 2008 et 2012 pour se stabiliser à un peu moins de 50 demandes acceptées par an. Cette hausse des demandes pédiatriques s’expliquait par le report de certaines indications spécifiques vers la catégorie prioritaire nationale des SU après la suppression de la priorité Urgence Régionale en février 2009. Le taux de refus des demandes de SU adressées au collège d’experts se maintient entre 7 et 9 % depuis plusieurs années.
Cette diminution sensible entre 2006 et 2011 du recours à la SU pour les receveurs adultes est liée d’une part à une relative stabilité de l’incidence des défaillances hépatiques aigues (une centaine par an) et d’autre part à une baisse des demandes pour retransplantation précoce après non fonction primaire (de 35% en 2006 à moins de 30% des demandes depuis 2011), interprétée comme un moindre recours à des donneurs dits à critères élargis pour les malades en grande défaillance hépatique. En effet, leur accès à des greffons dans des délais très courts imposés par la gravité de leur état de santé est nettement amélioré depuis la mise en place du score foie en mars 2007 et se fait dans de meilleures conditions. La baisse du nombre d’inscription pour hépatite fulminante explique le taux historiquement bas de malades adultes inscrits dans la catégorie super-urgence en 2016.
Les malades faisant l’objet d’une demande de SU sont plus jeunes (80,5% ont moins de 56 ans et 32,9% moins de 18 ans) que chez l’ensemble des inscrits et sont plus souvent des femmes (51% de femmes parmi les SU versus 26,7% de femmes parmi le total des candidats). Dans 17,9% des greffes réalisées via la priorité super-urgence, les malades n’ont pas été greffés en isogroupe sanguin.
En 2016, parmi les 143 malades pour lesquels une SU a été accordée dans l’année, 109 ont pu être greffés et 20 malades (14 %) sont décédés en attente ou sont sortis de liste pour aggravation. Enfin 14 sont sortis de liste pour amélioration. Le taux d’IC de greffe atteint 76% dès 3 mois d’attente et 87% à 12 mois. Le taux d’IC de décès ou de sortie de liste pour aggravation atteint 11% dès 3 mois d’attente.
Pour des malades ayant des particularités cliniques, et pour lesquels le score n’octroie pas suffisamment de points pour accéder à la greffe dans le temps imparti par la gravité de leur maladie, il est possible de recourir à la composante experts, accordée après avis du collège d’experts, qui attribue des points supplémentaires à un malade, soit immédiatement, soit progressivement en 3 ou 6 mois. Pour une répartition plus juste entre les malades, le nombre maximum de points accordés par la composante experts a été abaissé de 1000 à 800 points en février 2010 puis de 800 à 650 points pour les patients relevant de l’exception « ascite réfractaire » depuis mai 2011 et pour ceux relevant de l’exception « encéphalopathie chronique » depuis septembre 2012. La composante experts, en place depuis juillet 2007, a été accordée à 355 malades en 2016 (contre 270 en 2015 et 310 en 2013). Après une augmentation de 56% entre 2009 et 2011 du nombre de demandes, le nombre moyen de malades dont la demande de composante experts a été acceptée s’était stabilisé autour de 280 +/- 20 entre 2012 et 2015, avec une fréquence de demandes acceptées entre 83 et 86%. En 2016, le nombre de demandes acceptées et le nombre de malades concernés ont fait un bond respectivement de 32,2% et 31,5% et ont atteint une valeur jamais égalée depuis la mise en place des exceptions au MELD, s’expliquant en partie par une fréquence en hausse du nombre de demandes acceptées (91%). Rapporté au nombre total de candidats adultes en attente pour la période, le taux de malades dont la demande a été acceptée est de 11,5% contre 9-10% pour la période 2010-2015. Neuf composantes experts concernaient des enfants en 2016. Les malades bénéficiant d’une composante experts sont plus âgés (15,3% ont 66 ans ou plus versus 12,7% du total des inscrits), plus souvent en attente d’une retransplantation (11,9% versus 6,8%) et plus souvent des femmes (38% de femmes parmi les composantes expert versus 26,7% de femmes parmi le total des candidats). L’octroi d’une dérogation de groupe a concerné 5% des demandes acceptées en 2016 mais n’a finalement été utilisée que pour 5 malades, soit 2,4% des greffes réalisées via la composante experts (contre plus de 20% avant 2010).
Parmi les 355 malades pour lesquels une demande de composante experts a été accordée en 2016, 255 (71,8%) ont pu être greffés dans l’année contre 233 des 270 malades (86,3%) dont la demande a été acceptée en 2015 mais avec un recul plus important. Indépendamment de l’année de la demande de composante experts, 267 greffes via la composante expert ont été réalisées en 2016 soit 38 greffes de plus qu’en 2015. Pour la période 2011-2016, le taux d’IC des greffes atteint 77% à un an et 87% à 2 ans pour les malades bénéficiant d’une composante experts, contre respectivement près de 55% et 69% pour les malades sans composante experts ou Super Urgence. Le taux d’IC de décès ou sortie pour aggravation est de 9% à 2 ans, soit inférieur au taux de 20% observé après 2 ans d’attente pour les malades sans SU ou composante experts.
En conséquence, pour l’année 2016, 29% des greffons prélevés sur sujets décédés en mort encéphalique ont été attribués via une SU ou une composante experts, en hausse par rapport au taux de 26 et 27% observé en en 2014 et 2015.
Les greffes hépatiques attribuées par le biais de la priorité régionale «greffes multiples» concernent les malades en attente d’une greffe combinée comprenant un greffon hépatique et un greffon thoracique. Dans ce cas, le greffon hépatique suit le greffon thoracique attribué selon les règles de répartition des greffons cardiaques ou pulmonaires, soit 10 greffes cette année, soit deux fois plus qu’en 2014 et 2015.
Le greffon « Hors tour » correspond à une attribution équipe en cas de refus pour « mauvais greffon » de 5 équipes consécutives dans l’ordre de la liste d’aide au choix. Cette modalité d’attribution, qui a pour but d’optimiser le choix du receveur en cas de greffon à critères élargis, a concerné 100 greffons en 2016 contre en moyenne 72 attributions hors tour entre 2011 et 2015.
Tableau F14. Evolution des modalités d'attribution pour les greffes hépatiques réalisées à partir de donneurs décédés
|
2010 |
2011 |
2012 |
2013 |
2014 |
2015 |
2016 |
|||||||
N |
% |
N |
% |
N |
% |
N |
% |
N |
% |
N |
% |
N |
% |
|
Hors tour* |
41 |
3,8 |
79 |
7,0 |
72 |
6,3 |
61 |
5,0 |
72 |
5,7 |
78 |
5,9 |
100 |
7,6 |
Local |
366 |
34,3 |
60 |
5,3 |
0 |
0,0 |
0 |
0,0 |
0 |
0,0 |
0 |
0,0 |
1 |
0,1 |
Priorité greffes multiples** |
6 |
0,6 |
14 |
1,2 |
10 |
0,9 |
14 |
1,1 |
7 |
0,6 |
8 |
0,6 |
9 |
0,7 |
Priorité pédiatrique |
44 |
4,1 |
43 |
3,8 |
34 |
3,0 |
42 |
3,4 |
36 |
2,9 |
40 |
3,0 |
39 |
3,0 |
Protocole DDAC |
3 |
0,3 |
4 |
0,4 |
3 |
0,3 |
2 |
0,2 |
4 |
0,3 |
8 |
0,6 |
22 |
1,7 |
Score National*** |
463 |
43,4 |
774 |
68,4 |
853 |
74,6 |
931 |
76,2 |
989 |
78,3 |
1038 |
78,0 |
986 |
75,2 |
Split |
21 |
2,0 |
45 |
4,0 |
51 |
4,5 |
42 |
3,4 |
39 |
3,1 |
36 |
2,7 |
47 |
3,6 |
Super Urgence |
123 |
11,5 |
112 |
9,9 |
121 |
10,6 |
129 |
10,6 |
116 |
9,2 |
123 |
9,2 |
108 |
8,2 |
Total |
1067 |
100,0 |
1131 |
100,0 |
1144 |
100,0 |
1221 |
100,0 |
1263 |
100,0 |
1331 |
100,0 |
1312 |
100,0 |
*Hors tour : greffe hépatique en attribution équipe après refus de 5 équipes consécutives pour motif « mauvais greffon »
**Greffes multiples: greffe combinée cœur-foie ou poumon-foie attribuée selon les règles de répartition du greffon thoracique
*** Comprend les attributions via les composantes experts
Données extraites de CRISTAL le 02/03/2017
Tableau F15. Evolution des demandes de priorité (2011-2016)
Type de priorité |
Année de demande de la priorité |
Nombre de demandes |
Nombre de malades |
Nombre de demandes acceptées |
Nombre de malades dont la demande a été acceptée |
Fréquence de demandes acceptées |
Fréquence de dérogation de groupe sanguin compatible parmi les demandes acceptées |
Composante Experts |
2011 |
351 |
334 |
291 |
288 |
83% |
4% |
2012 |
325 |
307 |
275 |
274 |
85% |
1% |
|
2013 |
368 |
344 |
311 |
310 |
85% |
2% |
|
2014 |
319 |
303 |
264 |
264 |
83% |
5% |
|
2015 |
320 |
305 |
273 |
270 |
85% |
6% |
|
2016 |
398 |
384 |
361 |
355 |
91% |
5% |
|
Super-Urgence |
2011 |
150 |
142 |
139 |
134 |
93% |
46% |
2012 |
175 |
160 |
163 |
154 |
93% |
44% |
|
2013 |
184 |
167 |
167 |
158 |
91% |
45% |
|
2014 |
174 |
165 |
161 |
155 |
93% |
44% |
|
2015 |
171 |
162 |
160 |
154 |
94% |
49% |
|
2016 |
160 |
154 |
149 |
143 |
93% |
32% |
Données extraites de CRISTAL le 02/03/2017
Le tableau F15 présente les demandes de priorités selon l’année de demande de 2011 à 2016. Le tableau F16 décrit les caractéristiques des malades dont les demandes de priorité ont été acceptées en 2016 tandis que le tableau F17 présente le devenir de ces malades selon l’année de la demande de la priorité (date de point 31/12/2016). Les chiffres totaux sont différents de ceux présentés dans le Tableau F18 (tous les malades en attente), qui présente le devenir des malades selon l’année de sortie de liste, que la priorité soit encore active ou non au moment de la sortie de liste. En effet, le devenir en liste d’attente des malades faisant une demande de priorité peut survenir alors que la priorité acceptée n’est plus active et l’année de demande (calendaire) ne correspond pas forcément à l’année de sortie.
Tableau F16. Caractéristiques des malades dont la demande de priorité a été acceptée en 2016 selon le type de priorité
|
Super-urgence |
Composante experts |
||
N |
% |
N |
% |
|
Age de sortie |
47 |
32,9 |
9 |
2,5 |
0-17 ans |
||||
18-45 ans |
51 |
35,7 |
87 |
24,6 |
46-55 ans |
17 |
11,9 |
95 |
26,8 |
56-65 ans |
25 |
17,5 |
109 |
30,8 |
>65 ans |
3 |
2,1 |
54 |
15,3 |
Sexe du receveur |
73 |
51,0 |
134 |
37,9 |
Féminin |
||||
Masculin |
70 |
49,0 |
220 |
62,1 |
Groupe sanguin du receveur |
44 |
30,8 |
131 |
37,0 |
A |
||||
AB |
2 |
1,4 |
4 |
1,1 |
B |
13 |
9,1 |
42 |
11,9 |
O |
84 |
58,7 |
177 |
50,0 |
Retransplantation |
107 |
74,8 |
312 |
88,1 |
Non |
||||
Oui |
36 |
25,2 |
42 |
11,9 |
Total |
143 |
100,0 |
354 |
100,0 |
Données extraites de CRISTAL le 02/03/2017
Pour les patients greffés uniquement :
|
Super-urgence |
Composante experts |
||
N |
% |
N |
% |
|
Greffe isogroupe |
19 |
17,9 |
5 |
2,4 |
Non |
||||
Oui |
87 |
82,1 |
200 |
97,6 |
Total |
106 |
100,0 |
205 |
100,0 |
Tableau F17. Devenir des malades au 31 décembre 2016 dont la demande de priorité en 'super-urgence' ou en 'urgence' a été acceptée en 2015 ou 2016 selon l'âge du receveur
|
Devenir des malades |
Total |
|||||||
Sortie de liste pour aggravation |
Sortie de liste pour amélioration |
Attente |
Décès en liste d'attente |
Autre |
Greffe |
||||
2015 |
Adulte |
Dérogation de groupe |
1 |
0 |
0 |
3 |
0 |
11 |
15 |
Super-urgence |
1 |
13 |
0 |
15 |
0 |
83 |
112 |
||
Composante experts |
8 |
4 |
2 |
20 |
1 |
230 |
265 |
||
Enfant < 18 |
Dérogation de groupe |
0 |
0 |
0 |
0 |
0 |
1 |
1 |
|
Super-urgence |
0 |
4 |
0 |
3 |
0 |
35 |
42 |
||
Composante experts |
0 |
0 |
2 |
0 |
0 |
3 |
5 |
||
Total |
10 |
21 |
4 |
41 |
1 |
363 |
440 |
||
2016 |
Adulte |
Dérogation de groupe |
1 |
0 |
1 |
2 |
0 |
25 |
29 |
Super-urgence |
1 |
10 |
0 |
16 |
0 |
69 |
96 |
||
Composante experts |
1 |
0 |
84 |
13 |
2 |
246 |
346 |
||
Enfant < 18 |
Dérogation de groupe |
0 |
0 |
0 |
0 |
0 |
2 |
2 |
|
Super-urgence |
0 |
4 |
0 |
3 |
0 |
40 |
47 |
||
Composante experts |
0 |
0 |
0 |
0 |
0 |
9 |
9 |
||
Total |
3 |
14 |
85 |
34 |
2 |
391 |
529 |
||
Données extraites de CRISTAL le 02/03/2017
Tableau F18. Devenir des malades selon la dernière priorité active par année de sortie* de la liste d'attente (2013-2016)
|
Super-Urgence active |
Composante Experts active |
Urgence |
Sans priorité active |
|
|||||
Année de sortie de liste* |
Devenir sur la liste d'attente |
N |
% |
N |
% |
N |
% |
N |
% |
Total |
2013 |
Sortie de liste pour aggravation hors maladie initiale |
0 |
NA |
0 |
NA |
0 |
NA |
21 |
100,0 |
21 |
|
Sortie de liste pour aggravation de la maladie initiale |
2 |
2,1 |
7 |
7,4 |
0 |
NA |
86 |
90,5 |
95 |
|
Sortie de liste pour amélioration |
11 |
15,7 |
0 |
NA |
0 |
NA |
59 |
84,3 |
70 |
|
Annulation |
0 |
NA |
0 |
NA |
0 |
NA |
1 |
100,0 |
1 |
|
Décès en liste d'attente |
11 |
5,3 |
22 |
10,5 |
0 |
NA |
176 |
84,2 |
209 |
|
Décision personnelle du malade |
0 |
NA |
1 |
4,2 |
0 |
NA |
23 |
95,8 |
24 |
|
Greffé à l'étranger |
0 |
NA |
0 |
NA |
0 |
NA |
1 |
100,0 |
1 |
|
Greffe |
130 |
10,5 |
254 |
20,5 |
0 |
NA |
856 |
69,0 |
1241 |
2014 |
Sortie de liste pour aggravation hors maladie initiale |
0 |
NA |
0 |
NA |
0 |
NA |
18 |
100,0 |
18 |
|
Sortie de liste pour aggravation de la maladie initiale |
2 |
1,7 |
6 |
5,0 |
0 |
NA |
112 |
93,3 |
120 |
|
Sortie de liste pour amélioration |
10 |
9,5 |
7 |
6,7 |
0 |
NA |
88 |
83,8 |
105 |
|
Décès en liste d'attente |
12 |
5,6 |
23 |
10,6 |
0 |
NA |
181 |
83,8 |
216 |
|
Décision personnelle du malade |
0 |
NA |
0 |
NA |
0 |
NA |
19 |
100,0 |
19 |
|
Greffe |
119 |
9,3 |
214 |
16,7 |
0 |
NA |
947 |
74,0 |
1280 |
2015 |
Sortie de liste pour aggravation hors maladie initiale |
1 |
3,3 |
4 |
13,3 |
0 |
NA |
25 |
83,3 |
30 |
|
Sortie de liste pour aggravation de la maladie initiale |
0 |
NA |
2 |
2,2 |
0 |
NA |
90 |
97,8 |
92 |
|
Sortie de liste pour amélioration |
7 |
6,5 |
3 |
2,8 |
0 |
NA |
98 |
90,7 |
108 |
|
Annulation |
0 |
NA |
0 |
NA |
0 |
NA |
2 |
100,0 |
2 |
|
Décès en liste d'attente |
19 |
10,3 |
18 |
9,8 |
0 |
NA |
147 |
79,9 |
184 |
|
Décision personnelle du malade |
0 |
NA |
2 |
10,5 |
0 |
NA |
17 |
89,5 |
19 |
|
Greffe |
124 |
9,2 |
229 |
16,9 |
0 |
NA |
1002 |
73,9 |
1355 |
2016 |
Sortie de liste pour aggravation hors maladie initiale |
0 |
NA |
1 |
3,6 |
0 |
NA |
27 |
96,4 |
28 |
|
Sortie de liste pour aggravation de la maladie initiale |
1 |
1,2 |
3 |
3,5 |
0 |
NA |
82 |
95,3 |
86 |
|
Sortie de liste pour amélioration |
6 |
5,8 |
5 |
4,9 |
0 |
NA |
92 |
89,3 |
103 |
|
Annulation |
0 |
NA |
0 |
NA |
0 |
NA |
1 |
100,0 |
1 |
|
Décès en liste d'attente |
17 |
10,5 |
14 |
8,6 |
0 |
NA |
131 |
80,9 |
162 |
|
Décision personnelle du malade |
0 |
NA |
3 |
9,7 |
0 |
NA |
28 |
90,3 |
31 |
|
Greffe |
110 |
8,3 |
267 |
20,2 |
0 |
NA |
945 |
71,5 |
1322 |
* La greffe est considérée comme une sortie de liste d’attente
NA= Non Applicable
Données extraites de CRISTAL le 02/03/2017
Activité de greffe hépatique
En 2016, 1 322 greffes hépatiques ont été réalisées, soit un recul de 33 greffes par rapport à 2015 et un gain de 158 par rapport à 2011 (+13,6% en 5 ans), portant le taux de greffe à 19,8 pmh, contre 20,4 pmh en 2015. Seulement 5 de ces greffes ont été réalisées à partir d'un donneur vivant (versus 9 à 17 greffes/an depuis 2008), 5 dans le cadre d'une greffe en domino (contre 19 en 2011) et 93 à partir d'un foie partagé prélevé sur donneur décédé (contre 76 en 2015 et 85 en 2014), se déclinant en 47 greffes d’hémi-greffons droits et 46 greffes d’hémi-greffons gauches, 45 de ces hémi-greffons ayant été attribués à des enfants. Le nombre de greffes à partir d’un partage hépatique a progressé de 22,4% en 1 an et représente 7,2% des greffes hépatiques réalisées à partir d’un donneur en état de mort encéphalique en 2016. Ce volume reste toutefois inférieur à l’activité soutenue de partages hépatiques observée en 2007, 2008 et 2012 après la mise en place, en octobre 2006, d’une priorité pédiatrique nationale sur les hémi-greffons gauches prélevés sur des donneurs adultes âgés de 18 à 30 ans (107 greffes de foies partagés (9,4%) en 2012). Huit équipes adultes sur les 17 autorisées ont réalisé des greffes hépatiques à partir d’un partage hépatique, principalement les équipes d’Ile-de-France (75% de l’activité).
L’écart entre les indications cirrhose et CHC se resserre, les greffes pour CHC représentant désormais 34-36% des greffes (contre 30% en 2013) alors que les patients présentant une cirrhose isolée représentent 37-39% des greffes. Une partie des malades inscrits pour cirrhose isolée est finalement greffée via la composante experts, la valeur du MELD n’étant pas représentative de la gravité de leur maladie hépatique. La proportion de patients avec MELD ≥ 35 avait décru significativement de 38% à 28% des malades greffés pour cirrhose entre 2013 et 2015 mais est repartie à la hausse en 2016 avec 34% des patients greffés relevant de la composante cirrhose isolée.
Vingt-une équipes ont réalisé des greffes en 2016, dont 4 avec une orientation pédiatrique exclusive et 13 avec une orientation adulte exclusive. Deux des 17 équipes à orientation adulte ont réalisé moins de 25 greffes en 2016. Quatre équipes ont réalisé les 5 greffes à partir de donneurs vivants en 2016, dont 4 pour des receveurs pédiatriques. Un receveur adulte et 3 enfants ont reçu un hémi-greffon gauche issus d’un donneur vivant, cette utilisation préférentielle du foie gauche s’observant depuis 2009 (71 receveurs adultes de foie gauche sur 99 greffes à partir d’un donneur vivant). Les donneurs sont dans 4 cas un ascendant direct (père, mère) et dans le dernier cas un donneur conjoint.
En 2016, 23 greffes hépatiques ont été réalisées à partir d’un prélèvement sur donneur décédé après arrêt circulatoire. Une greffe a été réalisée à partir d’un donneur décédé après arrêt circulatoire suite à un arrêt cardiaque inopiné (DDAC MI-II), portant à 20 le nombre total de greffes dans le cadre de ce programme ouvert au prélèvement et à la greffe hépatique depuis janvier 2010. En décembre 2014, le programme de prélèvement hépatique sur donneurs décédés après arrêt circulatoire suite à la limitation ou l’arrêt des thérapeutiques (DDAC MIII) a débuté en région Rhône-Alpes et en Ile de France, puis en région Ouest permettant la réalisation avec succès de 22 greffes hépatiques supplémentaires. Les malades greffés dans le cadre du programme DDAC_MIII sont significativement plus âgés, 72,7% d’entre eux ayant plus de 55 ans contre 53% pour les malades ayant reçu un greffon issu d’un donneur en EME. Cela s’explique par l’exclusion dans ce programme des malades avec défaillance hépatique sévère (MELD > 25) (le greffon hépatique ayant déjà subi une période d’au moins 30 minutes d’ischémie chaude avant le décès) et donc d’une attribution plus fréquente de ce type de greffons à des malades appartenant à la composante « CHC » (72,7% des greffes hépatiques issus de donneurs DAC_MIII), l’urgence à être greffé étant lié au risque de progression tumorale et non à la défaillance hépatique (Tableau F29).
Après une hausse de 43% entre 2012 et 2015, le nombre de greffes hépatiques combinées s’est stabilisé avec 77 greffes combinées en 2016 contre 83 en 2015. La combinaison principale concerne les greffes foie-rein représentant désormais 83% des greffes combinées et surtout une progression de 56 % en 4 ans. Les greffes foie-rein ne font plus l’objet d’une priorité régionale depuis février 2009 du fait de la prise en compte de la présence d’une insuffisance rénale dans le calcul du MELD. En cas d’attribution du greffon hépatique dans l’ordre du score foie, le greffon rénal suit automatiquement le greffon hépatique. Par contre, les patients en attente d’une greffe combinée cœur-foie et poumon-foie font l’objet d’une priorité à l’échelon régional pour l’attribution du greffon cardiaque ou pulmonaire et a concerné 10 patients en 2016. Les 3 greffes intestinales ont été combinées avec une greffe hépatique.
La durée moyenne d’ischémie froide est en baisse constante depuis 2011, passée de 9,03 en 2011 à 7,37 heures en 2016. La part des durées d’ischémie froide dépassant 8 heures est passée de 47,1% en 2011 à 33,3% en 2016.
Tableau F19. Evolution du nombre de greffes hépatiques
Année de greffe |
Total greffe |
1990 |
658 |
1991 |
698 |
1992 |
680 |
1993 |
662 |
1994 |
624 |
1995 |
646 |
1996 |
625 |
1997 |
621 |
1998 |
693 |
1999 |
699 |
2000 |
806 |
2001 |
802 |
2002 |
883 |
2003 |
833 |
2004 |
931 |
2005 |
1024 |
2006 |
1037 |
2007 |
1061 |
2008 |
1011 |
2009 |
1047 |
2010 |
1092 |
2011 |
1164 |
2012 |
1161 |
2013 |
1241 |
2014 |
1280 |
2015 |
1355 |
2016 |
1322 |
Données extraites de CRISTAL le 02/03/2017
Tableau F20. Evolution du nombre de greffés hépatiques selon l’indication et incidence par million d'habitants (pmh)
Indication |
2011 |
2012 |
2013 |
2014 |
2015 |
2016 |
||||||||||||
N |
% |
pmh |
N |
% |
pmh |
N |
% |
pmh |
N |
% |
pmh |
N |
% |
pmh |
N |
% |
pmh |
|
Cirrhose alcoolique |
||||||||||||||||||
Cirrhose alcoolique |
305 |
26,2 |
4,7 |
317 |
27,3 |
4,8 |
352 |
28,4 |
5,3 |
340 |
26,6 |
5,1 |
363 |
26,8 |
0,0 |
331 |
25,0 |
5,0 |
Cirrhose post-hépatite (B, C ou D) |
||||||||||||||||||
Cirrhose post-hépatite C |
105 |
9,0 |
1,6 |
105 |
9,0 |
1,6 |
95 |
7,7 |
1,4 |
95 |
7,4 |
1,4 |
74 |
5,5 |
0,0 |
70 |
5,3 |
1,0 |
Cirrhose post-hépatite B ou B+D |
28 |
2,4 |
0,4 |
24 |
2,1 |
0,4 |
25 |
2,0 |
0,4 |
23 |
1,8 |
0,3 |
17 |
1,3 |
0,0 |
34 |
2,6 |
0,5 |
Tumeur hépatique |
||||||||||||||||||
Carcinome hépatocellulaire |
281 |
24,1 |
4,3 |
276 |
23,8 |
4,2 |
299 |
24,1 |
4,5 |
364 |
28,4 |
5,5 |
383 |
28,3 |
0,0 |
384 |
29,0 |
5,7 |
Autre tumeur maligne |
18 |
1,5 |
0,3 |
20 |
1,7 |
0,3 |
13 |
1,0 |
0,2 |
13 |
1,0 |
0,2 |
15 |
1,1 |
0,0 |
23 |
1,7 |
0,3 |
Autre tumeur bénigne |
2 |
0,2 |
0,0 |
3 |
0,3 |
0,0 |
2 |
0,2 |
0,0 |
0 |
0,0 |
0 |
2 |
0,1 |
0,0 |
0 |
0,0 |
0 |
Défaillance hépatique aigue |
||||||||||||||||||
Hépatite fulminante |
32 |
2,7 |
0,5 |
35 |
3,0 |
0,5 |
49 |
3,9 |
0,7 |
35 |
2,7 |
0,5 |
43 |
3,2 |
0,0 |
38 |
2,9 |
0,6 |
Autre insuffisance hépatite aigue |
14 |
1,2 |
0,2 |
9 |
0,8 |
0,1 |
13 |
1,0 |
0,2 |
19 |
1,5 |
0,3 |
14 |
1,0 |
0,0 |
15 |
1,1 |
0,2 |
Pathologie biliaire |
||||||||||||||||||
Cirrhose d'origine biliaire |
21 |
1,8 |
0,3 |
31 |
2,7 |
0,5 |
31 |
2,5 |
0,5 |
26 |
2,0 |
0,4 |
49 |
3,6 |
0,0 |
41 |
3,1 |
0,6 |
Atrésie des voies biliaires |
36 |
3,1 |
0,6 |
32 |
2,8 |
0,5 |
32 |
2,6 |
0,5 |
41 |
3,2 |
0,6 |
24 |
1,8 |
0,0 |
31 |
2,3 |
0,5 |
Cholangite sclérosante |
29 |
2,5 |
0,4 |
24 |
2,1 |
0,4 |
33 |
2,7 |
0,5 |
37 |
2,9 |
0,6 |
34 |
2,5 |
0,0 |
32 |
2,4 |
0,5 |
Maladie congénitale des voies biliaires |
1 |
0,1 |
0,0 |
4 |
0,3 |
0,1 |
7 |
0,6 |
0,1 |
1 |
0,1 |
0,0 |
7 |
0,5 |
0,0 |
2 |
0,2 |
0,0 |
Autre cause |
||||||||||||||||||
Pathologie métabolique |
51 |
4,4 |
0,8 |
44 |
3,8 |
0,7 |
44 |
3,5 |
0,7 |
34 |
2,7 |
0,5 |
55 |
4,1 |
0,0 |
45 |
3,4 |
0,7 |
Cirrhose auto-immune |
25 |
2,1 |
0,4 |
18 |
1,6 |
0,3 |
20 |
1,6 |
0,3 |
23 |
1,8 |
0,3 |
28 |
2,1 |
0,0 |
22 |
1,7 |
0,3 |
Autre cause de cirrhose |
41 |
3,5 |
0,6 |
44 |
3,8 |
0,7 |
35 |
2,8 |
0,5 |
38 |
3,0 |
0,6 |
41 |
3,0 |
0,0 |
49 |
3,7 |
0,7 |
Autre pathologie |
66 |
5,7 |
1,0 |
49 |
4,2 |
0,7 |
60 |
4,8 |
0,9 |
80 |
6,3 |
1,2 |
91 |
6,7 |
0,0 |
95 |
7,2 |
1,4 |
Retransplantation élective ou non |
||||||||||||||||||
Retransplantation en urgence |
32 |
2,7 |
0,5 |
39 |
3,4 |
0,6 |
42 |
3,4 |
0,6 |
32 |
2,5 |
0,5 |
35 |
2,6 |
0,0 |
29 |
2,2 |
0,4 |
Retransplantation élective |
77 |
6,6 |
1,2 |
87 |
7,5 |
1,3 |
89 |
7,2 |
1,4 |
79 |
6,2 |
1,2 |
80 |
5,9 |
0,0 |
81 |
6,1 |
1,2 |
Total |
1164 |
100,0 |
17,9 |
1161 |
100,0 |
17,7 |
1241 |
100,0 |
18,9 |
1280 |
100,0 |
19,3 |
1355 |
100,0 |
20,4 |
1322 |
100,0 |
19,8 |
Données extraites de CRISTAL
Tableau F21. Répartition des malades greffés selon le type de donneur et la partie greffée chez les receveurs adultes et pédiatriques (âge à l'inscription)
|
Partie greffée |
Total |
||||
Droit |
Gauche |
Total |
||||
2014 |
Receveur adulte |
Domino |
0 |
0 |
5 |
5 |
Décédé |
41 |
3 |
1143 |
1187 |
||
Vivant |
0 |
8 |
0 |
8 |
||
Total |
41 |
11 |
1148 |
1200 |
||
Receveur enfant |
Décédé |
1 |
40 |
35 |
76 |
|
Vivant |
0 |
4 |
0 |
4 |
||
Total |
1 |
44 |
35 |
80 |
||
Total |
42 |
55 |
1183 |
1280 |
||
2015 |
Receveur adulte |
Domino |
0 |
0 |
9 |
9 |
Décédé |
36 |
3 |
1209 |
1248 |
||
Vivant |
1 |
4 |
0 |
5 |
||
Total |
37 |
7 |
1218 |
1262 |
||
Receveur enfant |
Décédé |
2 |
35 |
46 |
83 |
|
Vivant |
0 |
10 |
0 |
10 |
||
Total |
2 |
45 |
46 |
93 |
||
Total |
39 |
52 |
1264 |
1355 |
||
2016 |
Receveur adulte |
Domino |
1 |
1 |
3 |
5 |
Décédé |
47 |
1 |
1183 |
1231 |
||
Vivant |
0 |
1 |
0 |
1 |
||
Total |
48 |
3 |
1186 |
1237 |
||
Receveur enfant |
Décédé |
0 |
45 |
36 |
81 |
|
Vivant |
1 |
3 |
0 |
4 |
||
Total |
1 |
48 |
36 |
85 |
||
Total |
49 |
51 |
1222 |
1322 |
||
Données extraites de CRISTAL le 02/03/2017
Tableau F22. Inscription et greffe hépatiques effectuées par équipe en activité en 2016
Equipe de greffe |
En attente au 1er janvier |
Nouveaux inscrits |
Total greffe 2016 |
Donneur vivant hors domino |
DAC MII |
DAC MIII |
Donneur vivant domino |
Foie partagé donneur décédé |
Taux de croissance 2015-2016 (%) |
Besançon (A) |
29 |
60 |
35 |
0 |
0 |
0 |
0 |
0 |
12,9 |
Bordeaux (A+P) |
48 |
91 |
65 |
0 |
0 |
0 |
0 |
0 |
-7,1 |
Clermont-Ferrand (A+P) |
21 |
25 |
16 |
0 |
0 |
0 |
0 |
0 |
-15,8 |
Clichy Beaujon (AP-HP) (A) |
70 |
127 |
106 |
0 |
0 |
1 |
0 |
12 |
-10,2 |
Créteil Henri Mondor (AP-HP) (A) |
80 |
118 |
72 |
0 |
0 |
0 |
0 |
8 |
-7,7 |
Grenoble (A) |
55 |
81 |
43 |
0 |
0 |
0 |
0 |
0 |
-6,5 |
Le Kremlin Bicêtre (AP-HP) (P) |
40 |
33 |
29 |
1 |
0 |
0 |
0 |
18 |
-14,7 |
Lille (A) |
36 |
121 |
71 |
0 |
0 |
0 |
0 |
0 |
-5,3 |
Lyon (HCL) (A)* |
100 |
106 |
81 |
0 |
0 |
4 |
0 |
5 |
6,6 |
Lyon (HCL) (P)* |
4 |
19 |
17 |
1 |
0 |
0 |
0 |
7 |
30,8 |
Marseille Conception (APM) (A) |
64 |
96 |
61 |
0 |
0 |
0 |
0 |
1 |
19,6 |
Marseille Timone enfants (APM) (P) |
0 |
3 |
3 |
1 |
0 |
0 |
0 |
2 |
-62,5 |
Montpellier (A) |
72 |
107 |
69 |
0 |
0 |
0 |
0 |
0 |
-20,7 |
Nice (A) |
34 |
22 |
19 |
0 |
0 |
0 |
0 |
0 |
-13,6 |
Paris Necker-Enfants Malades (AP-HP) (P) |
9 |
31 |
23 |
0 |
0 |
0 |
0 |
18 |
-11,5 |
Paris Pitié-Salpêtrière (AP-HP) (A)** |
202 |
105 |
106 |
0 |
0 |
5 |
2 |
6 |
-3,6 |
Rennes (A+P) |
88 |
157 |
122 |
0 |
0 |
5 |
0 |
3 |
0,0 |
Strasbourg (A+P) |
64 |
105 |
79 |
0 |
0 |
0 |
0 |
0 |
-6,0 |
Toulouse (A) |
43 |
54 |
43 |
0 |
0 |
0 |
0 |
0 |
-18,9 |
Tours (A) |
79 |
178 |
111 |
0 |
0 |
2 |
1 |
3 |
27,6 |
Villejuif Paul Brousse (AP-HP) (A) |
127 |
185 |
151 |
2 |
1 |
5 |
2 |
10 |
4,1 |
Total |
1265 |
1824 |
1322 |
5 |
1 |
22 |
5 |
93 |
-2,4 |
*Scission des équipes Adulte et pédiatrique de Lyon le 11 décembre 2014
** Fusion des équipes de la Pitié-Salpêtrière et Saint-Antoine sur le site de la Pitié-Salpêtrière le 3 novembre 2014
Données extraites de CRISTAL le 02/03/2017
Tableau F23. Nombre de greffes hépatiques par équipe et par année
|
2011 |
2012 |
2013 |
2014 |
2015 |
2016 |
Besançon (A) |
22 |
26 |
24 |
26 |
31 |
35 |
Bordeaux (A+P) |
33 |
47 |
56 |
59 |
70 |
65 |
Caen |
33 |
13 |
0 |
0 |
0 |
0 |
Clermont-Ferrand (A+P) |
14 |
19 |
19 |
20 |
19 |
16 |
Clichy Beaujon (AP-HP) (A) |
110 |
103 |
98 |
99 |
118 |
106 |
Créteil Henri Mondor (AP-HP) (A) |
69 |
84 |
96 |
80 |
78 |
72 |
Grenoble (A) |
38 |
51 |
42 |
58 |
46 |
43 |
Le Kremlin Bicêtre (AP-HP) (P) |
37 |
39 |
34 |
31 |
34 |
29 |
Lille (A) |
46 |
48 |
58 |
65 |
75 |
71 |
Lyon (HCL) (A)* |
70 |
71 |
79 |
78 |
76 |
81 |
Lyon (HCL) (P)* |
0 |
0 |
0 |
1 |
13 |
17 |
Marseille Conception (APM) (A) |
48 |
54 |
49 |
53 |
51 |
61 |
Marseille Timone enfants (APM) (P) |
11 |
6 |
12 |
9 |
8 |
3 |
Montpellier (A) |
65 |
69 |
70 |
85 |
87 |
69 |
Nice (A) |
21 |
20 |
22 |
24 |
22 |
19 |
Paris Necker-Enfants Malades (AP-HP) (P) |
17 |
22 |
22 |
16 |
26 |
23 |
Paris Pitié-Salpêtrière (AP-HP) (A)** |
135 |
119 |
116 |
97 |
110 |
106 |
Rennes (A+P) |
108 |
105 |
117 |
118 |
122 |
122 |
Strasbourg (A+P) |
63 |
61 |
68 |
83 |
84 |
79 |
Toulouse (A) |
38 |
28 |
40 |
46 |
53 |
43 |
Tours (A) |
49 |
61 |
89 |
99 |
87 |
111 |
Villejuif Paul Brousse (AP-HP) (A) |
137 |
115 |
130 |
133 |
145 |
151 |
Total |
1164 |
1161 |
1241 |
1280 |
1355 |
1322 |
* Fusion Lyon Croix Rousse - Lyon Edouard Herriot en août 2010
*Scission des équipes adulte et pédiatrique de Lyon le 11 décembre 2014
** Fusion des équipes de la Pitié-Salpêtrière et Saint-Antoine sur le site de la Pitié-Salpêtrière le 3 novembre 2014
Tableau F24. Evolution du nombre de greffes hépatiques combinées
Total |
2011 |
2012 |
2013 |
2014 |
2015 |
2016 |
Coeur-Foie |
7 |
6 |
7 |
2 |
5 |
5 |
Coeur/Poumons-Foie |
0 |
0 |
0 |
0 |
0 |
0 |
Foie-Intestin |
4 |
1 |
1 |
3 |
3 |
2 |
Foie-Intestin-Pancréas* |
0 |
1 |
1 |
0 |
0 |
1 |
Foie-Intestin-Rein |
1 |
1 |
0 |
0 |
0 |
0 |
Foie-Pancréas |
0 |
0 |
0 |
1 |
0 |
0 |
Foie-Rein |
48 |
41 |
43 |
63 |
74 |
64 |
Poumon-Foie |
5 |
4 |
7 |
3 |
1 |
5 |
* bloc multiviscéral
Données extraites de CRISTAL le 02/03/2017
Tableau F25. Evolution des durées moyennes d’ischémie froide en heure (hors DV, DDAC et greffes combinées)
|
2011 |
2012 |
2013 |
2014 |
2015 |
2016 |
||||||
N |
% |
N |
% |
N |
% |
N |
% |
N |
% |
N |
% |
|
Durée d'ischémie (heures) |
167 |
15,7 |
194 |
17,8 |
246 |
21,2 |
234 |
19,7 |
278 |
22,3 |
295 |
23,9 |
< 6h |
||||||||||||
6-8h |
361 |
34,0 |
400 |
36,8 |
447 |
38,5 |
465 |
39,2 |
510 |
40,9 |
505 |
40,9 |
> 8h |
500 |
47,1 |
469 |
43,1 |
455 |
39,2 |
468 |
39,4 |
441 |
35,4 |
411 |
33,3 |
Manquant |
33 |
3,1 |
24 |
2,2 |
12 |
1,0 |
20 |
1,7 |
17 |
1,4 |
23 |
1,9 |
Total |
1061 |
100,0 |
1087 |
100,0 |
1160 |
100,0 |
1187 |
100,0 |
1246 |
100,0 |
1234 |
100,0 |
Données extraites de CRISTAL le 02/03/2017
Greffe hépatique à partir de donneur vivant
Tableau F26. Evolution de l'activité de prélèvement de greffons hépatiques issus de donneurs vivants (hors domino)
Année |
Partie de foie prélevée |
|
Droite |
Gauche |
|
1998 |
4 |
18 |
1999 |
10 |
13 |
2000 |
37 |
15 |
2001 |
33 |
15 |
2002 |
40 |
5 |
2003 |
30 |
12 |
2004 |
39 |
9 |
2005 |
30 |
19 |
2006 |
15 |
21 |
2007 |
9 |
9 |
2008 |
5 |
5 |
2009 |
3 |
9 |
2010* |
3 |
16 |
2011 |
3 |
11 |
2012 |
6 |
3 |
2013 |
1 |
12 |
2014 |
0 |
12 |
2015 |
1 |
14 |
2016 |
1 |
4 |
*En 2010 pour des raisons médicales, deux greffons hépatiques issus de donneurs vivants n'ont pu être greffés c'est pourquoi le nombre total de donneurs vivants prélevés n'est pas égal au nombre de greffes avec donneur vivant
Données extraites de CRISTAL le 02/03/2017
Tableau F27. Evolution du lien de parenté avec le donneur et de l’âge du receveur pour les greffes avec donneur vivant
|
2011 |
2012 |
2013 |
2014 |
2015 |
2016 |
Lien de parenté |
|
|
|
|
|
|
Donneur ascendant direct (père, mère) |
8 |
4 |
9 |
5 |
11 |
4 |
Donneur collatéral direct (frère, soeur) |
3 |
2 |
0 |
1 |
0 |
0 |
Donneur conjoint |
2 |
0 |
1 |
1 |
0 |
1 |
Donneur collatéral indirect (cousin germain, oncle, tante) |
0 |
0 |
1 |
0 |
1 |
0 |
Donneur descendant direct (fils, fille) |
1 |
3 |
2 |
5 |
2 |
0 |
Lien affectif étroit et stable |
0 |
0 |
0 |
0 |
1 |
0 |
Age du receveur |
|
|
|
|
|
|
Receveur adulte |
7 |
5 |
6 |
8 |
5 |
1 |
Receveur enfant |
7 |
4 |
7 |
4 |
10 |
4 |
Total |
14 |
9 |
13 |
12 |
15 |
5 |
Données extraites de CRISTAL le 02/03/2017
Greffe hépatique à partir de donneur décédé après arrêt circulatoire
Tableau F28. Nombre de greffes hépatiques à partir de donneur DDAC par équipe par type de donneur et par année (2011-2016)
|
Année de greffe |
Total |
|||||||
2011 |
2012 |
2013 |
2014 |
2015 |
2016 |
||||
DDAC MI-II |
DDAC MI-II |
DDAC MI-II |
DDAC MI-II |
DDAC MI-II |
DDAC MIII |
DDAC MI-II |
DDAC MIII |
||
Clichy Beaujon (AP-HP) (A) |
3 |
2 |
0 |
0 |
0 |
0 |
0 |
1 |
6 |
Créteil Henri Mondor (AP-HP) (A) |
0 |
0 |
0 |
1 |
0 |
0 |
0 |
0 |
1 |
Lyon (HCL) (A) |
0 |
0 |
0 |
2 |
1 |
1 |
0 |
4 |
8 |
Paris Pitié-Salpêtrière (AP-HP) (A) |
2 |
0 |
2 |
1 |
1 |
5 |
0 |
5 |
16 |
Rennes (A+P) |
0 |
0 |
0 |
0 |
0 |
0 |
0 |
5 |
5 |
Tours (A) |
0 |
0 |
0 |
0 |
0 |
0 |
0 |
2 |
2 |
Villejuif Paul Brousse (AP-HP) (A) |
0 |
1 |
0 |
0 |
0 |
0 |
1 |
5 |
7 |
Total |
5 |
3 |
2 |
4 |
2 |
6 |
1 |
22 |
45 |
DDAC_MI-II = Donneur décédé après arrêt circulatoire suite à un arrêt cardiaque inopiné
DDAC_MIII=Donneur décédé après arrêt circulatoire suite à la limitation ou l’arrêt des thérapeutiques
Données extraites de CRISTAL le 02/03/2017
Tableau F29. Caractéristiques des receveurs greffés en 2016 selon le type de donneur
|
DAC MI-II |
DAC MIII |
Décédé en mort encéphalique |
Vivant |
||||
N |
% |
N |
% |
N |
% |
N |
% |
|
Age à la greffe |
0 |
0,0 |
0 |
0,0 |
80 |
6,2 |
4 |
40,0 |
0-17 ans |
||||||||
18-29 ans |
0 |
0,0 |
1 |
4,5 |
57 |
4,4 |
0 |
0,0 |
30-55 ans |
0 |
0,0 |
5 |
22,7 |
469 |
36,4 |
1 |
10,0 |
56-65 ans |
0 |
0,0 |
16 |
72,7 |
526 |
40,8 |
2 |
20,0 |
>=66 ans |
1 |
100,0 |
0 |
0,0 |
157 |
12,2 |
3 |
30,0 |
Sexe |
0 |
0,0 |
1 |
4,5 |
366 |
28,4 |
4 |
40,0 |
Féminin |
||||||||
Masculin |
1 |
100,0 |
21 |
95,5 |
923 |
71,6 |
6 |
60,0 |
Groupe sanguin |
0 |
0,0 |
11 |
50,0 |
540 |
41,9 |
6 |
60,0 |
A |
||||||||
AB |
0 |
0,0 |
2 |
9,1 |
57 |
4,4 |
0 |
0,0 |
B |
0 |
0,0 |
1 |
4,5 |
155 |
12,0 |
2 |
20,0 |
O |
1 |
100,0 |
8 |
36,4 |
537 |
41,7 |
2 |
20,0 |
Retransplantation |
1 |
100,0 |
22 |
100,0 |
1179 |
91,5 |
10 |
100,0 |
Non |
||||||||
Oui |
0 |
0,0 |
0 |
0,0 |
110 |
8,5 |
0 |
0,0 |
Composante de greffe |
0 |
0,0 |
0 |
0,0 |
59 |
4,6 |
0 |
0,0 |
Autres |
||||||||
Carcinome hépatocellulaire |
0 |
0,0 |
16 |
72,7 |
443 |
34,4 |
4 |
40,0 |
Cirrhose |
1 |
100,0 |
5 |
22,7 |
654 |
50,7 |
6 |
60,0 |
Retransplantation |
0 |
0,0 |
0 |
0,0 |
111 |
8,6 |
0 |
0,0 |
Tumeur non CHC |
0 |
0,0 |
1 |
4,5 |
22 |
1,7 |
0 |
0,0 |
MELD à la greffe |
0 |
0,0 |
0 |
0,0 |
23 |
1,8 |
0 |
0,0 |
. |
||||||||
<15 |
1 |
100,0 |
15 |
68,2 |
499 |
38,7 |
5 |
50,0 |
[15-20[ |
0 |
0,0 |
4 |
18,2 |
232 |
18,0 |
2 |
20,0 |
[20-25[ |
0 |
0,0 |
2 |
9,1 |
200 |
15,5 |
2 |
20,0 |
[25-30[ |
0 |
0,0 |
1 |
4,5 |
112 |
8,7 |
0 |
0,0 |
[30-35[ |
0 |
0,0 |
0 |
0,0 |
86 |
6,7 |
1 |
10,0 |
[35-40] |
0 |
0,0 |
0 |
0,0 |
137 |
10,6 |
0 |
0,0 |
Ischémie froide |
0 |
0,0 |
12 |
54,5 |
299 |
23,2 |
8 |
80,0 |
< 6h |
||||||||
6-8h |
1 |
100,0 |
10 |
45,5 |
523 |
40,6 |
1 |
10,0 |
> 8h |
0 |
0,0 |
0 |
0,0 |
443 |
34,4 |
1 |
10,0 |
Manquant |
0 |
0,0 |
0 |
0,0 |
24 |
1,9 |
0 |
0,0 |
Total |
1 |
100,0 |
22 |
100,0 |
1289 |
100,0 |
10 |
100,0 |
DDAC MI-II : donneur décédé après arrêt circulatoire suite à un arrêt cardiaque inopiné (catégories I et II de Maastricht)
DDAC MIII : donneur décédé après arrêt circulatoire suite à la limitation ou l’arrêt des thérapeutiques (catégories III de Maastricht)
Données extraites de CRISTAL le 02/03/2017
Survie post greffe
Globalement, la survie du receveur après une greffe hépatique réalisée entre 1993 et 2015 est de 93,5% à 1 mois, 84,9% à 1 an, de 73,3% à 5 ans et 62,4% à 10 ans. La survie du greffon après une première greffe hépatique est respectivement de 90,8%, 81,5%, 69,1% et 57,6%. La survie en greffe hépatique est telle que la durée médiane de survie (durée à partir de laquelle la probabilité de décès est de 50%) n'est pas observée pour les greffes réalisées après 2000. L’analyse univariée de la survie montre une amélioration significative des résultats jusqu’en 2004 avec un taux de survie à 1 mois et à 1 an significativement meilleur pour la cohorte 2000-2004 par rapport à celle de 1995-1999 et des taux de survie à 1 et 5 ans comparables entre les cohortes 2000-2004, 2005-2007, 2008-2010. Pour la période la plus récente 2011-2015, les taux de survie à 1 mois et 1 an sont les plus hauts jamais observés, respectivement à 95,3% et 87,1%, supérieur à celle de la cohorte 2005-2007 pour la survie à 1 mois, et à celle de la cohorte 2008-2010 pour la survie à 1 an, dans un contexte de vieillissement significatif des receveurs et des donneurs depuis 10 ans et d’un système d’allocation favorisant les malades les plus graves. Ces très bons résultats observés sur la dernière cohorte peuvent être en partie attribués à un accès plus rapide à la greffe pour les plus graves mais aussi à l’amélioration significative de la survie post greffe des malades porteurs du marqueur du virus de l’hépatite C, la survie à un an pour ces malades s’étant améliorée significativement entre les périodes (2010-2012) et (2013-2014), progressant respectivement de 77,6% à 85,5% (p<0,001). L’analyse de la survie du receveur montre aussi une différence significative dans les résultats selon l’indication (excellent pronostic de l’indication «pathologie biliaire»), l’âge du receveur (survie à 1 an significativement supérieure pour les receveurs âgés de 18 à 54 ans comparée aux receveurs pédiatriques et aux receveurs âgés), l’âge du donneur et le degré d'urgence (tous les p<0,001). La survie après retransplantation est significativement meilleure s’il s’agit d’une retransplantation tardive (plus de 3 mois après la greffe initiale). La retransplantation précoce (moins de 8 jours et entre 8 jours et 3 mois) a des résultats de survie post greffe plus bas (52,6% et 43,9% de survie patients à 5 ans).
Tableau F30. Répartition des malades déclarés vivants, en fonction du délai écoulé depuis les dernières nouvelles : état de la base au 31 décembre 2016 des malades ayant eu une greffe hépatique entre 1993 et 2015
|
Nombre total de dossiers |
Ancienneté des dernières nouvelles (en % de dossiers) |
||
0-1 an (%) |
1-2 ans (%) |
> 2 ans* (%) |
||
Besançon (A) |
267 |
98,5 |
1,5 |
0,0 |
Bordeaux (A+P) |
434 |
33,6 |
43,3 |
23,0 |
Caen |
236 |
93,2 |
6,8 |
0,0 |
Clermont-Ferrand (A+P) |
134 |
90,3 |
9,7 |
0,0 |
Clichy Beaujon (AP-HP) (A) |
892 |
19,1 |
69,5 |
11,4 |
Créteil Henri Mondor (AP-HP) (A) |
693 |
88,0 |
7,6 |
4,3 |
Grenoble (A) |
327 |
95,1 |
4,6 |
0,3 |
Le Kremlin Bicêtre (AP-HP) (P) |
433 |
85,7 |
14,1 |
0,2 |
Lille (A) |
501 |
59,5 |
40,5 |
0,0 |
Limoges** |
20 |
5,0 |
95,0 |
0,0 |
Lyon (HCL) (A+P)*** |
1114 |
96,9 |
1,5 |
1,5 |
Marseille Conception (APM) (A) |
416 |
83,4 |
15,9 |
0,7 |
Marseille Timone enfants (APM) (P) |
67 |
59,7 |
37,3 |
3,0 |
Montpellier (A) |
642 |
60,0 |
40,0 |
0,0 |
Nancy FA |
9 |
88,9 |
11,1 |
0,0 |
Nice (A) |
237 |
32,5 |
60,3 |
7,2 |
Paris Necker-Enfants Malades (AP-HP) |
130 |
99,2 |
0,8 |
0,0 |
Paris Pitié-Salpêtrière (AP-HP) (A)**** |
1011 |
98,3 |
1,7 |
0,0 |
Rennes (A) |
1028 |
89,5 |
10,5 |
0,0 |
Strasbourg |
651 |
100,0 |
0,0 |
0,0 |
Toulouse (A) |
390 |
100,0 |
0,0 |
0,0 |
Tours (A) |
336 |
96,4 |
3,6 |
0,0 |
Villejuif Paul Brousse (AP-HP) (A) |
1507 |
75,4 |
6,1 |
18,5 |
Total |
11475 |
78,4 |
16,8 |
4,8 |
* pourcentage de dossiers dont les dernières nouvelles datent de plus de 2 ans ou sont manquantes (suivi datant de plus de 2 ans)
** Fermeture de l’équipe de Limoges en 2009
*** Fusion Lyon Croix Rousse - Lyon Edouard Herriot en août 2010 et scission en décembre 2014
Données extraites de CRISTAL le 02/03/2017
**** Fusion des équipes de la Pitié-Salpêtrière et Saint-Antoine sur le site de la Pitié-Salpêtrière le 3 novembre 2014
Le pourcentage de malades, pour lesquels le suivi n’est pas renseigné depuis plus de 2 ans ou est manquant concerne 4,8% des dossiers en 2016 et celui pour lesquels le suivi n’est pas renseigné depuis plus d’un an et moins de deux ans est de 16,8%. Ce pourcentage est cependant extrêmement variable d’une équipe à l’autre.
Figure F5. Survie globale du receveur après greffe hépatique (1993-2015)
Période de greffe |
N |
Survie à 1 mois |
Survie à 1 an |
Survie à 5 ans |
Survie à 10 ans |
Survie à 15 ans |
Médiane de |
1993-2015** |
18673 |
93,5% |
84,9% |
73,3% |
62,4% |
NO |
NO |
nombre de sujets à risque* |
|
17350 |
15577 |
9954 |
5334 |
2181 |
|
[] : Intervalle de confiance
NO : non observable
* : Nombre de malades restant à observer pour chaque temps et pour lesquels aucun évènement ni censure n'est survenu
** Pour l’année 2015, seuls les patients greffés entre janvier et Juin ont été inclus car pour le 2ème semestre 2015, le pourcentage de suivi post greffe manquant à un an était trop élevé.
Le tracé des courbes de survie et les résultats des tableaux de données ne sont pas présentés s’il n’y a pas au moins 15% des effectifs de départ, ceci pour garantir une certaine stabilité des résultats sur le long terme. Néanmoins, la garantie des résultats est liée à l’exhaustivité des suivis saisis dans Cristal.
En effet, il faut permettre un recul nécessaire à suffisamment de malades de chaque cohorte pour estimer les taux de survie (par exemple, pas d’estimation de la survie à plus de 1 an pour la cohorte 2011-2015 dont les malades greffés en 2015 ont seulement 1 an de suivi dans Cristal).
Figure F6. Survie globale du greffon après une première greffe hépatique (1993-2015)
Période de greffe |
N |
Survie à 1 mois |
Survie à 1 an |
Survie à 5 ans |
Survie à 10 ans |
Survie à 15 ans |
Médiane de |
1993-2015** |
18673 |
90,8% |
81,5% |
69,1% |
57,6% |
NO |
NO |
nombre de sujets à risque* |
|
16836 |
14950 |
9392 |
4934 |
1969 |
|
[] : Intervalle de confiance
NO : non observable
* : Nombre de malades restant à observer pour chaque temps et pour lesquels aucun évènement ni censure n'est survenu
** Pour l’année 2015, seuls les patients greffés entre janvier et Juin ont été inclus car pour le 2ème semestre 2015, le pourcentage de suivi post greffe manquant à un an était trop élevé.
Figure F7. Courbe de survie du receveur hépatique selon la période de greffe (1990-2015)
Période de greffe |
N |
Survie à 1 mois |
Survie à 1 an |
Survie à 5 ans |
Survie à 10 ans |
Survie à 15 ans |
Médiane de |
1990-1994 |
1138 |
88,8% |
78,5% |
67,5% |
60,4% |
51,4% |
191,5 |
nombre de sujets à risque* |
|
1005 |
887 |
751 |
631 |
458 |
|
1995-1999 |
3026 |
91,4% |
81,9% |
71,3% |
61,4% |
51,2% |
190,1 |
nombre de sujets à risque* |
|
2763 |
2472 |
2126 |
1705 |
1292 |
|
2000-2004 |
3843 |
93,9% |
86,2% |
75,3% |
64,2% |
NO |
NO |
nombre de sujets à risque* |
|
3605 |
3304 |
2821 |
2274 |
431 |
|
2005-2007 |
2826 |
93,5% |
85,4% |
72,8% |
61,0% |
NO |
NO |
nombre de sujets à risque* |
|
2642 |
2409 |
2000 |
724 |
0 |
|
2008-2010 |
2848 |
94,1% |
84,7% |
72,3% |
NO |
NO |
NO |
nombre de sujets à risque* |
|
2674 |
2401 |
1916 |
0 |
0 |
|
2011-2015** |
4992 |
95,3% |
87,1% |
NO |
NO |
NO |
NO |
nombre de sujets à risque* |
|
4661 |
4104 |
340 |
0 |
0 |
|
[] : Intervalle de confiance
NO : non observable
* : Nombre de malades restant à observer pour chaque temps et pour lesquels aucun évènement ni censure n'est survenu
** Pour l’année 2015, seuls les patients greffés entre janvier et Juin ont été inclus car pour le 2ème semestre 2015, le pourcentage de suivi post greffe manquant à un an était trop élevé.
Figure F8. Survie du receveur après greffe hépatique selon la pathologie à la première inscription
(1993-2015)**
Maladie initiale |
N |
Survie à 1 mois |
Survie à 1 an |
Survie à 5 ans |
Survie à 10 ans |
Survie à 15 ans |
Médiane de |
Autre cause |
2950 |
91,9% |
83,3% |
74,7% |
67,2% |
NO |
NO |
nombre de sujets à risque* |
|
2687 |
2405 |
1605 |
892 |
402 |
|
Cirrhose alcoolique |
5375 |
95,1% |
86,9% |
75,3% |
59,4% |
NO |
156,1 |
nombre de sujets à risque* |
|
5087 |
4602 |
2941 |
1506 |
518 |
|
Cirrhose post-hépatite (B, C ou D) |
3318 |
94,2% |
82,9% |
70,4% |
60,7% |
NO |
NO |
nombre de sujets à risque* |
|
3115 |
2723 |
1913 |
1141 |
493 |
|
Défaillance hépatique aigue |
1090 |
82,2% |
72,5% |
66,4% |
61,7% |
NO |
NO |
nombre de sujets à risque* |
|
879 |
760 |
514 |
312 |
143 |
|
Pathologie biliaire |
1940 |
93,2% |
88,5% |
83,2% |
79,2% |
73,1% |
NO |
nombre de sujets à risque* |
|
1796 |
1694 |
1236 |
817 |
418 |
|
Tumeur hépatique |
4000 |
95,4% |
86,7% |
68,5% |
54,9% |
NO |
NO |
nombre de sujets à risque* |
|
3786 |
3393 |
1745 |
666 |
207 |
|
[] : Intervalle de confiance
NO : non observable
* : Nombre de malades restant à observer pour chaque temps et pour lesquels aucun évènement ni censure n'est survenu
** Pour l’année 2015, seuls les patients greffés entre janvier et Juin ont été inclus car pour le 2ème semestre 2015, le pourcentage de suivi post greffe manquant à un an était trop élevé.
Figure F9. Survie du receveur après greffe hépatique selon l'âge du receveur (1993-2015)**
Classe d'âge (ans) |
N |
Survie à 1 mois |
Survie à 1 an |
Survie à 5 ans |
Survie à 10 ans |
Survie à 15 ans |
Médiane de |
0-17 ans |
1541 |
88,9% |
83,2% |
79,9% |
77,9% |
75,3% |
NO |
nombre de sujets à risque* |
|
1363 |
1265 |
940 |
625 |
330 |
|
18-54 ans |
9517 |
93,7% |
86,2% |
75,2% |
64,9% |
NO |
NO |
nombre de sujets à risque* |
|
8860 |
8070 |
5507 |
3140 |
1348 |
|
55-64 ans |
6333 |
94,3% |
83,9% |
69,4% |
55,6% |
NO |
NO |
nombre de sujets à risque* |
|
5928 |
5213 |
3033 |
1405 |
465 |
|
>= 65 ans |
1282 |
94,3% |
82,4% |
68,3% |
NO |
NO |
NO |
nombre de sujets à risque* |
|
1199 |
1029 |
474 |
164 |
38 |
|
[] : Intervalle de confiance
NO : non observable
* : Nombre de malades restant à observer pour chaque temps et pour lesquels aucun évènement ni censure n'est survenu
** Pour l’année 2015, seuls les patients greffés entre janvier et Juin ont été inclus car pour le 2ème semestre 2015, le pourcentage de suivi post greffe manquant à un an était trop élevé.
Figure F10. Survie du receveur après greffe hépatique selon l'âge du donneur (1993-2015)**
Classe d'âge donneur (ans) |
N |
Survie à 1 mois |
Survie à 1 an |
Survie à 5 ans |
Survie à 10 ans |
Survie à 15 ans |
Médiane de |
0-17 ans |
1066 |
93,9% |
88,5% |
83,3% |
75,5% |
68,6% |
NO |
nombre de sujets à risque* |
|
998 |
935 |
696 |
429 |
210 |
|
18-60 ans |
11337 |
93,9% |
85,8% |
74,5% |
63,3% |
NO |
NO |
nombre de sujets à risque* |
|
10588 |
9589 |
6456 |
3485 |
1208 |
|
61-70 ans |
2356 |
94,1% |
84,6% |
70,4% |
58,2% |
NO |
NO |
nombre de sujets à risque* |
|
2200 |
1947 |
1025 |
365 |
80 |
|
>70 ans |
2193 |
94,6% |
84,7% |
68,2% |
NO |
NO |
NO |
nombre de sujets à risque* |
|
2043 |
1781 |
648 |
128 |
4 |
|
[] : Intervalle de confiance
NO : non observable
* : Nombre de malades restant à observer pour chaque temps et pour lesquels aucun évènement ni censure n'est survenu
** Pour l’année 2015, seuls les patients greffés entre janvier et Juin ont été inclus car pour le 2ème semestre 2015, le pourcentage de suivi post greffe manquant à un an était trop élevé.
Figure F11. Survie du receveur après greffe hépatique selon l’inscription ou non en super-urgence (1993-2015)**
Degré d'urgence |
N |
Survie à 1 mois |
Survie à 1 an |
Survie à 5 ans |
Survie à 10 ans |
Survie à 15 ans |
Médiane de |
Non inscrit en super-urgence au moment de la greffe |
17267 |
94,4% |
85,8% |
73,7% |
62,4% |
NO |
NO |
nombre de sujets à risque* |
|
16203 |
14577 |
9312 |
4979 |
2034 |
|
Inscrit en super-urgence au moment de la greffe |
1406 |
82,9% |
73,6% |
67,9% |
63,1% |
NO |
NO |
nombre de sujets à risque* |
|
1147 |
1000 |
642 |
355 |
147 |
|
[] : Intervalle de confiance
NO : non observable
* : Nombre de malades restant à observer pour chaque temps et pour lesquels aucun évènement ni censure n'est survenu
** Pour l’année 2015, seuls les patients greffés entre janvier et Juin ont été inclus car pour le 2ème semestre 2015, le pourcentage de suivi post greffe manquant à un an était trop élevé.
Figure F12. Survie du receveur après une retransplantation précoce, péri-opératoire ou tardive du foie (1993-2015)**
Type de retransplantation |
N |
Survie à 1 mois |
Survie à 1 an |
Survie à 5 ans |
Survie à 10 ans |
Survie à 15 ans |
Médiane de |
Retransplantation précoce (moins de 8 jours) |
423 |
79,0% |
61,4% |
52,6% |
48,5% |
NO |
102,1 |
nombre de sujets à risque* |
|
331 |
256 |
164 |
89 |
27 |
|
Retransplantation entre 8 jours et 3 mois |
313 |
71,4% |
56,3% |
43,9% |
40,1% |
NO |
33,9 |
nombre de sujets à risque* |
|
222 |
175 |
101 |
63 |
27 |
|
Retransplantation tardive (plus de 3 mois) |
964 |
88,0% |
73,7% |
63,8% |
54,5% |
NO |
NO |
nombre de sujets à risque* |
|
843 |
697 |
439 |
217 |
86 |
|
[] : Intervalle de confiance
NO : non observable
* : Nombre de malades restant à observer pour chaque temps et pour lesquels aucun évènement ni censure n'est survenu
** Pour l’année 2015, seuls les patients greffés entre janvier et Juin ont été inclus car pour le 2ème semestre 2015, le pourcentage de suivi post greffe manquant à un an était trop élevé.
Figure F13. Courbe de survie du receveur hépatique selon le type de greffon (1993-2015)**
Type de donneur |
N |
Survie à 1 mois |
Survie à 1 an |
Survie à 5 ans |
Survie à 10 ans |
Survie à 15 ans |
Médiane de |
Receveurs de foie total de donneurs décédés SME |
15079 |
94,2% |
85,8% |
73,6% |
62,0% |
NO |
NO |
nombre de sujets à risque* |
|
14109 |
12688 |
7806 |
3893 |
1361 |
|
Receveurs de foie split de donneurs décédés SME |
1149 |
92,0% |
83,6% |
77,3% |
69,4% |
NO |
NO |
nombre de sujets à risque* |
|
1052 |
944 |
582 |
253 |
60 |
|
Receveurs de foie de donneurs vivants hors domino |
497 |
91,7% |
86,4% |
79,0% |
72,7% |
NO |
NO |
nombre de sujets à risque* |
|
451 |
421 |
328 |
224 |
74 |
|
[] : Intervalle de confiance
NO : non observable
* : Nombre de malades restant à observer pour chaque temps et pour lesquels aucun évènement n'est survenu
** Pour l’année 2015, seuls les patients greffés entre janvier et Juin ont été inclus car pour le 2ème semestre 2015, le pourcentage de suivi post greffe manquant à un an était trop élevé.
Tableau F31. Estimation du nombre de malades porteurs de greffons fonctionnels au 31 décembre 2016 par équipe de suivi
Equipe de suivi |
Nombre de malades n'ayant pas fait l'objet d'une déclaration de décès ou d'arrêt de fonction du greffon |
Nombre malades suivis (dernières nouvelles<=18 mois) |
Nombre estimé de malades vivants avec greffon fonctionnel au 31/12/2016 |
Besançon (A) |
334 |
311 |
322 |
Bordeaux (A+P) |
554 |
334 |
449 |
Caen * |
260 |
242 |
250 |
Clamart Antoine Beclère * |
0 |
0 |
0 |
Clermont-Ferrand (A+P) |
150 |
147 |
149 |
Clichy Beaujon (AP-HP) (A) |
1127 |
526 |
854 |
Créteil Henri Mondor (AP-HP) (A) |
793 |
730 |
757 |
Dijon * |
0 |
0 |
0 |
Grenoble (A) |
376 |
367 |
371 |
Le Kremlin Bicêtre (AP-HP) (P) |
582 |
461 |
510 |
Lille (A) |
584 |
565 |
571 |
Limoges * |
35 |
24 |
28 |
Lyon (HCL) (A) |
1435 |
1222 |
1300 |
Marseille Conception (APM) (A) |
522 |
485 |
501 |
Marseille Timone enfants (APM) (P) |
76 |
67 |
71 |
Montpellier (A) |
737 |
716 |
724 |
Nancy FA * |
24 |
10 |
15 |
Nantes FA * |
4 |
0 |
1 |
Nice (A) |
386 |
196 |
276 |
Nice FP * |
0 |
0 |
0 |
Paris Bichat * |
0 |
0 |
0 |
Paris Necker-Enfants Malades (AP-HP) (P) |
190 |
178 |
183 |
Paris Pitié-Salpêtrière (AP-HP) (A) |
1431 |
1148 |
1250 |
Rennes (A+P) |
1237 |
1158 |
1188 |
Strasbourg (A+P) |
950 |
798 |
862 |
Toulouse (A) |
476 |
447 |
460 |
Tours (A) |
438 |
433 |
436 |
Villejuif Paul Brousse (AP-HP) (A) |
1955 |
1469 |
1667 |
Total |
14656 |
12034 |
13194 |
* Equipe de suivi sans autorisation d'activité de greffe hépatique
Données extraites de CRISTAL le 02/03/2017
Malgré l’amélioration de l’exhaustivité des données de suivi des malades greffés hépatiques, il n’est pas possible d’obtenir le nombre de malades porteurs d’un greffon fonctionnel par simple interrogation de Cristal. Ainsi, l’estimation de ce nombre a été effectuée en deux étapes basées sur l’ancienneté des données de suivi du malade.
Dans un premier temps, nous avons dénombré les porteurs d’un greffon fonctionnel dans Cristal (malades déclarés vivants sans arrêt de fonction du greffon) dont les dernières nouvelles dataient de moins de 18 mois (suivi annuel obligatoire dans Cristal). Pour les malades qui n’avaient pas fait l’objet d’une déclaration de décès ou d’arrêt de fonction du greffon et dont le suivi datait de plus de 18 mois, le nombre de porteurs d’un greffon fonctionnel a été estimé en leur appliquant les taux de survie du greffon estimés sur la population globale.
Le nombre total de porteurs d’un greffon fonctionnel correspond à la somme de ces deux valeurs. Le chiffre ainsi estimé est encadré par deux bornes :
- la borne inférieure correspond à l’hypothèse la plus pessimiste, selon laquelle les malades non suivis sont considérés comme en arrêt fonctionnel de greffon ou décédés. Cela signifie que seuls les greffés qui n’avaient pas fait l’objet d’une déclaration de décès ou d’arrêt de fonction du greffon au 31 décembre de l’année et dont les données de suivi dataient de moins de 18 mois étaient porteurs d’un greffon fonctionnel à cette date,
- la borne supérieure correspond à l’hypothèse la plus optimiste, selon laquelle les malades non suivis sont considérés comme porteurs d’un greffon fonctionnel.
En d’autres termes, tous les greffés qui n’avaient pas fait l’objet d’une déclaration de décès ou d’arrêt de fonction du greffon au 31 décembre de l’année, quelle que soit l’ancienneté des données de suivi, étaient vivants et porteurs d’un greffon fonctionnel à cette date.
Le nombre de malades porteurs d’un greffon fonctionnel est un indicateur important de la charge de travail des équipes médico-chirurgicales de greffe qui doivent assumer le suivi d’une cohorte chaque année grandissante de malades sous traitement immunosuppresseur. Le nombre de porteurs d'un greffon fonctionnel estimé au 31 décembre 2016 varie, d'une équipe de suivi à l'autre, de 0 à 1667 malades. Le nombre estimé de malades porteurs d’un greffon fonctionnel en France est de 13 194 au 31 décembre 2016 (dont 294 porteurs estimés étaient suivis par des équipes n’ayant plus d’autorisation de greffe en 2016).
Conclusion
Le contexte global de la greffe hépatique en 2016 est celui :
- D’une hausse du nombre de nouveaux inscrits de 3,8% en 1 an malgré la baisse de près de 30% du nombre de nouveaux inscrits porteurs du marqueur de l’hépatite C. Cette augmentation porte surtout sur les patients inscrits pour hépatocarcinome et pour les inscrits de plus de 66 ans (+ 13% en 1 an, + 196% en 5 ans), correspondant à un élargissement des indications. Ce vieillissement des receveurs à l’inscription est observé en greffe rénale depuis plusieurs années mais se réalise en présence d’une adéquation à l’âge pour l’allocation des greffons, ce qui n’est pas le cas en greffe hépatique.
- D’une modification de la répartition des composantes et des valeurs de MELD parmi les inscrits avec un écart qui se resserre entre les inscriptions pour CHC, en hausse globale depuis 3 ans (38% des inscrits) expliquant le vieillissement des candidats, et les inscriptions pour cirrhose isolée, en recul depuis 3 ans (48% des inscrits), y compris pour la catégorie de malades avec une valeur du MELD > 30.
- De l’absence de hausse cette année du nombre de greffes hépatiques (-2%), le taux de prélèvement des donneurs en état de mort encéphalique étant comparable aux valeurs observées en 2015. Le taux d’efficience du prélèvement hépatique chez les donneurs prélevés a baissé de 78% à 74% en 2 ans pour revenir aux valeurs observées entre 2010 et 2012. L’activité de greffe a pu être maintenue grâce à la hausse de 20% du recours au partage hépatique.
- D’une pénurie de greffons qui finalement ne s’est pas accrue en 2016 si on prend en compte uniquement les malades éligibles à la greffe après exclusion des receveurs en CIT. En effet, on observe un recours plus fréquent à la mise en contre-indication comme stratégie de gestion de la liste d’attente (50 % des malades un jour donné). Le nombre de receveurs en attente au 1er janvier pour un greffon hors malade en CIT est estimé à 0,5 en 2016 contre 0,7 en 2013 et 2014. Le nombre de malades restant inscrits au début de l’année 2017 et actifs sur la liste est de 702 malades contre 847 au début de l’année 2014, soit une baisse de 17% en 3 ans du nombre de candidats éligibles à la greffe un jour donné. Le taux cumulé d’accès à la greffe, toute indication confondue, hors temps cumulé en contre-indication, a atteint 67% à 1 an et 78% à 2 ans pour les malades inscrits à partir du 1er janvier 2011, après exclusion des malades en attente de greffe à partir de donneurs vivants.
- D’une nouvelle baisse du taux d’incidence de décès et de retrait de liste pour aggravation rapporté à 1000 patients x année, tendance observée depuis 4 ans, soit après la mise en application du modèle gravitaire et isochrone du score foie. En 2016, le nombre de retraits de liste pour aggravation et le nombre de décès ont baissé respectivement de 17% et 25% en 2 ans. Les modalités de sortie de liste diffèrent selon la composante de greffe, s’agissant plus fréquemment du décès du malade en cas d’inscription pour cirrhose isolée ou retransplantation et plus souvent de sortie de liste pour aggravation en cas de CHC, du fait d’une sortie de liste pour progression tumorale trop importante.
- De l’absence d’impact négatif sur la survie post greffe immédiate du score des greffons hépatiques et cela malgré la tendance engagée depuis 2010 de greffer des malades plus graves, et du recours à des greffons prélevés sur des donneurs plus âgés.
- D’une baisse significative de la greffe à partir de donneurs vivants et d’un recours préférentiel depuis 6 ans au prélèvement du foie (ou lobe) gauche en cas de donneurs vivants, y compris en cas de receveurs adultes, stratégie récente et reconnue pour entrainer moins de complications et une récupération physique plus rapide chez le donneur.
- D’une activité en hausse des greffes hépatiques à partir de donneurs décédés après arrêt circulatoire suite à la limitation ou l’arrêt des thérapeutiques (donneurs de la catégorie III de Maastricht) avec des résultats post greffe à ce jour excellents.
- D’un nombre de demandes et de greffes via la composante experts en hausse significative en 2016 après 2 années de baisse consécutive avec plus de 350 demandes acceptées et près de 267 greffes hépatiques en 2016. Les patients bénéficiant d’une composante experts ont un meilleur accès à la greffe (87% à 2 ans) et un moindre risque de décès (en risque compétitifs) que ceux ne bénéficiant d’aucune priorité. Ils sont en moyenne plus âgés que les autres malades en liste d’attente dans un contexte d’allocation de greffons ne prenant pas en compte le différentiel d’âge. La part de greffes via la composante experts représente 21% des modalités d’attribution en 2016 contre 17% 2014 et 2015 (donneurs vivants et DDAC exclus).
- D’un nombre de demandes et de greffe dans le cadre d’une super-urgence qui se maintient autour de 110-120 greffes / an dont un tiers concernent des enfants et un peu moins d’un tiers des retransplantations après non fonction primaire de la greffe précédente. Du fait de l’augmentation de l’activité de greffe hépatique depuis 2013, la part de greffes en Super Urgence baisse et représente 9% des modalités d’attribution en 2016 contre 11% en 2013 (donneurs vivants et DDAC exclus).
En 2016, une étude a été menée sur les facteurs prédictifs d’échec de greffe hépatique en fonction des caractéristiques des donneurs. Dans un contexte de pénuries d’organes, l’acceptation de donneurs à critères élargis est en hausse. Des « donneurs risque index » ont été développés en transplantation hépatique et rénale pour prédire le risque d’échec de greffe lié aux caractéristiques du donneur, en particulier aux Etats Unis (Liver donor risk index) et dans la zone Eurotransplant (eurotranspalnt donor risk index). Mais les caractéristiques des donneurs en France sont différentes et ces scores ne sont pas applicables dans le contexte français.
L’objectif de cette étude a été de déterminer les facteurs de risque liés au donneur associés à l’échec de greffe hépatique à un an en France.
L’analyse a été menée sur 5759 greffes réalisées entre 2007 et 2013 après exclusion des greffes pédiatriques, des retransplantations, des donneurs vivants, des DDAC, des greffes combinées et des splits. L’évènement étudié est l’échec de greffe à un an qui correspond à l’arrêt de fonction du greffon ou au décès un an après la greffe. Les courbes de survies ont été estimées avec la méthode de Kaplan Meier et comparées à l’aide du test du Log rank. L’analyse de survie a été réalisée à l’aide d’un modèle de cox multivarié incluant les variables liées au donneur et au receveur associées à l’échec de greffe à un an dans un modèle univarié avec p<0.2. La valeur prédictive du modèle a été estimée avec le cpe (concordance probability estimation). Les scores donneur et receveur ont été générés avec les paramètres estimés dans le modèle cox en additionnant les produits des facteurs et de leur paramètres béta estimés.
Résultats : Les donneurs de plus de 65 ans représentent 31% des donneurs et les femmes 44%. Dans 61% des cas, le donneur était décédé de cause vasculaire, dans 24% d’un décès traumatique et dans 24% des cas il s’agissait d’un arrêt cardiaque récupéré. L’hypertension artérielle chez le donneur a été reportée dans 56% des cas, l’alcoolisme dans 16%, le tabagisme dans 53% et le diabète dans 7% des cas. Un tiers des donneurs avait un débit de filtration glomérulaire (DFG) <60 mL/min. Les facteurs liés au donneur associés à l’échec de greffe hépatique à un an en analyse univariée étaient : le sexe, l’âge, l’étiologie du décès, l’hypertension artérielle, le groupe sanguin, la taille et le DFG. Dans un modèle multivariée, les facteurs restant significativement associés à l’échec de greffe à un an étaient : l’âge du donneur >65 ans (HR : 1.2 ; IC95% : 1.0-1.4 ; p=0.05) ; l’HTA et le décès vasculaire (variable combinée : HR=1.3 ; IC95% : 1.1-1.6),le DFG (HR : 0.98 ; IC95% :0.96-1.0), et la taille / 10 (HR : 0.94 IC95% : 0.87-1.0). Dans ce modèle, les facteurs liés au receveur étaient : Age à la greffe, l’USI/intubation, l’indication, le DFG/dialyse et l’indication cirrhose virale C. La valeur prédictive du modèle d’échec de greffe comprenant les facteurs liés au donneur et au receveur est correcte (cpe=0.7).
Lorsqu’on répartit les donneurs en 4 groupes en fonction de leur score (découpage par quartile), le groupe de donneur à faible risque (scores les plus faibles ) a 86.3% de survie à un an alors que le groupe de donneur à haut risque (scores les plus élevés) a 78.6% de survie a un an. Si l’on procède de même pour les receveurs, les receveurs à faible risque (scores les plus bas) ont une survie à un an de 88.8% alors que les receveurs à haut risque ont une survie à un an à 72.7%. Lorsqu’on estime la survie des receveurs en fonction de leur risque et du risque lié au donneur, on constate que lorsqu’un greffon de donneur à haut risque est greffé à un receveur à faible risque, la survie est à 87.5% alors qu’elle n’est qu’à 63.0% lorsqu’il est greffé à un receveur à haut risque. Les receveurs à faible risque ont une survie à 5 ans comparable (74% et 76,8%) selon que le donneur est à bas ou haut risque.
Le taux de donneur à haut risque (dernier quartile de score) varie selon les équipes. Le pourcentage de foie non prélevé parmi les donneur PMO prélevé d’au moins un organe greffé varie de 24.8% pour les donneurs à faible risque à 31.4% pour les donneurs à haut risque. On observe une hétérogénéité d’accès au prélèvement de foie en fonction des régions.
Les paramètres de ce score donneur doivent désormais être validés sur une cohorte ultérieure et être éventuellement affinés avec d’autres facteurs (données de l’imagerie pour la qualification des greffons hépatiques).