Résumé de l’activité
Depuis 1968, année de la première greffe cardiaque enregistrée dans CRISTAL, 13 213 greffes cardiaques ont été réalisées (dont 690 par des équipes aujourd’hui inactives). Le nombre estimé de malades vivant avec un greffon fonctionnel au 31 décembre 2016 est de 4 748.
Tableau C1. Évolution du devenir des candidats à une greffe cardiaque
|
2011 |
2012 |
2013 |
2014 |
2015 |
2016 |
2017 |
Liste d'attente |
|
|
|
|
|
|
|
- malades restant en attente au 1er janvier de chaque année |
281 |
298 |
321 |
334 |
359 |
378 |
328 |
dont malades en attente au 1er janvier et en CIT |
54 |
71 |
79 |
104 |
107 |
114 |
91 |
Part des malades en CIT parmi les malades en attente au 1er janvier |
19% |
24% |
25% |
31% |
30% |
30% |
28% |
- nouveaux inscrits dans l'année |
515 |
530 |
546 |
570 |
621 |
573 |
|
- décédés dans l'année |
62 |
65 |
76 |
77 |
79 |
79 |
|
- sortis de la liste d'attente |
38 |
45 |
47 |
45 |
52 |
67 |
|
- dont sortis de la liste d'attente pour aggravation |
14 |
14 |
18 |
14 |
18 |
19 |
|
Greffes |
398 |
397 |
410 |
423 |
471 |
477 |
|
Greffes (pmh) |
6,1 |
6,1 |
6,2 |
6,4 |
7,1 |
7,1 |
|
CIT : Contre indication temporaire / pmh : par million d'habitants
Données extraites de CRISTAL le 02/03/2017
Devenir des candidats en liste d’attente
Liste d’attente
En 2016, 573 nouveaux malades ont été inscrits sur la liste d’attente soit 8% de moins qu’en 2015. Avec 8,6 malades inscrits par million d’habitants (pmh), l’incidence d’inscription sur la liste d’attente a augmenté par rapport à 2011 de 0,9 pmh. Parmi ces 573 malades, 26 (4,5%) ont moins de 18 ans et 27 (4,7%) plus de 65 ans. Cinquante-deux (9,1%) malades ont une assistance circulatoire mécanique de longue durée ou un cœur artificiel total et 110 (19,2%) une assistance de courte durée (ECMO) à l’inscription. La proportion des malades sous assistance de longue durée est stable par rapport à 2015 alors que celle des malades sous assistance de courte durée est en hausse (56 (9%) assistances de longue durée ou cœur artificiel total et 92 (14,8%) ECMO en 2015). Cette répartition diffère de celle observée dans d’autres pays. Cette différence peut s’expliquer par la différence des critères d’attribution prioritaire des greffons entre les pays, avec en France une priorité d’accès à la greffe donnée aux malades sous ECMO et l’absence de priorité pour les malades sous assistance circulatoire de longue durée sans complication. Deux cent dix-sept (37,9%) malades sont sous traitements inotropes en intraveineux, 58 (10,1%) sont sous ventilation assistée invasive et 9 (1,6%) sont dialysés à l’inscription. Au total, 167 (29,2%) ont une créatininémie ≥ 120 µmol/l, dont 25 (4,4%) une créatininémie ≥ 200 µmol/l, et, 78 (13,6%) une bilirubinémie ≥ 35 µmol/l à l’inscription. Quatre-vingt-huit (15,4%) malades ont un diabète. Les cardiomyopathies dilatées et les cardiopathies ischémiques restent les indications les plus fréquentes de nouvelle inscription en liste d’attente avec respectivement 44,7% et 32,3% des nouvelles inscriptions. Le nombre de malades restant inscrits au 1er janvier 2017 est de 328 en baisse de 13% par rapport à l’année précédente.
Tableau C2. Évolution des principaux indicateurs de pénurie en greffe cardiaque
2011 |
2012 |
2013 |
2014 |
2015 |
2016 |
|
Nouveaux inscrits pour un greffon |
1,3 |
1,3 |
1,3 |
1,3 |
1,3 |
1,2 |
Candidats en attente au 1er janvier pour un greffon |
0,7 |
0,8 |
0,8 |
0,8 |
0,8 |
0,8 |
Candidats en attente au 1er janvier pour un greffon hors malade en CIT |
0,6 |
0,6 |
0,6 |
0,5 |
0,5 |
0,6 |
Total candidats pour un greffon |
2 |
2,1 |
2,1 |
2,1 |
2,1 |
2 |
CIT : Contre indication temporaire
Données extraites de CRISTAL le 02/03/2017
L’évolution de la pénurie peut être mesurée par :
- le nombre de candidats en attente au 1er janvier de l’année pour un greffon (0,8 candidat début 2016 pour 1 greffon cardiaque) ;
- le nombre de nouveaux inscrits pour un greffon (1,2 inscrit pour un greffon) ;
- le nombre total de candidats pour un greffon (2 candidats pour un greffon dans l’année) ;
- si l’on enlève les malades en CIT au 1er janvier 2016, on passe de 0,8 à 0,6 candidat en attente au 1er janvier 2016 pour un greffon.
Tableau C3. Caractéristiques démographiques des donneurs de greffon cardiaque et des malades inscrits selon leur devenir en liste d'attente en 2016
Caractéristiques |
Greffons cardiaques greffés en 2016 |
Malades en attente au 1er janvier 2016 |
Nouveaux malades inscrits en 2016 |
Malades greffés en 2016 |
Malades décédés en 2016 |
Malades sortis de la liste pour aggravation en 2016 |
||||||
n |
% |
n |
% |
n |
% |
n |
% |
n |
% |
n |
% |
|
Age |
||||||||||||
0-17 ans |
25 |
5,2 |
11 |
2,9 |
26 |
4,5 |
22 |
4,6 |
2 |
2,5 |
0 |
0 |
18-29 ans |
91 |
19,1 |
16 |
4,2 |
40 |
7 |
30 |
6,3 |
3 |
3,8 |
1 |
5,3 |
30-55 ans |
250 |
52,4 |
201 |
53,2 |
266 |
46,4 |
236 |
49,5 |
37 |
46,8 |
5 |
26,3 |
56-65 ans |
98 |
20,5 |
126 |
33,3 |
214 |
37,3 |
163 |
34,2 |
33 |
41,8 |
10 |
52,6 |
>=66 ans |
13 |
2,7 |
24 |
6,3 |
27 |
4,7 |
26 |
5,5 |
4 |
5,1 |
3 |
15,8 |
(m ± ds, ans) |
43,3 |
15,2 |
50,6 |
13,3 |
49,4 |
14,6 |
49,2 |
14,5 |
51,5 |
12,8 |
57,9 |
9,2 |
Sexe |
||||||||||||
Masculin |
305 |
63,9 |
309 |
81,7 |
437 |
76,3 |
357 |
74,8 |
60 |
75,9 |
14 |
73,7 |
Féminin |
172 |
36,1 |
69 |
18,3 |
136 |
23,7 |
120 |
25,2 |
19 |
24,1 |
5 |
26,3 |
Groupe sanguin |
||||||||||||
A |
204 |
42,8 |
178 |
47,1 |
250 |
43,6 |
205 |
43 |
42 |
53,2 |
9 |
47,4 |
AB |
9 |
1,9 |
10 |
2,6 |
26 |
4,5 |
26 |
5,5 |
2 |
2,5 |
1 |
5,3 |
B |
47 |
9,9 |
29 |
7,7 |
60 |
10,5 |
58 |
12,2 |
9 |
11,4 |
1 |
5,3 |
O |
217 |
45,5 |
161 |
42,6 |
237 |
41,4 |
188 |
39,4 |
26 |
32,9 |
8 |
42,1 |
Total |
477 |
100 |
378 |
100 |
573 |
100 |
477 |
100 |
79 |
100 |
19 |
100 |
na=non applicable / (m ± ds, ans): moyenne ± déviation standard
Données extraites de CRISTAL le 02/03/2017
Tableau C4. Caractéristiques des malades inscrits selon leur devenir en liste d'attente de greffe de cœur en 2016
Caractéristiques |
Malades en attente au 1er janvier 2016 |
Nouveaux malades inscrits en 2016 |
Malades greffés en 2016 |
Malades décédés en 2016 |
Malades sortis de la liste pour aggravation en 2016 |
|||||
n |
% |
n |
% |
n |
% |
n |
% |
n |
% |
|
Lieu de prise en charge médicale |
||||||||||
Domicile |
290 |
76,7 |
257 |
44,9 |
171 |
35,8 |
31 |
39,2 |
7 |
36,8 |
Hôpital |
32 |
8,5 |
68 |
11,9 |
65 |
13,6 |
9 |
11,4 |
4 |
21,1 |
USI |
53 |
14 |
244 |
42,6 |
220 |
46,1 |
39 |
49,4 |
8 |
42,1 |
Données manquantes |
3 |
0,8 |
4 |
0,7 |
21 |
4,4 |
0 |
0 |
0 |
0 |
Retransplantation |
||||||||||
Oui |
15 |
4 |
12 |
2,1 |
15 |
3,1 |
2 |
2,5 |
0 |
0 |
Non |
363 |
96 |
561 |
97,9 |
462 |
96,9 |
77 |
97,5 |
19 |
100 |
Ventilation assistée invasive |
||||||||||
Oui |
12 |
3,2 |
58 |
10,1 |
35 |
7,3 |
15 |
19 |
2 |
10,5 |
Non |
347 |
91,8 |
508 |
88,7 |
418 |
87,6 |
61 |
77,2 |
16 |
84,2 |
Données manquantes |
19 |
5 |
7 |
1,2 |
24 |
5 |
3 |
3,8 |
1 |
5,3 |
Assistance ventriculaire ou cœur artificiel total |
||||||||||
Oui |
32 |
8,5 |
52 |
9,1 |
70 |
14,7 |
3 |
3,8 |
3 |
15,8 |
Non |
342 |
90,5 |
517 |
90,2 |
386 |
80,9 |
76 |
96,2 |
16 |
84,2 |
Données manquantes |
4 |
1,1 |
4 |
0,7 |
21 |
4,4 |
0 |
0 |
0 |
0 |
Circulation extra corporelle |
||||||||||
Oui |
17 |
4,5 |
110 |
19,2 |
95 |
19,9 |
20 |
25,3 |
5 |
26,3 |
Non |
351 |
92,9 |
456 |
79,6 |
360 |
75,5 |
56 |
70,9 |
14 |
73,7 |
Données manquantes |
10 |
2,6 |
7 |
1,2 |
22 |
4,6 |
3 |
3,8 |
0 |
0 |
Drogues inotropes |
||||||||||
Oui |
48 |
12,7 |
217 |
37,9 |
200 |
41,9 |
39 |
49,4 |
10 |
52,6 |
Non |
325 |
86 |
340 |
59,3 |
247 |
51,8 |
38 |
48,1 |
9 |
47,4 |
Données manquantes |
5 |
1,3 |
16 |
2,8 |
30 |
6,3 |
2 |
2,5 |
0 |
0 |
Dialyse |
||||||||||
Oui |
8 |
2,1 |
9 |
1,6 |
16 |
3,4 |
1 |
1,3 |
1 |
5,3 |
Non |
368 |
97,4 |
563 |
98,3 |
440 |
92,2 |
78 |
98,7 |
18 |
94,7 |
Données manquantes |
2 |
0,5 |
1 |
0,2 |
21 |
4,4 |
0 |
0 |
0 |
0 |
Créatinémie |
||||||||||
<60 µmol/l |
22 |
5,8 |
47 |
8,2 |
51 |
10,7 |
7 |
8,9 |
0 |
0 |
60-119 µmol/l |
219 |
57,9 |
350 |
61,1 |
258 |
54,1 |
37 |
46,8 |
8 |
42,1 |
120-199 µmol/l |
101 |
26,7 |
142 |
24,8 |
115 |
24,1 |
29 |
36,7 |
9 |
47,4 |
>=200 µmol/l |
9 |
2,4 |
25 |
4,4 |
12 |
2,5 |
4 |
5,1 |
1 |
5,3 |
Données manquantes |
27 |
7,1 |
9 |
1,6 |
76 |
15,9 |
2 |
2,5 |
1 |
5,3 |
Bilirubine |
||||||||||
<35 µmol/l |
328 |
86,8 |
477 |
83,2 |
347 |
72,7 |
58 |
73,4 |
15 |
78,9 |
35-49 µmol/l |
14 |
3,7 |
38 |
6,6 |
27 |
5,7 |
6 |
7,6 |
3 |
15,8 |
>=50 µmol/l |
4 |
1,1 |
40 |
7 |
27 |
5,7 |
11 |
13,9 |
1 |
5,3 |
Données manquantes |
32 |
8,5 |
18 |
3,1 |
41 |
8,6 |
4 |
5,1 |
0 |
0 |
Diabète à l’inscription |
||||||||||
Oui |
70 |
18,5 |
88 |
15,4 |
66 |
13,8 |
16 |
20,3 |
6 |
31,6 |
Non |
297 |
78,6 |
478 |
83,4 |
403 |
84,5 |
62 |
78,5 |
13 |
68,4 |
Données manquantes |
11 |
2,9 |
7 |
1,2 |
8 |
1,7 |
1 |
1,3 |
0 |
0 |
Total |
378 |
100 |
573 |
100 |
477 |
100 |
79 |
100 |
19 |
100 |
Données extraites de CRISTAL le 02/03/2017
Tableau C5. Evolution du nombre de nouveaux inscrits en attente d'une greffe cardiaque selon l’indication et incidence par million d'habitants
Indication |
2011 |
2012 |
2013 |
2014 |
2015 |
2016 |
||||||||||||
N |
% |
pmh |
N |
% |
pmh |
N |
% |
pmh |
N |
% |
pmh |
N |
% |
pmh |
N |
% |
pmh |
|
Autres pathologies |
78 |
15,1 |
1,2 |
83 |
15,7 |
1,3 |
77 |
14,1 |
1,2 |
64 |
11,2 |
1 |
86 |
13,8 |
1,3 |
100 |
17,5 |
1,5 |
Cardiomyopathies dilatées |
239 |
46,4 |
3,7 |
252 |
47,5 |
3,8 |
259 |
47,4 |
3,9 |
271 |
47,5 |
4,1 |
285 |
45,9 |
4,3 |
256 |
44,7 |
3,8 |
Cardiopathies ischémiques |
160 |
31,1 |
2,5 |
167 |
31,5 |
2,6 |
175 |
32,1 |
2,7 |
200 |
35,1 |
3 |
208 |
33,5 |
3,1 |
185 |
32,3 |
2,8 |
Cardiopathies valvulaires |
32 |
6,2 |
0,5 |
23 |
4,3 |
0,4 |
29 |
5,3 |
0,4 |
21 |
3,7 |
0,3 |
33 |
5,3 |
0,5 |
25 |
4,4 |
0,4 |
Retransplantations |
6 |
1,2 |
0,1 |
5 |
0,9 |
0,1 |
6 |
1,1 |
0,1 |
14 |
2,5 |
0,2 |
9 |
1,4 |
0,1 |
7 |
1,2 |
0,1 |
Total |
515 |
100 |
7,9 |
530 |
100 |
8,1 |
546 |
100 |
8,3 |
570 |
100 |
8,6 |
621 |
100 |
9,3 |
573 |
100 |
8,6 |
pmh : par million d'habitants
Données extraites de CRISTAL le 02/03/2017
Cinétique de la liste d’attente
L’accès à la greffe est évalué depuis 2014 par le taux d’incidence cumulée qui mesure la probabilité d’accès à la greffe en fonction de la durée d’attente en prenant en compte le risque concurrent de décès et de sortie de liste pour aggravation (voir chapitre « Greffes d’organes : Données générales et méthodes »). En effet, pour les malades inscrits en liste d’attente, l’accès à la greffe dépend du risque concurrent représenté par le décès en liste d’attente et la sortie de liste pour aggravation. La probabilité de greffe et la probabilité de décès sur la liste d’attente ou de sortie de liste pour aggravation dépendent l’une de l’autre. Ainsi le risque de décès ou de sortie de liste pour aggravation est impacté par l’accès à la greffe. Cette méthode exprime ce qui est réellement observé pour la cohorte des candidats inscrits en attente et permet d’évaluer le système de répartition des greffons. En revanche, cette méthode sous-estime ce que serait le risque de décès en liste d’attente si la greffe n’existait pas puisqu’en France, la majorité des candidats sont greffés dans l’année qui suit leur inscription.
En pourcentage, 65,4% et 12,4% de la cohorte des malades inscrits en liste d’attente en 2013, ont été respectivement greffés, ou sont décédés ou sortis de liste d’attente pour aggravation, un an après leur inscription en liste.
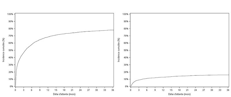
Pour la cohorte des malades inscrits entre 2011 et 2016, le taux d’incidence cumulée de greffe a été de 47% à 3 mois et 68% à 12 mois. La probabilité de greffe varie avec le groupe sanguin (les malades des groupes AB et B ont un meilleur accès à la greffe que ceux des groupes A et O), avec l’obtention ou non d’une priorité nationale (la probabilité de greffe à 3 mois en cas de Super Urgence 1 est de 74% versus 31% en l’absence de priorité). L’âge ne présente pas de différence significative, malgré que les enfants bénéficient d’une priorité pédiatrique (probabilité de greffe à 1 an de 75% pour les enfants versus 68% pour les adultes). On observe aussi des variations entre les centres de transplantation, l’incidence cumulée de greffe à 3 mois variant de 75% à Limoges à 31% à Marseille. L’analyse des écarts de cinétique d’accès à la greffe entre les équipes montre que ceux-ci s’expliquent principalement par des différences de recours à la Super Urgence, la différence de nombre de greffons prélevés dans l’inter région et par les différences dans la proportion de greffons refusés par l’équipe. Ces disparités devraient s’atténuer après la mise en place du score national de répartition des greffons cardiaques, fondé sur des caractéristiques objectives des malades avec une répartition nationale de tous les greffons.
Le risque de décès ou de sortie de liste pour aggravation a été également analysé avec la méthode des risques concurrents. La probabilité de décès ou de sortie de liste pour aggravation a significativement diminué entre les périodes 1995-1998 et 2015-2016 avec une baisse de 4% de son incidence cumulée à 1 an. L’incidence cumulée de décès ou de sortie de liste pour aggravation à un an est de 13% pour la cohorte des inscrits entre 2015 et 2016. L’essentiel de ce risque survient dans les 3 mois suivant l’inscription. La probabilité de décès ou de sortie de liste pour aggravation varie significativement avec l’obtention ou non d’une priorité (probabilité à 12 mois en cas de Super Urgence 1 de 9% versus 15% en l’absence de priorité). Ce résultat, a priori paradoxal (les malades en super urgence ont un taux d’incidence cumulée de décès ou de sortie de liste pour aggravation plus faible que ceux sans priorité) indique que les règles actuelles d’octroi des priorités nationales fondées sur la prise en charge médicale des malades induisent une sur priorisation des malades en bénéficiant. Cet élément est une des principales raisons qui a conduit l’Agence en collaboration avec les professionnels à élaborer le nouveau système de répartition des greffons.
La mortalité en liste d’attente peut également être évaluée par le taux d’incidence de décès ainsi que par le taux d’incidence de décès et de sortie de liste pour aggravation de l’état médical. Ces taux sont stables depuis 2011 et élevés par rapport à beaucoup d’autres pays (respectivement 22,2 et 27,2 pour 100 patients-années en 2011 versus 22,3 et 27,7 pour 100 patients-années en 2016). Ces taux, à la différence des taux d’incidence cumulée calculés avec la méthode des risques concurrents, permettent d’apprécier le flux de mortalité sur la liste d’attente. Cette mortalité dépend du profil des malades inscrits en attente et de l’efficacité des traitements alternatifs à la greffe.
Tableau C6. Evolution sur les trois premières années du devenir des malades inscrits pour la première fois en liste d’attente cardiaque en 2013 (N=538)
Statut sur liste d'attente |
% à 3 mois |
% à 6 mois |
% à 12 mois |
% à 18 mois |
% à 24 mois |
% à 30 mois |
% à 36 mois |
Toujours en attente |
44,4 |
29,6 |
18,4 |
12,1 |
9,7 |
7,1 |
5,2 |
Greffé |
43,9 |
56,9 |
65,4 |
69,3 |
70,4 |
72,1 |
73 |
Décédé en attente |
8 |
9,1 |
10,2 |
11,7 |
12,1 |
12,5 |
12,6 |
Sorti de la liste d'attente pour aggravation |
1,3 |
1,9 |
2,2 |
2,4 |
3 |
3 |
3 |
Sorti de la liste d'attente hors aggravation |
2,4 |
2,6 |
3,7 |
4,5 |
4,8 |
5,4 |
6,1 |
Données extraites de CRISTAL le 02/03/2017
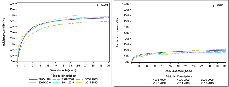
Figure C1. Taux d'incidence cumulée de greffe et de décès ou de sortie de liste pour aggravation des nouveaux inscrits en liste d’attente de greffe cardiaque selon la période d'inscription (1995-2016)
|
Incidence cumulée des greffes avec prise en compte du risque concurrent de décès en attente ou sorties pour aggravation |
|||||
en % [IC à 95%] |
||||||
Période d'inscription |
N |
à 3 mois |
à 6 mois |
à 12 mois |
à 24 mois |
à 36 mois |
1995-1998 |
2157 |
44 [42-47] |
59 [57-61] |
68 [65-70] |
73 [71-75] |
75 [73-77] |
1999-2002 |
1917 |
36 [33-38] |
48 [46-51] |
60 [58-62] |
67 [65-69] |
70 [67-72] |
2003-2006 |
1713 |
43 [41-45] |
56 [53-58] |
67 [65-69] |
74 [72-76] |
76 [74-78] |
2007-2010 |
1963 |
44 [42-46] |
56 [53-58] |
67 [65-69] |
75 [73-77] |
78 [76-80] |
2011-2014 |
2161 |
46 [44-48] |
58 [55-60] |
67 [65-69] |
74 [72-76] |
77 [75-79] |
2015-2016 |
1194 |
49 [46-52] |
59 [56-62] |
71 [68-73] |
NC |
NC |
Incidence cumulée des décès en attente ou sorties pour aggravation avec prise en compte du risque concurrent de greffe |
||||||
en % [IC à 95%] |
||||||
Période d'inscription |
N |
à 3 mois |
à 6 mois |
à 12 mois |
à 24 mois |
à 36 mois |
1995-1998 |
2157 |
12 [11-14] |
14 [13-16] |
17 [15-18] |
19 [17-20] |
20 [18-22] |
1999-2002 |
1917 |
11 [10-12] |
13 [12-15] |
16 [15-18] |
20 [18-22] |
21 [19-23] |
2003-2006 |
1713 |
11 [10-13] |
13 [11-14] |
15 [13-16] |
17 [15-19] |
18 [16-20] |
2007-2010 |
1963 |
11 [9-12] |
12 [11-14] |
15 [13-16] |
16 [15-18] |
17 [15-19] |
2011-2014 |
2161 |
9 [8-10] |
11 [10-13] |
13 [12-15] |
16 [14-17] |
16 [15-18] |
2015-2016 |
1194 |
9 [7-10] |
11 [9-13] |
13 [11-15] |
NC |
NC |
NC=Non calculable / IC : Intervalle de confiance
Données extraites de CRISTAL le 02/03/2017
Après 1 an d’attente, les malades inscrits entre 2015 et 2016 ont 71% de chance d’être greffés et 13% de risque de décéder en attente.
Tableau C7. Taux d'incidence cumulée de greffe des nouveaux inscrits sur liste d’attente cardiaque selon leurs caractéristiques (2011-2016)
|
Incidence cumulée des greffes avec prise en compte du risque concurrent de décès en attente ou sorties pour aggravation |
|
|||||||
en % [IC à 95%] |
|||||||||
N |
à 3 mois |
à 6 mois |
à 12 mois |
à 24 mois |
à 36 mois |
Médiane (mois) |
pvalue |
||
Global |
|
3355 |
47 [45-49] |
58 [56-60] |
68 [67-70] |
75 [74-77] |
78 [76-80] |
3,7 |
|
Global hors temps cumulé en CIT* |
|
3355 |
50 [48-52] |
61 [59-63] |
71 [69-73] |
77 [76-79] |
80 [79-82] |
3 |
|
Groupe sanguin |
A |
1472 |
45 [43-48] |
57 [54-59] |
67 [64-69] |
74 [72-77] |
78 [75-80] |
4 |
<0,001 |
|
AB |
144 |
68 [59-75] |
79 [71-85] |
86 [78-91] |
NC |
NC |
1,2 |
|
|
B |
395 |
59 [54-64] |
69 [65-74] |
80 [75-84] |
85 [81-89] |
NC |
1,6 |
|
|
O |
1344 |
43 [41-46] |
54 [51-57] |
65 [62-68] |
73 [70-75] |
75 [73-78] |
4,7 |
|
Age à l'inscription |
Adulte |
3158 |
47 [45-48] |
58 [56-59] |
68 [66-70] |
75 [74-77] |
78 [76-80] |
3,8 |
0,39 |
|
Pédiatrique |
197 |
54 [47-61] |
65 [57-71] |
75 [68-81] |
NC |
NC |
2,6 |
|
Dernière priorité active |
Pas de SU1 |
2104 |
31 [29-33] |
45 [43-47] |
58 [56-60] |
67 [65-69] |
70 [68-73] |
7,6 |
<0,001 |
|
SU1 |
1251 |
74 [72-76] |
81 [78-83] |
86 [84-88] |
89 [87-91] |
90 [89-92] |
0,3 |
|
NC=Non calculable / IC =Intervalle de confiance* CIT : contre indication temporaire
Données extraites de CRISTAL le 02/03/2017
Après 1 an d’attente, les malades inscrits entre 2011 et 2016 de groupe sanguin O et A ont significativement moins de chance d’être greffés que les malades des autres groupes sanguins (65% et 67% versus 80% et 86% pour les B et AB).
Tableau C8. Taux d'incidence cumulée de greffe des nouveaux inscrits sur liste d’attente cardiaque selon l'équipe de greffe (2011-2016)
|
Incidence cumulée des greffes avec prise en compte du risque concurrent de décès en attente ou sorties pour aggravation |
||||||
en % [IC à 95%] |
|||||||
Équipe de greffe |
N |
à 3 mois |
à 6 mois |
à 12 mois |
à 24 mois |
à 36 mois |
Médiane (mois) |
Bordeaux (A+P) |
145 |
36 [28-44] |
50 [41-58] |
61 [52-69] |
67 [57-75] |
75 [64-83] |
6,3 |
Caen (A) |
70 |
42 [30-53] |
52 [39-63] |
61 [48-72] |
76 [58-88] |
76 [58-88] |
6 |
Clermont-Ferrand (A) |
94 |
56 [45-65] |
67 [56-75] |
80 [70-87] |
88 [77-94] |
NC |
1,8 |
Créteil Henri Mondor (AP-HP) (A) |
101 |
48 [38-58] |
64 [54-73] |
69 [59-78] |
83 [69-90] |
83 [69-90] |
3,5 |
Dijon (A) |
78 |
48 [36-59] |
61 [49-71] |
72 [60-81] |
77 [65-85] |
81 [66-89] |
3,4 |
Grenoble (A) |
66 |
40 [28-52] |
47 [34-58] |
64 [50-75] |
83 [65-92] |
NC |
6,9 |
Le Plessis-Robinson Marie-Lannelongue (A+P) |
87 |
49 [38-59] |
65 [53-74] |
71 [59-80] |
78 [60-88] |
78 [60-88] |
3,4 |
Lille (A) |
151 |
34 [26-41] |
42 [34-50] |
52 [44-60] |
65 [56-73] |
72 [62-80] |
10,4 |
Limoges (A) |
44 |
75 [59-86] |
84 [66-93] |
NC |
NC |
NC |
1 |
Lyon I (HCL) (A+P) |
133 |
48 [40-57] |
59 [50-67] |
66 [57-73] |
75 [66-82] |
80 [70-86] |
3,7 |
Lyon II (HCL) (A) |
111 |
35 [27-44] |
50 [40-59] |
58 [48-67] |
69 [58-77] |
NC |
6,7 |
Marseille Timone adultes (APM) (A) |
188 |
31 [24-37] |
35 [28-42] |
49 [41-56] |
57 [49-64] |
NC |
12,9 |
Marseille Timone enfants (APM) (P) |
20 |
48 [23-70] |
48 [23-70] |
70 [38-87] |
NC |
NC |
10 |
Montpellier (A) |
99 |
37 [27-46] |
48 [38-58] |
63 [52-72] |
84 [73-91] |
NC |
8,5 |
Nancy (A) |
67 |
35 [24-47] |
51 [38-62] |
60 [46-71] |
65 [50-76] |
NC |
6,3 |
Nantes (A+P) |
160 |
47 [39-55] |
62 [54-69] |
75 [68-82] |
84 [77-90] |
NC |
3,5 |
Paris Bichat (AP-HP) (A) |
214 |
63 [56-69] |
76 [69-81] |
87 [81-91] |
88 [82-93] |
NC |
1,2 |
Paris Georges Pompidou (AP-HP) (A) |
136 |
38 [30-46] |
54 [45-62] |
68 [58-75] |
NC |
NC |
5,5 |
Paris Necker Enfants Malades (AP-HP) (P) |
52 |
56 [40-70] |
63 [45-77] |
75 [49-89] |
NC |
NC |
2,5 |
Paris Pitié-Salpêtrière (AP-HP) (A) |
642 |
59 [55-63] |
68 [64-71] |
75 [72-78] |
80 [76-83] |
NC |
1,7 |
Rennes (A) |
161 |
53 [45-60] |
70 [62-77] |
80 [72-86] |
85 [77-90] |
90 [81-94] |
2,7 |
Rouen (A) |
90 |
33 [23-43] |
51 [40-61] |
69 [57-78] |
78 [66-86] |
84 [72-91] |
6,1 |
Strasbourg (A) |
126 |
53 [44-62] |
66 [56-74] |
75 [65-82] |
86 [74-92] |
NC |
2,4 |
Toulouse (A) |
181 |
40 [32-47] |
43 [35-50] |
54 [45-62] |
62 [52-70] |
NC |
9,2 |
Tours (A) |
139 |
53 [44-61] |
67 [58-74] |
80 [72-86] |
86 [72-94] |
86 [72-94] |
2,5 |
NC=Non calculable / IC =Intervalle de confiance
Données extraites de CRISTAL le 02/03/2017
L’incidence cumulée de greffe diffère d’une équipe à l’autre.
Ainsi après 1 an d’attente, le taux d’incidence cumulée de malades greffés parmi les malades inscrits entre 2011 et 2016 varie de 49%-52% (Marseille Timone adultes - Lille) à 87% (Paris Bichat).
Figure C2. Taux d'incidence cumulée de greffe et de décès ou sortie de liste pour aggravation des nouveaux inscrits en liste d’attente de greffe cardiaque (2011-2016)
|
Incidence cumulée des greffes avec prise en compte du risque concurrent de décès en attente ou sorties pour aggravation |
|||||
en % [IC à 95%] |
||||||
Période d'inscription |
N |
à 3 mois |
à 6 mois |
à 12 mois |
à 24 mois |
à 36 mois |
2011-2016 |
3355 |
47 [45-49] |
58 [56-60] |
68 [67-70] |
75 [74-77] |
78 [76-80] |
|
Incidence cumulée des décès en attente ou sorties pour aggravation avec prise en compte du risque concurrent de greffe |
|||||
en % [IC à 95%] |
||||||
Période d'inscription |
N |
à 3 mois |
à 6 mois |
à 12 mois |
à 24 mois |
à 36 mois |
2011-2016 |
3355 |
9 [8-10] |
11 [10-12] |
13 [12-14] |
15 [14-17] |
16 [15-17] |
NC=Non calculable / IC : Intervalle de confiance
Données extraites de CRISTAL le 02/03/2017
Après 1 an d’attente, les malades inscrits entre 2011 et 2016 ont 68% de chance d’être greffés et 13% de risque de décéder en attente.
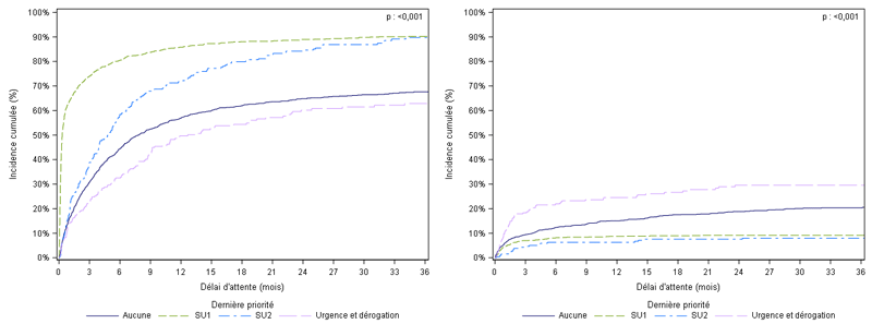
Figure C3. Taux d'incidence cumulée de greffe et de décès ou sortie de liste pour aggravation des nouveaux inscrits en liste d’attente de greffe cardiaque selon la dernière priorité (2011-2016)
|
Incidence cumulée des greffes avec prise en compte du risque concurrent de décès en attente ou sorties pour aggravation |
|||||
en % [IC à 95%] |
||||||
Dernière priorité |
N |
à 3 mois |
à 6 mois |
à 12 mois |
à 24 mois |
à 36 mois |
Aucune |
1566 |
31 [29-33] |
45 [42-47] |
57 [54-59] |
65 [62-68] |
68 [65-70] |
SU1 |
1251 |
74 [72-76] |
81 [78-83] |
86 [84-88] |
89 [87-91] |
90 [89-92] |
SU2 |
259 |
39 [33-45] |
59 [52-65] |
72 [66-77] |
85 [79-89] |
90 [86-94] |
Urgence et dérogation |
279 |
23 [18-28] |
33 [27-39] |
50 [44-56] |
61 [54-67] |
64 [57-70] |
|
Incidence cumulée des décès en attente ou sorties pour aggravation avec prise en compte du risque concurrent de greffe |
|||||
en % [IC à 95%] |
||||||
Dernière priorité |
N |
à 3 mois |
à 6 mois |
à 12 mois |
à 24 mois |
à 36 mois |
Aucune |
1566 |
9 [8-11] |
12 [11-14] |
15 [13-17] |
19 [17-21] |
21 [18-23] |
SU1 |
1251 |
7 [6-9] |
8 [7-10] |
9 [7-11] |
10 [8-12] |
10 [8-12] |
SU2 |
259 |
5 [3-8] |
7 [4-10] |
7 [4-10] |
8 [5-12] |
NC |
Urgence et dérogation |
279 |
19 [14-24] |
22 [18-28] |
25 [20-30] |
30 [25-36] |
30 [25-36] |
NC=Non calculable / IC : Intervalle de confiance
Données extraites de CRISTAL le 02/03/2017
Après 1 an d’attente, les malades inscrits entre 2011 et 2016 ont plus de chance d’être greffés lorsqu’ils bénéficient d’une priorité (86% de chance d’être greffés pour une SU1, 72% pour une SU2 et 57% sans SU). Ce tableau compte la dernière priorité active. Ainsi un malade ayant eu une priorité qui n’aboutirait pas à une greffe et serait greffé ensuite sans cette priorité compte dans « Aucune » priorité.
Tableau C9. Evolution du nombre de décès sur la liste d’attente entre 2011 et 2016 chez les malades en attente d’une greffe cardiaque
|
2011 |
2012 |
2013 |
2014 |
2015 |
2016 |
Nombre total de décès |
62 |
65 |
76 |
77 |
79 |
79 |
Pourcentage de décès parmi les inscrits* |
7,80% |
7,90% |
8,80% |
8,50% |
8,10% |
8,30% |
Décès parmi les nouveaux inscrits |
40 |
46 |
47 |
49 |
47 |
56 |
Pourcentage de décès parmi les nouveaux inscrits |
7,80% |
8,70% |
8,60% |
8,60% |
7,60% |
9,80% |
Taux d'incidence (nombre de décès pour 1 000 patients x année)** |
222,1 |
212,7 |
237,8 |
215,5 |
212,4 |
223,3 |
* Receveurs en attente au 1er janvier de l'année + nouveaux inscrits (hors en attente de donneur vivant)
** Nombre de décès survenus dans l’année pour 1000 patient-années
Données extraites de CRISTAL le 02/03/2017
Le nombre des décès parmi les inscrits est stable depuis 2013 et la fréquence touche plus particulièrement les nouveaux inscrits.
Tableau C10. Evolution du nombre de décès ou sorties de liste pour aggravation de l'état médical sur la liste d’attente entre 2011 et 2016 chez les malades en attente d’une greffe cardiaque
|
2011 |
2012 |
2013 |
2014 |
2015 |
2016 |
Nombre total de décès ou aggravation |
76 |
79 |
94 |
91 |
97 |
98 |
Pourcentage de décès ou aggravation parmi les inscrits* |
9,50% |
9,50% |
10,80% |
10,10% |
9,90% |
10,30% |
Décès ou aggravation parmi les nouveaux inscrits |
50 |
55 |
56 |
57 |
54 |
66 |
Pourcentage de décès ou aggravation parmi les nouveaux inscrits |
9,70% |
10,40% |
10,30% |
10,00% |
8,70% |
11,50% |
Taux d'incidence (décès ou aggravation)** |
272,2 |
258,6 |
294,2 |
254,7 |
260,8 |
276,9 |
* Receveurs en attente au 1er janvier de l'année + nouveaux inscrits
** Nombre de décès ou aggravations survenus dans l’année pour 1000 patient-années
Données extraites de CRISTAL le 02/03/2017
Le nombre et la fréquence des décès ou sorties de liste pour aggravation restent stables depuis 2013 (98 et 11,5% en 2016 versus 94 et 10,3% en 2013).
Prélèvement en vue de greffe
En 2016, 28,3% des donneurs décédés en état de mort encéphalique en France, prélevés d’au moins un organe, sont prélevés d’un greffon cardiaque (501 sur 1770). Dans un contexte de stabilité du nombre total de donneurs prélevés d’au moins un organe par rapport à 2015, le nombre de greffons cardiaques prélevés a diminué de 2% (10). Le nombre de donneurs prélevés d’un greffon cardiaque non greffé a nettement diminué entre 2015 et 2016 (33 (6,5%) versus 14 (2,8%)) L’analyse des causes de non prélèvement des greffons cardiaques montre que l’âge et les antécédents cardiovasculaires du donneur sont les raisons les plus fréquentes de non prélèvement devant une mauvaise fonction ventriculaire. Alors qu’il apparait souhaitable que l’évaluation cardiaque des donneurs à critères élargis soit différente de celle des donneurs optimaux, une enquête visant à évaluer l’impact de la réalisation d’une coronarographie systématique par rapport à une coronarographie à la demande chez les donneurs à risque cardiovasculaire sur l’efficacité du prélèvement cardiaque débutée en 2012 s’est achevée en 2014. Cette enquête a montré que la réalisation d’une coronarographie dans cette population particulière de donneurs augmente le nombre de prélèvements parmi les donneurs dont le greffon cardiaque est proposé. Alors que l’âge moyen des donneurs prélevés d’un greffon cardiaque dont le cœur a été greffé a légèrement diminué entre 2015 et 2016 passant de 44,8 ans à 43,3 ans, la proportion parmi ces donneurs, de donneurs de plus de 55 ans reste de 23,2%. En l’absence d’appariement sur l’âge entre donneurs et receveurs pour la répartition des greffons, 19% des greffons de donneurs de moins de 30 ans sont alloués en 2016 à des receveurs de plus de 60 ans. Le nouveau système de répartition des greffons cardiaques avec une attribution nationale des greffons permettra un appariement sur l’âge entre donneurs et receveurs.
Tableau C11. Evolution du nombre de donneurs décédés en France et prélevés d’un greffon cardiaque parmi les donneurs prélevés d’au moins un organe
Année de prélèvement |
Donneurs décédés de mort encéphalique en France et prélevés d'un greffon cardiaque |
Donneurs décédés de mort encéphalique en France et prélevés d'un greffon autre que le cœur |
Total des donneurs décédés de mort encéphalique prélevés d'un greffon |
1997 |
456 |
425 |
881 |
1998 |
510 |
484 |
994 |
1999 |
421 |
549 |
970 |
2000 |
414 |
602 |
1016 |
2001 |
373 |
692 |
1065 |
2002 |
381 |
817 |
1198 |
2003 |
323 |
796 |
1119 |
2004 |
362 |
929 |
1291 |
2005 |
395 |
976 |
1371 |
2006 |
421 |
1021 |
1442 |
2007 |
393 |
1168 |
1561 |
2008 |
389 |
1174 |
1563 |
2009 |
380 |
1101 |
1481 |
2010 |
376 |
1100 |
1476 |
2011 |
434 |
1138 |
1572 |
2012 |
436 |
1153 |
1589 |
2013 |
437 |
1190 |
1627 |
2014 |
452 |
1203 |
1655 |
2015 |
511 |
1258 |
1769 |
2016 |
501 |
1269 |
1770 |
Ce tableau comprend tous les greffons prélevés en France (y compris les non greffés)
Données extraites de CRISTAL le 02/03/2017
Tableau C12. Evolution de la répartition par âge des donneurs décédés prélevés d’un greffon cardiaque
|
Année de prélèvement |
|||||||||||
2011 |
2012 |
2013 |
2014 |
2015 |
2016 |
|||||||
C |
C |
C |
C |
C |
C |
|||||||
N |
% |
N |
% |
N |
% |
N |
% |
N |
% |
N |
% |
|
Age du donneur |
37 |
8,5 |
30 |
6,9 |
32 |
7,3 |
34 |
7,5 |
34 |
6,7 |
32 |
6,4 |
0-17 ans |
||||||||||||
18-29 ans |
68 |
15,7 |
71 |
16,3 |
72 |
16,5 |
56 |
12,4 |
80 |
15,7 |
92 |
18,4 |
30-55 ans |
258 |
59,4 |
232 |
53,2 |
234 |
53,5 |
259 |
57,3 |
257 |
50,3 |
261 |
52,1 |
56-65 ans |
68 |
15,7 |
93 |
21,3 |
85 |
19,5 |
93 |
20,6 |
111 |
21,7 |
103 |
20,6 |
>=66 ans |
3 |
0,7 |
10 |
2,3 |
14 |
3,2 |
10 |
2,2 |
29 |
5,7 |
13 |
2,6 |
Total |
434 |
100 |
436 |
100 |
437 |
100 |
452 |
100 |
511 |
100 |
501 |
100 |
Données extraites de CRISTAL le 02/03/2017
Tableau C13. Age des greffons cardiaques prélevés sur donneurs décédés et greffés en France en 2016 selon l'âge du receveur au moment de la greffe
Age du donneur |
Age du receveur |
Total |
||||
0-17 ans |
18-29 ans |
30-59 ans |
60-64 ans |
65 ans et plus |
||
0-17 ans |
10 |
1 |
10 |
1 |
2 |
24 |
18-29 ans |
6 |
6 |
60 |
13 |
6 |
91 |
30-59 ans |
5 |
21 |
198 |
53 |
24 |
301 |
60-64 ans |
0 |
2 |
27 |
7 |
5 |
41 |
65 ans et plus |
0 |
0 |
9 |
8 |
2 |
19 |
Total |
21 |
30 |
304 |
82 |
39 |
476 |
Données extraites de CRISTAL le 02/03/2017
En 2016, 8 greffons cardiaques pédiatriques et 3 greffons adultes ont été prélevés en France et greffés à l’étranger (non inclus dans le tableau).
Un greffon adulte a été prélevé à l’étranger et greffé en France (non inclus dans le tableau).
Pour retrouver le nombre total de greffes réalisées en France (477), il faut ajouter au nombre du tableau les cœurs prélevés à l'étranger et greffés en France (1).
Quatorze greffons adultes ont été prélevés en France et non greffés.
Attribution des greffons et priorités
L’attribution prioritaire des greffons répond à des conditions d’urgence vitale ou à des difficultés particulières d’accès à la greffe (groupes sanguins rares, morphologie pour les candidats pédiatriques). On distingue ainsi les super-urgences nationales mises en place en juillet 2004 modifiées en 2013, la priorité pédiatrique, les dérogations de groupe sanguin autorisant la greffe en groupe sanguin compatible, et les urgences régionales. Les super-urgences se répartissent en super-urgences de type 1 (SU1), super-urgences de type 2 (SU2), et, super-urgences de type 3 (SU3). Les premières s’adressent aux malades sans assistance circulatoire de longue durée sous perfusion d’inotropes et/ou avec une assistance circulatoire temporaire le plus souvent une ECMO veino-artérielle dont l’état clinique reste compatible avec une greffe. Depuis juillet 2013, la SU1 n’est accessible qu’aux seuls malades dont le débit de filtration glomérulaire est supérieur ou égal à 40 ml/min/m². Les SU2 s’adressent aux malades sous assistance circulatoire mécanique de longue durée ou cœur artificiel total qui présentent une complication. Les SU3 s’adressent aux malades sous assistance circulatoire bi-ventriculaire pneumatique ou cœur artificiel total implantés depuis 3 mois ou plus, sans complication ni défaillance d’organe. Les propositions sont faites successivement aux malades inscrits en SU1 puis en SU2 puis en SU3. Des dérogations de groupe sanguin isolées, ou associées aux urgences régionales ou aux super-urgences peuvent être accordées par les experts du collège.
En 2016, le nombre de demandes de SU1 et le nombre de malades pour lesquels une demande de SU1 a été faite augmentent de 9% par rapport à 2015 alors même que la proportion de candidats pour lesquels une demande de SU1 a été faite augmente de 4% (32% en 2015 et à 36% en 2016). Le nombre de greffes réalisées dans le cadre d’une SU1 augmente quant à lui de 5%. En 2016, effectivement, la proportion de malades avec une SU1 active qui sont greffés est de 47,8% alors qu’elle était de 46,3% en 2015 et de 38,3% en 2013. L’analyse du devenir des malades pour lesquels une demande de SU1 a été acceptée en 2016 montre, qu’un mois après la demande, 69% des malades sont greffés (71% en 2015), 21% sont toujours en attente (23% en 2015) et 9% sont décédés ou sortis de liste pour aggravation de leur état médical. Finalement, 63% des malades pour lesquels une demande de SU1 a été acceptée en 2016 sont greffés pendant la durée de leur SU. La fréquence des dérogations de groupe sanguin parmi les malades ayant bénéficié d’une SU1 continue de diminuer (18% en 2016).
Le nombre de demandes de SU2 ainsi que le nombre de malades pour lesquels une demande de SU2 a été faite sont stables en 2016 par rapport à 2015. La proportion de candidats pour lesquels une demande de SU2 a été faite est stable à un niveau bas (6%). Le nombre de greffes réalisées dans le cadre d’une SU2 est également stable avec une proportion de malades greffés avec une SU2 active à 10%.
Le nombre de demandes de SU3 et le nombre de malades pour lesquels une demande de SU3 a été faite sont inchangés en 2016 par rapport 2015. La proportion de candidats pour lesquels une demande de SU3 a été faite reste inférieure à 1%. En 2016, la proportion de malades greffés avec une SU3 est de 1,7%.
L’augmentation de la proportion des greffes réalisées dans le cadre d’une priorité nationale se confirme en 2016 avec 60% des greffes faites dans le cadre d’une SU (31% en 2007, 41% en 2010).
Parmi les malades pour lesquels une demande de SU1 a été acceptée en 2016, 59% ont, à l’inscription, un traitement inotrope intraveineux, 29% ont une ECMO, 16% ont une ventilation assistée invasive, 27% ont une insuffisance rénale (créatininémie ≥ 120 µmol/l) et 18% une bilirubinémie ≥ 35 µmol/l.
Ces évolutions comme l’hétérogénéité des taux d’incidence cumulée de mortalité en attente de greffe par catégorie de malades soulignent les limites du système séquentiel actuel de répartition des greffons fondé sur la prise en charge médicale des candidats et la distance entre les centres de prélèvement et de greffe pour les malades sans priorité nationale. Le nouveau système de répartition avec une attribution des greffons aux malades fondée sur un score d’urgence sera opérationnel début 2018.
Tableau C14. Evolution des demandes de priorité (2011-2016)
Type de priorité |
Année de demande de la SU |
Nombre de demandes |
Nombre de malades |
Nombre de demandes acceptées |
Nombre de malades dont la demande a été acceptée |
Fréquence de demandes acceptées (%) |
Fréquence des dérogations de groupe sanguin compatible parmi les demandes acceptées (%) |
SU1 |
2011 |
240 |
218 |
228 |
216 |
95 |
30,3 |
2012 |
251 |
233 |
243 |
230 |
96,8 |
22,2 |
|
2013 |
267 |
254 |
253 |
248 |
94,8 |
22,9 |
|
2014 |
318 |
300 |
307 |
297 |
96,5 |
24,8 |
|
2015 |
330 |
315 |
319 |
314 |
96,7 |
22,6 |
|
2016 |
360 |
342 |
353 |
339 |
98,1 |
18,4 |
|
SU2 |
2011 |
35 |
35 |
32 |
32 |
91,4 |
6,3 |
2012 |
39 |
39 |
37 |
37 |
94,9 |
18,9 |
|
2013 |
50 |
47 |
46 |
46 |
92 |
8,7 |
|
2014 |
55 |
52 |
53 |
52 |
96,4 |
26,4 |
|
2015 |
55 |
55 |
55 |
55 |
100 |
14,5 |
|
2016 |
56 |
55 |
53 |
53 |
94,6 |
13,2 |
|
SU3 |
2013 |
1 |
1 |
1 |
1 |
100 |
0 |
2014 |
7 |
7 |
7 |
7 |
100 |
28,6 |
|
2015 |
8 |
8 |
7 |
7 |
87,5 |
42,9 |
|
2016 |
8 |
8 |
8 |
8 |
100 |
0 |
|
Urgence |
2011 |
73 |
63 |
73 |
63 |
100 |
19,2 |
2012 |
82 |
75 |
82 |
75 |
100 |
7,3 |
|
2013 |
66 |
62 |
65 |
61 |
98,5 |
7,7 |
|
2014 |
93 |
84 |
93 |
84 |
100 |
16,1 |
|
2015 |
80 |
74 |
79 |
73 |
98,8 |
7,6 |
|
2016 |
87 |
79 |
86 |
79 |
98,9 |
7 |
SU1 : Super Urgence 1 créée en juillet 2004; SU2 : Super Urgence 2 créée en juillet 2004; SU3 : Super Urgence 3 créée en juillet 2013
Données extraites de CRISTAL le 02/03/2017
En 2016, 342 malades étaient concernés par les 360 demandes de SU1 cardiaque. Parmi les 353 demandes acceptées par les experts sur 339 malades, 18% étaient associées à une dérogation de groupe sanguin.
Tableau C15. Devenir des malades un mois après la première demande de SU1 effectuée et acceptée en 2016
|
Total |
- dont avec une priorité active |
||
Devenir sur la liste d'attente 1 mois après la demande de SU1 |
N |
% |
N |
% |
Sortie de liste pour aggravation hors maladie initiale |
1 |
0,3 |
1 |
100 |
Sortie de liste pour aggravation de la maladie initiale |
4 |
1,2 |
1 |
25 |
Sortie de liste pour amélioration |
2 |
0,6 |
0 |
0 |
Attente |
71 |
20,9 |
10 |
14,1 |
Décès en liste d'attente |
27 |
8 |
9 |
33,3 |
Greffe |
234 |
69 |
213 |
91 |
Total |
339 |
100 |
234 |
69 |
La durée de SU1 est de 48h renouvelable 48 heures sur demande. Elle est de durée illimitée pour les malades pédiatriques
Priorité active : le malade est toujours sous la priorité au moment de sa sortie de liste d'attente / Priorité inactive : la fin de la priorité est survenue avant la sortie de liste d'attente
Données extraites de CRISTAL le 02/03/2017
Parmi les malades ayant bénéficié d’une première SU1, 69% sont greffés dans le mois suivant la demande de priorité. Dans 91% des cas (213/234), la SU1 était encore valide et dans 9% des cas la durée de SU1 était dépassée au moment de la greffe.
Tableau C16. Evolution du devenir des malades selon la dernière priorité active par année de sortie de la liste d'attente
|
SU1 active |
SU2 active |
Urgence |
Sans priorité active |
||||||
Année de sortie de liste* |
Devenir sur la liste d'attente |
Total |
N |
% |
N |
% |
N |
% |
N |
% |
2011 |
Sortie de liste pour aggravation hors maladie initiale |
4 |
0 |
NA |
0 |
NA |
0 |
NA |
4 |
100 |
|
Sortie de liste pour aggravation de la maladie initiale |
10 |
1 |
10 |
0 |
NA |
3 |
30 |
6 |
60 |
|
Sortie de liste pour amélioration |
18 |
0 |
NA |
0 |
NA |
1 |
5,6 |
17 |
94,4 |
|
Annulation |
2 |
0 |
NA |
0 |
NA |
0 |
NA |
2 |
100 |
|
Décès en liste d'attente |
62 |
4 |
6,5 |
0 |
NA |
9 |
14,5 |
49 |
79 |
|
Décision personnelle du malade |
4 |
0 |
NA |
0 |
NA |
0 |
NA |
4 |
100 |
|
Greffe |
398 |
147 |
36,9 |
29 |
7,3 |
33 |
8,3 |
189 |
47,5 |
2012 |
Sortie de liste pour aggravation hors maladie initiale |
3 |
0 |
NA |
0 |
NA |
2 |
66,7 |
1 |
33,3 |
|
Sortie de liste pour aggravation de la maladie initiale |
11 |
0 |
NA |
1 |
9,1 |
1 |
9,1 |
9 |
81,8 |
|
Sortie de liste pour amélioration |
26 |
1 |
3,8 |
0 |
NA |
3 |
11,5 |
22 |
84,6 |
|
Annulation |
1 |
0 |
NA |
0 |
NA |
0 |
NA |
1 |
100 |
|
Décès en liste d'attente |
65 |
3 |
4,6 |
1 |
1,5 |
13 |
20 |
48 |
73,8 |
|
Décision personnelle du malade |
4 |
0 |
NA |
0 |
NA |
0 |
NA |
4 |
100 |
|
Greffe |
397 |
158 |
39,8 |
32 |
8,1 |
30 |
7,6 |
177 |
44,6 |
2013 |
Sortie de liste pour aggravation hors maladie initiale |
5 |
0 |
NA |
0 |
NA |
0 |
NA |
5 |
100 |
|
Sortie de liste pour aggravation de la maladie initiale |
13 |
0 |
NA |
1 |
7,7 |
4 |
30,8 |
8 |
61,5 |
|
Sortie de liste pour amélioration |
26 |
2 |
7,7 |
0 |
NA |
7 |
26,9 |
17 |
65,4 |
|
Décès en liste d'attente |
76 |
9 |
11,8 |
2 |
2,6 |
7 |
9,2 |
58 |
76,3 |
|
Décision personnelle du malade |
3 |
0 |
NA |
0 |
NA |
0 |
NA |
3 |
100 |
|
Greffe |
410 |
157 |
38,3 |
40 |
9,8 |
31 |
7,6 |
181 |
44,1 |
2014 |
Sortie de liste pour aggravation hors maladie initiale |
5 |
1 |
20 |
0 |
NA |
0 |
NA |
4 |
80 |
|
Sortie de liste pour aggravation de la maladie initiale |
9 |
1 |
11,1 |
0 |
NA |
4 |
44,4 |
4 |
44,4 |
|
Sortie de liste pour amélioration |
27 |
1 |
3,7 |
1 |
3,7 |
5 |
18,5 |
20 |
74,1 |
|
Décès en liste d'attente |
77 |
5 |
6,5 |
3 |
3,9 |
12 |
15,6 |
56 |
72,7 |
|
Décision personnelle du malade |
4 |
0 |
NA |
0 |
NA |
0 |
NA |
4 |
100 |
|
Greffe |
423 |
178 |
42,1 |
44 |
10,4 |
22 |
5,2 |
175 |
41,4 |
2015 |
Sortie de liste pour aggravation hors maladie initiale |
4 |
0 |
NA |
0 |
NA |
0 |
NA |
4 |
100 |
|
Sortie de liste pour aggravation de la maladie initiale |
14 |
0 |
NA |
1 |
7,1 |
3 |
21,4 |
10 |
71,4 |
|
Sortie de liste pour amélioration |
29 |
0 |
NA |
0 |
NA |
4 |
13,8 |
25 |
86,2 |
|
Décès en liste d'attente |
79 |
7 |
8,9 |
3 |
3,8 |
10 |
12,7 |
59 |
74,7 |
|
Décision personnelle du malade |
5 |
0 |
NA |
0 |
NA |
1 |
20 |
4 |
80 |
|
Greffe |
471 |
218 |
46,3 |
47 |
10 |
29 |
6,2 |
173 |
36,7 |
2016 |
Sortie de liste pour aggravation hors maladie initiale |
6 |
1 |
16,7 |
0 |
NA |
1 |
16,7 |
4 |
66,7 |
|
Sortie de liste pour aggravation de la maladie initiale |
13 |
0 |
NA |
1 |
7,7 |
5 |
38,5 |
7 |
53,8 |
|
Sortie de liste pour amélioration |
29 |
2 |
6,9 |
1 |
3,4 |
2 |
6,9 |
24 |
82,8 |
|
Décès en liste d'attente |
79 |
8 |
10,1 |
1 |
1,3 |
17 |
21,5 |
53 |
67,1 |
|
Décision personnelle du malade |
19 |
0 |
NA |
1 |
5,3 |
0 |
NA |
18 |
94,7 |
|
Greffe |
477 |
228 |
47,8 |
49 |
10,3 |
36 |
7,5 |
156 |
32,7 |
* La greffe est considérée comme une sortie de liste d’attente
NA= Non applicable / SU1 : Super Urgence 1 ; SU2 : Super Urgence 2
Données extraites de CRISTAL le 02/03/2017
Parmi les 477 malades greffés cardiaques en 2016, 228 (48%) l’étaient sous une SU1 active, 49 (10%) sous une SU2 active, 8 sous une SU3 active, 36 (7%) sous une urgence régionale active et 156 (33%) sans priorité au moment de la greffe.
Tableau C17. Caractéristiques des malades selon le type de Super Urgence (demandes faites en 2016 et acceptées)
|
SU1 |
SU2 |
||
N |
% |
N |
% |
|
Age à l'inscription |
||||
0-17 ans |
24 |
7,1 |
1 |
1,9 |
18-29 ans |
25 |
7,4 |
6 |
11,3 |
30-55 ans |
170 |
50,1 |
22 |
41,5 |
56-65 ans |
107 |
31,6 |
21 |
39,6 |
>=66 ans |
13 |
3,8 |
3 |
5,7 |
Sexe |
||||
F |
77 |
22,7 |
5 |
9,4 |
M |
262 |
77,3 |
48 |
90,6 |
Groupe sanguin |
||||
A |
157 |
46,3 |
22 |
41,5 |
AB |
17 |
5 |
3 |
5,7 |
B |
31 |
9,1 |
3 |
5,7 |
O |
134 |
39,5 |
25 |
47,2 |
Lieu de prise en charge au moment de l'inscription en liste |
||||
Domicile |
86 |
25,4 |
22 |
41,5 |
Hôpital |
38 |
11,2 |
12 |
22,6 |
USI |
213 |
62,8 |
18 |
34 |
Données manquantes |
2 |
0,6 |
1 |
1,9 |
Ventilation assistée invasive à l'inscription* |
||||
Non |
281 |
82,9 |
49 |
92,5 |
Oui |
53 |
15,6 |
3 |
5,7 |
Données manquantes |
5 |
1,5 |
1 |
1,9 |
Assistance ventriculaire ou cœur artificiel total à l'inscription* |
||||
Non |
333 |
97,1 |
26 |
49,1 |
Oui |
3 |
2,1 |
26 |
49,1 |
Données manquantes |
3 |
0,9 |
1 |
1,9 |
Circulation extra corporelle à l'inscription** |
||||
Non |
234 |
70,2 |
38 |
71,7 |
Oui |
101 |
28,6 |
14 |
26,4 |
Données manquantes |
4 |
1,2 |
1 |
1,9 |
Drogues inotropes à l'inscription |
||||
Non |
128 |
37,8 |
41 |
77,4 |
Oui |
201 |
59,3 |
10 |
18,9 |
Données manquantes |
10 |
2,9 |
2 |
3,8 |
Dialyse à l'inscription |
||||
Non |
336 |
99,1 |
53 |
100 |
Oui |
2 |
0,6 |
0 |
0 |
Données manquantes |
1 |
0,3 |
0 |
0 |
Bilirubine à l'inscription |
||||
<35 µmol/l |
265 |
78,2 |
47 |
88,7 |
35-49 µmol/l |
31 |
9,1 |
2 |
3,8 |
>=50 µmol/l |
31 |
9,1 |
1 |
1,9 |
Données manquantes |
12 |
3,5 |
3 |
5,7 |
Créatinémie à l'inscription |
||||
<60 µmol/l |
42 |
12,4 |
6 |
11,3 |
60-119 µmol/l |
200 |
59 |
32 |
60,4 |
120-199 µmol/l |
84 |
24,8 |
10 |
18,9 |
>=200 µmol/l |
8 |
2,4 |
4 |
7,5 |
Données manquantes |
5 |
1,5 |
1 |
1,9 |
Total |
339 |
100 |
53 |
100 |
SU1 : Super Urgence 1 ; SU2 : Super Urgence 2
* Certains malades ont pu avoir une assistance mécanique transitoire qui a été arrêtée avant la demande de SU, d’autres en ont bénéficié après la demande de SU mais assez proche de l’inscription pour être enregistré dans le bilan d’inscription. 1 enfant a bénéficié d’une SU1 plusieurs mois après la pause d’une assistance Heartware
** 3 impella et 1 Berlin Heart ont été comptabilisée dans les circulations extra corporelles
Données extraites de CRISTAL le 02/03/2017
Ce tableau comptabilise le nombre de priorités demandées en 2016 et acceptées. Il est différent du nombre de malades ou du nombre d’inscriptions car plusieurs malades ont bénéficié de plusieurs demandes successives pour une même inscription durant leur parcours de soin. Ainsi quelques malades sont comptabilisés plusieurs fois.
Activité de greffe
Le nombre de greffes cardiaques réalisées en 2016 est en très légère augmentation, de 1%, par rapport à 2015 (477 contre 471 greffes). Le taux de greffe de 7,1 par million d’habitants a augmenté de 1,6 pmh par rapport à 2011. Les cardiopathies les plus fréquentes conduisant à la greffe sont les cardiomyopathies dilatées (48%) et les cardiopathies ischémiques (29 %). En 2016, l’âge moyen des malades greffés est de 49,2 ans avec 189 (40%) malades de plus de 55 ans et 22 (5%) enfants greffés. Cette année, la moyenne d’âge des donneurs est de 43,3 ans avec 111 (23%) donneurs de plus de 55 ans. Quatre-vingt-dix-huit greffons ont une durée d’ischémie froide supérieure à 4 heures. Le nombre total de candidats pour un greffon est de 2, stable depuis 2011. La proportion des candidats en contre-indication temporaire un jour donné, le 1er janvier 2016, est de 30%.
Parmi les 25 équipes autorisées le 1er janvier 2016, une, à Limoges, a cessé son activité pendant l’année 2016. Parmi les autres équipes, 10 inscrivent plus de 20 malades en liste d’attente en 2016, et, 9 réalisent plus de 20 greffes dans l’année. Parmi ces dernières, toutes inscrivent plus de 20 nouveaux malades en attente dans l’année. Le taux de croissance du nombre de greffes par équipe adulte va de +60% au Plessis-Robinson Marie-Lannelongue à – 61% à Strasbourg en 2016 par rapport à 2015.
Tableau C18. Evolution du nombre de greffes cardiaques (1986-2016)
Année de greffe |
Nombre total de greffes |
- dont domino |
1986 |
294 |
0 |
1987 |
462 |
0 |
1988 |
556 |
0 |
1989 |
626 |
0 |
1990 |
639 |
0 |
1991 |
632 |
0 |
1992 |
563 |
0 |
1993 |
526 |
0 |
1994 |
430 |
0 |
1995 |
408 |
0 |
1996 |
397 |
0 |
1997 |
366 |
3 |
1998 |
370 |
0 |
1999 |
321 |
0 |
2000 |
328 |
0 |
2001 |
316 |
1 |
2002 |
319 |
0 |
2003 |
283 |
1 |
2004 |
317 |
0 |
2005 |
339 |
0 |
2006 |
358 |
0 |
2007 |
366 |
1 |
2008 |
360 |
0 |
2009 |
359 |
0 |
2010 |
356 |
0 |
2011 |
398 |
0 |
2012 |
397 |
0 |
2013 |
410 |
0 |
2014 |
423 |
0 |
2015 |
471 |
0 |
2016 |
477 |
0 |
Données extraites de CRISTAL le 02/03/2017
Tableau C19. Evolution du nombre de greffes cardiaques par indication et incidence par million d'habitants
Indication |
2011 |
2012 |
2013 |
2014 |
2015 |
2016 |
||||||||||||
N |
% |
pmh |
N |
% |
pmh |
N |
% |
pmh |
N |
% |
pmh |
N |
% |
pmh |
N |
% |
pmh |
|
Autres pathologies |
58 |
14,6 |
0,9 |
71 |
17,9 |
1,1 |
55 |
13,4 |
0,8 |
58 |
13,7 |
0,9 |
59 |
12,5 |
0,9 |
81 |
17 |
1,2 |
Cardiomyopathies dilatées |
181 |
45,5 |
2,8 |
179 |
45,1 |
2,7 |
200 |
48,8 |
3 |
204 |
48,2 |
3,1 |
220 |
46,7 |
3,3 |
227 |
47,6 |
3,4 |
Cardiopathies ischémiques |
128 |
32,2 |
2 |
124 |
31,2 |
1,9 |
133 |
32,4 |
2 |
131 |
31 |
2 |
163 |
34,6 |
2,5 |
140 |
29,4 |
2,1 |
Cardiopathies valvulaires |
27 |
6,8 |
0,4 |
19 |
4,8 |
0,3 |
18 |
4,4 |
0,3 |
24 |
5,7 |
0,4 |
24 |
5,1 |
0,4 |
19 |
4 |
0,3 |
Retransplantations |
4 |
1 |
0,1 |
4 |
1 |
0,1 |
4 |
1 |
0,1 |
6 |
1,4 |
0,1 |
5 |
1,1 |
0,1 |
10 |
2,1 |
0,1 |
Total |
398 |
100 |
6,1 |
397 |
100 |
6,1 |
410 |
100 |
6,2 |
423 |
100 |
6,4 |
471 |
100 |
7,1 |
477 |
100 |
7,1 |
pmh : par million d'habitants
Données extraites de CRISTAL le 02/03/2017
Parmi les maladies conduisant à la greffe cardiaque, les cardiomyopathies dilatées concernent 48% des greffés contre 29% pour les cardiopathies ischémiques, les autres pathologies (hors cardiopathies valvulaires et retransplantations) concernent 17% des cas.
Tableau C20. Activité d’inscription et de greffe cardiaque par équipe en activité au 1er janvier 2016
Equipe de greffe |
Nombre de nouveaux inscrits en 2016 |
Nombre de malades restant au 1er janvier 2016 |
Nombre de SU1 demandées en 2016 |
Nombre de SU2 demandées en 2016 |
Nombre de malades avec assistance ventriculaire à l'inscription en 2016 |
Nombre de greffes réalisées en 2016 |
Taux de croissance 2016 - 2015 |
Bordeaux (A+P) |
36 |
15 |
17 |
3 |
5 |
23 |
21,1 |
Caen (A) |
11 |
6 |
9 |
0 |
0 |
9 |
0 |
Clermont-Ferrand (A) |
14 |
12 |
7 |
2 |
0 |
17 |
0 |
Créteil Henri Mondor (AP-HP) (A) |
19 |
9 |
9 |
1 |
0 |
14 |
40 |
Dijon (A) |
13 |
6 |
7 |
0 |
2 |
10 |
0 |
Grenoble (A) |
11 |
10 |
10 |
2 |
0 |
12 |
0 |
Le Plessis-Robinson Marie-Lannelongue (A+P) |
20 |
8 |
17 |
3 |
0 |
16 |
60 |
Lille (A) |
27 |
31 |
19 |
4 |
3 |
27 |
58,8 |
Limoges |
2 |
2 |
2 |
0 |
0 |
4 |
-69,2 |
Lyon I (HCL) (A+P) |
13 |
24 |
8 |
1 |
1 |
13 |
-40,9 |
Lyon II (HCL) (A) |
30 |
23 |
22 |
2 |
2 |
21 |
31,3 |
Marseille Timone adultes (APM) (A) |
31 |
32 |
21 |
0 |
1 |
22 |
-4,3 |
Marseille Timone enfants (APM) (P) |
2 |
5 |
3 |
0 |
2 |
4 |
33,3 |
Montpellier (A) |
16 |
16 |
12 |
2 |
1 |
17 |
-5,6 |
Nancy (A) |
9 |
11 |
2 |
1 |
1 |
6 |
0 |
Nantes (A+P) |
21 |
12 |
14 |
0 |
0 |
25 |
31,6 |
Paris Bichat (AP-HP) (A) |
47 |
8 |
29 |
3 |
2 |
37 |
-11,9 |
Paris Georges Pompidou (AP-HP) (A) |
28 |
13 |
10 |
4 |
6 |
13 |
0 |
Paris Necker Enfants Malades (AP-HP) (P) |
11 |
4 |
10 |
0 |
1 |
6 |
500 |
Paris Pitié-Salpêtrière (AP-HP) (A) |
100 |
70 |
72 |
14 |
6 |
96 |
-3 |
Rennes (A) |
25 |
13 |
15 |
4 |
2 |
23 |
21,1 |
Rouen (A) |
14 |
10 |
4 |
1 |
4 |
10 |
11,1 |
Strasbourg (A) |
13 |
9 |
6 |
1 |
3 |
7 |
-61,1 |
Toulouse (A) |
45 |
14 |
23 |
6 |
7 |
27 |
-6,9 |
Tours (A) |
15 |
15 |
12 |
2 |
0 |
18 |
5,9 |
|
573 |
378 |
360 |
56 |
49 |
477 |
1,3 |
NA : Non applicable - SU1 : Super urgence 1 - SU2 : Super urgence 2 – (A) = autorisation greffe adulte (P) autorisation greffe pédiatrique
Données extraites de CRISTAL le 02/03/2017
En 2016, 25 équipes ont réalisé de 4 (Marseille Timone enfants, Limoges) à 96 (la Pitié-Salpêtrière) greffes. Les équipes avec les effectifs plus faibles sont des équipes pédiatriques ou l’équipe de Limoges ayant cessé son activité en 2016.
Tableau C21. Evolution des durées moyennes d’ischémie froide en heure (hors greffes combinées)
|
2011 |
2012 |
2013 |
2014 |
2015 |
2016 |
||||||
N |
% |
N |
% |
N |
% |
N |
% |
N |
% |
N |
% |
|
Durée d'ischémie (heures) |
69 |
17,8 |
63 |
16,4 |
54 |
13,8 |
53 |
13,1 |
51 |
11,4 |
46 |
10,2 |
< 2h |
||||||||||||
2-4h |
217 |
56,1 |
214 |
55,9 |
251 |
64,2 |
268 |
66,3 |
285 |
63,6 |
288 |
63,6 |
4-6h |
86 |
22,2 |
91 |
23,8 |
74 |
18,9 |
71 |
17,6 |
105 |
23,4 |
97 |
21,4 |
> 6h |
2 |
0,5 |
2 |
0,5 |
1 |
0,3 |
2 |
0,5 |
0 |
0 |
1 |
0,2 |
Manquant |
13 |
3,4 |
13 |
3,4 |
11 |
2,8 |
10 |
2,5 |
7 |
1,6 |
21 |
4,6 |
Total |
387 |
100 |
383 |
100 |
391 |
100 |
404 |
100 |
448 |
100 |
453 |
100 |
Std : standard déviation
Données extraites de CRISTAL le 02/03/2017
Survie post greffe
La probabilité de survie du receveur après une greffe cardiaque réalisée entre 1993 et 2015 estimée par la méthode de Kaplan-Meier est de 75% à un an, 66% à 5 ans et 54% à 10 ans. Elle dépend en particulier de l’âge du receveur. Les adultes de plus de 60 ans ont une survie significativement diminuée par rapport aux adultes plus jeunes (68% versus 77% à 1 an). La médiane de survie pour les malades âgés de 18 à 60 ans est de 151 mois. La survie est significativement plus basse pour les receveurs ayant reçu un greffon issu d’un donneur de plus de 60 ans (survie à 1 an de 69% versus 76%). La survie du receveur à 1 an après une retransplantation est de 68%. L’analyse de la probabilité de survie à un an selon la période de greffe montre qu’après une diminution entre 2005 et 2008, il y a depuis 2009 une amélioration (72% pour la période 2005-2008, 77% pour la période 2009- 2012 versus 79% pour la période 2013- 2015). La diminution de la survie observée après la mise en place des super-urgences (juillet 2004) avait été rapportée à l’augmentation du nombre de malades opérés en insuffisance cardiaque sévère, à l’augmentation de l’âge des donneurs et à l’allongement des durées d’ischémie mais aussi à l’augmentation du nombre de malades greffés avec une autre défaillance d’organe que l’insuffisance cardiaque en particulier une insuffisance rénale. Une étude sur les facteurs de risque d’échec après greffe cardiaque menée sur la cohorte des malades, adultes, ayant bénéficié d’une première greffe isolée, entre janvier 2010 et décembre 2013, a permis de montrer que l’âge et le genre féminin du donneur, l’âge du receveur, l’origine de l’insuffisance cardiaque, le débit de filtration glomérulaire et la bilirubine du receveur le jour de la greffe sont les facteurs de risque indépendants de mortalité 1 an après greffe. L’analyse de la survie des malades greffés entre 2004 et 2014 selon la dernière priorité, montre que ce sont les malades greffés dans le cadre d’une SU2 qui ont la survie à 1 an après la greffe la plus élevée, sans que cette différence soit significative. Pour les malades greffés dans le cadre d’une super-urgence, la survie 1 an après la greffe est de 79% s’il s’agit d’une SU2 et de 77% s’il s’agit d’une SU1.
La fréquence des dysfonctions précoces du greffon est stable et très élevée en 2016 (38% en 2015, 37% en 2016). Cette fréquence de dysfonction précoce du greffon plus élevée en France que dans d’autres pays peut être due à une différence de définition de la dysfonction précoce du greffon, à une population de donneurs plus à risque et aux conditions de la greffe (durée d’ischémie…).
Figure C4. Courbe de survie du receveur après greffe cardiaque (1ère inscription en 1993- juin 2015)
N |
Survie à 1 mois |
Survie à 1 an |
Survie à 5 ans |
Survie à 10 ans |
Survie à 15 ans |
Médiane de |
|
survie (mois) |
|||||||
1993-juin 2015 |
8396 |
84,60% |
75,20% |
66,60% |
54,80% |
NO |
143 |
[83,8% - 85,3%] |
[74,3% - 76,1%] |
[65,6% - 67,7%] |
[53,6% - 56,0%] |
[136,8 - 148,9] |
|||
nombre de sujets à risque* |
|
7050 |
6131 |
4265 |
2491 |
1209 |
|
[] : Intervalle de confiance
NO : non observable
* : Nombre de malades restant à observer pour chaque temps et pour lesquels aucun évènement n'est survenu
Données extraites de CRISTAL le 02/03/2017
Le taux de survie à un an des malades greffés cardiaques entre 1993 et juin 2015 est de 75%.
Figure C5. Courbe de survie du greffon après une première greffe cardiaque (1993- juin 2015)
Période de greffe |
N |
Survie à 1 mois |
Survie à 1 an |
Survie à 5 ans |
Survie à 10 ans |
Survie à 15 ans |
Médiane de |
survie (mois) |
|||||||
1993-juin 2015 |
8396 |
84,40% |
75,00% |
66,30% |
54,10% |
NO |
139,4 |
[83,6% - 85,2%] |
[74,1% - 75,9%] |
[65,2% - 67,3%] |
[52,9% - 55,3%] |
[133,7 - 145,3] |
|||
nombre de sujets à risque* |
|
7039 |
6114 |
4231 |
2463 |
1176 |
|
[] : Intervalle de confiance NO : non observable
* : Nombre de malades restant à observer pour chaque temps et pour lesquels aucun évènement n'est survenu
Données extraites de CRISTAL le 02/03/2017
Le taux de survie à un an du greffon cardiaque entre 1993 et 2015 est de 75%. Il est très proche de celui de la survie du malade.
Figure C6. Courbe de survie du receveur selon la période de première greffe cardiaque (1993- juin 2015)
Période de greffe |
N |
Survie à 1 mois |
Survie à 1 an |
Survie à 5 ans |
Survie à 10 ans |
Survie à 15 ans |
Médiane de |
survie (mois) |
|||||||
1985-1989 |
2026 |
79,90% |
67,30% |
53,50% |
38,80% |
26,30% |
72,9 |
[78,0% - 81,6%] |
[65,2% - 69,3%] |
[51,3% - 55,6%] |
[36,7% - 40,9%] |
[24,4% - 28,2%] |
[65,8 - 79,7] |
||
nombre de sujets à risque* |
|
1606 |
1353 |
1074 |
773 |
500 |
|
1990-1994 |
2717 |
81,90% |
71,70% |
60,80% |
46,50% |
33,10% |
105 |
[80,4% - 83,3%] |
[70,0% - 73,4%] |
[58,9% - 62,6%] |
[44,6% - 48,3%] |
[31,3% - 34,9%] |
[97,8 - 112,8] |
||
nombre de sujets à risque* |
|
2211 |
1936 |
1640 |
1234 |
853 |
|
1995-1999 |
1808 |
83,30% |
74,00% |
65,50% |
53,70% |
42,10% |
140 |
[81,5% - 84,9%] |
[72,0% - 76,0%] |
[63,2% - 67,6%] |
[51,4% - 56,0%] |
[39,8% - 44,4%] |
[128,7 - 151,1] |
||
nombre de sujets à risque* |
|
1505 |
1338 |
1180 |
957 |
727 |
|
2000-2004 |
1519 |
85,80% |
77,30% |
69,60% |
58,00% |
NO |
163,6 |
[83,9% - 87,4%] |
[75,2% - 79,4%] |
[67,2% - 71,9%] |
[55,4% - 60,4%] |
[151,9 - 179,4] |
|||
nombre de sujets à risque* |
|
1302 |
1174 |
1051 |
858 |
186 |
|
2005-2008 |
1389 |
82,20% |
72,30% |
63,60% |
52,70% |
NO |
NO |
[80,1% - 84,1%] |
[69,8% - 74,5%] |
[61,0% - 66,0%] |
[49,9% - 55,5%] |
||||
nombre de sujets à risque* |
|
1141 |
1003 |
871 |
228 |
0 |
|
2009-2012 |
1476 |
86,60% |
77,00% |
68,40% |
NO |
NO |
NO |
[84,8% - 88,3%] |
[74,8% - 79,1%] |
[65,9% - 70,8%] |
|||||
nombre de sujets à risque* |
|
1276 |
1134 |
594 |
0 |
0 |
|
2013-juin 2015 |
1280 |
87,70% |
78,60% |
NO |
NO |
NO |
NO |
[85,7% - 89,4%] |
[76,2% - 80,8%] |
||||||
nombre de sujets à risque* |
|
1080 |
829 |
0 |
0 |
0 |
|
[] : Intervalle de confiance
NO : non observable
* : Nombre de malades restant à observer pour chaque temps et pour lesquels aucun évènement n'est survenu
Le taux de survie s’améliore avec le temps, il est de 79% à 1 an sur la cohorte la plus récente (2013 à juin 2015).
Figure C7. Courbe de survie du receveur après une première greffe cardiaque selon l'âge du receveur (1993- juin 2015)
Classe d'âge (ans) |
N |
Survie à 1 mois |
Survie à 1 an |
Survie à 5 ans |
Survie à 10 ans |
Survie à 15 ans |
Médiane de |
survie (mois) |
|||||||
0-17 ans |
445 |
88,80% |
82,40% |
74,30% |
64,90% |
58,60% |
NO |
[85,5% - 91,4%] |
[78,5% - 85,7%] |
[69,7% - 78,2%] |
[59,5% - 69,8%] |
[52,4% - 64,3%] |
|||
nombre de sujets à risque* |
|
389 |
355 |
231 |
127 |
73 |
|
18-60 ans |
6301 |
85,40% |
76,70% |
67,90% |
56,40% |
43,50% |
150,6 |
[84,5% - 86,2%] |
[75,6% - 77,7%] |
[66,7% - 69,1%] |
[55,0% - 57,7%] |
[41,9% - 45,1%] |
[143,6 - 155,6] |
||
nombre de sujets à risque* |
|
5350 |
4699 |
3350 |
1991 |
955 |
|
> 60 ans |
1650 |
80,30% |
67,70% |
59,80% |
45,80% |
NO |
101,2 |
[78,3% - 82,2%] |
[65,4% - 69,9%] |
[57,3% - 62,2%] |
[42,9% - 48,5%] |
[88,5 - 113,8] |
|||
nombre de sujets à risque* |
|
1311 |
1077 |
684 |
373 |
181 |
|
[] : Intervalle de confiance
NO : non observable
* : Nombre de malades restant à observer pour chaque temps et pour lesquels aucun évènement n'est survenu
Données extraites de CRISTAL le 02/03/2017
Le taux de survie à un an des malades greffés cardiaques entre 1993 et juin 2015 et âgés de plus de 60 ans est de 68%.
La survie à 1 an des receveurs de plus de 60 ans est significativement plus faible que pour le groupe des 0-17 ans (82%) et des 18-60 ans (77%).
Figure C8. Courbe de survie du receveur selon la dernière priorité (2004 – juin 2015)
Priorité |
N |
Survie à 1 mois |
Survie à 1 an |
Survie à 5 ans |
Survie à 10 ans |
Survie à 15 ans |
Médiane de |
survie (mois) |
|||||||
Aucune |
5609 |
84,50% |
74,90% |
66,40% |
54,50% |
41,30% |
142,2 |
[83,5% - 85,4%] |
[73,8% - 76,0%] |
[65,1% - 67,6%] |
[53,1% - 55,9%] |
[39,8% - 42,8%] |
[134,7 - 148,3] |
||
nombre de sujets à risque* |
|
4717 |
4137 |
3184 |
2080 |
1023 |
|
Urgence et dérogation |
945 |
81,70% |
73,70% |
65,90% |
54,80% |
44,20% |
143,6 |
[79,1% - 84,0%] |
[70,8% - 76,4%] |
[62,7% - 68,9%] |
[51,4% - 58,1%] |
[40,5% - 47,8%] |
[124,2 - 161,9] |
||
nombre de sujets à risque* |
|
767 |
686 |
534 |
356 |
186 |
|
SU1 |
1535 |
86,20% |
76,60% |
67,60% |
NO |
NO |
NO |
[84,3% - 87,8%] |
[74,4% - 78,6%] |
[64,9% - 70,1%] |
|||||
nombre de sujets à risque* |
|
1299 |
1086 |
453 |
42 |
0 |
|
SU2 |
307 |
87,30% |
78,80% |
68,10% |
NO |
NO |
NO |
[83,0% - 90,5%] |
[73,7% - 82,9%] |
[61,9% - 73,5%] |
|||||
nombre de sujets à risque* |
|
267 |
222 |
94 |
13 |
0 |
|
[] : Intervalle de confiance
NO : non observable
* : Nombre de malades restant à observer pour chaque temps et pour lesquels aucun évènement n'est survenu
SU1 : Super Urgence 1 ; SU2 : Super Urgence 2 ; Données extraites de CRISTAL le 02/03/2017
Nous n’observons pas de différence significative de survie après greffe cardiaque selon les priorités.
Figure C9. Courbe de survie du receveur après retransplantation cardiaque (1993-juin 2015)
Période de greffe |
N |
Survie à 1 mois |
Survie à 1 an |
Survie à 5 ans |
Survie à 10 ans |
Survie à 15 ans |
Médiane de |
survie (mois) |
|||||||
1993-juin 2015 |
232 |
76,00% |
67,70% |
58,30% |
43,00% |
NO |
87,4 |
[69,9% - 81,0%] |
[61,2% - 73,3%] |
[51,5% - 64,5%] |
[35,8% - 49,9%] |
[62,8 - 119,7] |
|||
nombre de sujets à risque* |
|
174 |
153 |
107 |
57 |
23 |
|
[] : Intervalle de confiance
NO : non observable
* : Nombre de malades restant à observer pour chaque temps et pour lesquels aucun évènement n'est survenu
Données extraites de CRISTAL le 02/03/2017
Le taux de survie à un an des malades retransplantés entre 1993 et juin 2015 est de 68%.
Figure C10. Courbe de survie du receveur après première greffe cardiaque selon l'âge du donneur (1993-juin 2015)
Classe d'âge du donneur (ans) |
N |
Survie à 1 mois |
Survie à 1 an |
Survie à 5 ans |
Survie à 10 ans |
Survie à 15 ans |
Médiane de |
survie (mois) |
|||||||
0-17 ans |
1841 |
84,20% |
74,50% |
66,00% |
54,60% |
40,30% |
141,2 |
[82,5% - 85,8%] |
[72,4% - 76,4%] |
[63,8% - 68,2%] |
[52,2% - 56,9%] |
[37,9% - 42,7%] |
[130,3 - 152,2] |
||
nombre de sujets à risque* |
|
1543 |
1357 |
1128 |
835 |
545 |
|
18-60 ans |
6141 |
84,90% |
75,90% |
67,30% |
55,10% |
NO |
145,3 |
[84,0% - 85,8%] |
[74,8% - 76,9%] |
[66,1% - 68,5%] |
[53,7% - 56,6%] |
[137,2 - 153,2] |
|||
nombre de sujets à risque* |
|
5177 |
4520 |
3041 |
1630 |
658 |
|
> 60 ans |
414 |
81,10% |
68,80% |
58,40% |
NO |
NO |
NO |
[76,9% - 84,6%] |
[64,0% - 73,0%] |
[52,8% - 63,5%] |
|||||
nombre de sujets à risque* |
|
330 |
254 |
96 |
26 |
6 |
|
[] : Intervalle de confiance
NO : non observable
* : Nombre de malades restant à observer pour chaque temps et pour lesquels aucun évènement n'est survenu
Données extraites de CRISTAL le 02/03/2017
Tableau C22. Répartition des malades déclarés vivants, en fonction du délai écoulé depuis les dernières nouvelles : état de la base au 31 décembre 2016 des malades ayant eu une greffe cardiaque entre 1993 et 2015
|
Nombre de dossiers suivis |
Ancienneté des dernières nouvelles (en % de dossiers) |
||
0-1 an (%) |
1-2 ans (%) |
> 2 ans* (%) |
||
Equipe de suivi |
166 |
100 |
0 |
0 |
Bordeaux (A+P) |
||||
Caen (A) |
88 |
88,6 |
11,4 |
0 |
Clermont-Ferrand (A) |
114 |
96,5 |
3,5 |
0 |
Créteil Henri Mondor (AP-HP) (A) |
142 |
93,7 |
2,8 |
3,5 |
Dijon (A) |
83 |
91,6 |
8,4 |
0 |
Grenoble (A) |
75 |
100 |
0 |
0 |
Le Plessis-Robinson Marie-Lannelongue (A+P) |
91 |
6,6 |
72,5 |
20,9 |
Lille (A) |
155 |
96,1 |
2,6 |
1,3 |
Limoges** |
63 |
28,6 |
71,4 |
0 |
Lyon I (HCL) (A+P) |
272 |
100 |
0 |
0 |
Lyon II (HCL) (A) |
203 |
82,8 |
17,2 |
0 |
Marseille Timone adultes (APM) (A) |
153 |
89,5 |
10,5 |
0 |
Marseille Timone enfants (APM) (P) |
73 |
95,9 |
4,1 |
0 |
Montpellier (A) |
127 |
58,3 |
41,7 |
0 |
Nancy (A) |
134 |
0 |
96,3 |
3,7 |
Nantes (A+P) |
318 |
99,1 |
0,9 |
0 |
Nice** |
16 |
0 |
0 |
100 |
Paris Bichat (AP-HP) (A) |
135 |
61,5 |
37 |
1,5 |
Paris Georges Pompidou (AP-HP) (A) |
148 |
89,9 |
10,1 |
0 |
Paris Necker Enfants Malades (AP-HP) (P) |
47 |
0 |
21,3 |
78,7 |
Paris Pitié-Salpêtrière (AP-HP) (A) |
689 |
96,7 |
1,3 |
2 |
Rennes (A) |
216 |
100 |
0 |
0 |
Rouen (A) |
148 |
93,9 |
6,1 |
0 |
Strasbourg (A) |
174 |
99,4 |
0,6 |
0 |
SuresnesFoch** |
24 |
37,5 |
62,5 |
0 |
Toulouse (A) |
103 |
100 |
0 |
0 |
Tours (A) |
183 |
71 |
29 |
0 |
Total |
4140 |
84,5 |
13,1 |
2,4 |
* pourcentage de dossiers dont les dernières nouvelles datent de plus de 2 ans ou sont manquantes
** Equipe de suivi sans autorisation d'activité de greffe
Le Tableau C22 présente le nombre de malades suivis dans chaque équipe depuis 1993, ainsi que le nombre et la proportion de malades selon l’ancienneté de leur dernier bilan après greffe. Le nombre de malades pour lesquels le suivi n’est pas renseigné depuis plus d’un an stagne après une importante diminution (15% cette année contre 49% en 2000), et reste à un taux devant rendre prudente l’interprétation des données pour l’analyse de la survie post greffe.
Le taux de dossiers dont la mise à jour date de plus de deux ans ou est manquante est inférieur à 10% sauf pour 3 équipes Le Plessis-Robinson Marie-Lannelongue et Paris Necker Enfants Malades et une qui a été fermée (Nice).
Tableau C23. Estimation du nombre de malades porteurs d’un greffon cardiaque fonctionnel au 31 décembre 2016, par équipe de suivi
Equipe de suivi |
Nombre de malades n'ayant pas fait l'objet d'une déclaration de décès ou d'arrêt de fonction du greffon |
Nombre malades suivis (dernières nouvelles<=18 mois) |
Nombre estimé de malades vivants avec greffon fonctionnel au 31/12/2016 |
Bordeaux (A+P) |
202 |
202 |
202 |
Caen (A) |
100 |
100 |
100 |
Clermont-Ferrand (A) |
136 |
132 |
133 |
Créteil Henri Mondor (AP-HP) (A) |
176 |
156 |
161 |
Dijon (A) |
107 |
97 |
99 |
Grenoble (A) |
93 |
91 |
91 |
Le Plessis-Robinson Marie-Lannelongue (A+P) |
122 |
31 |
65 |
Lille (A) |
192 |
185 |
187 |
Limoges |
70 |
66 |
67 |
Lyon I (HCL) (A+P) |
308 |
307 |
308 |
Lyon II (HCL) (A) |
255 |
245 |
247 |
Marseille Timone adultes (APM) (A) |
192 |
181 |
183 |
Marseille Timone enfants (APM) (P) |
89 |
87 |
87 |
Marseille sud * |
22 |
0 |
3 |
Montpellier (A) |
157 |
155 |
155 |
Nancy (A) |
159 |
76 |
108 |
Nantes (A+P) |
379 |
371 |
373 |
Nice XA * |
26 |
0 |
6 |
Paris Bichat (AP-HP) (A) |
177 |
168 |
172 |
Paris Georges Pompidou (AP-HP) (A) |
180 |
174 |
175 |
Paris Lariboisière CA * |
0 |
0 |
0 |
Paris Necker Enfants Malades (AP-HP) (P) |
61 |
7 |
33 |
Paris Pitié-Salpêtrière (AP-HP) (A) |
884 |
803 |
824 |
Rennes (A) |
247 |
244 |
245 |
Rouen (A) |
167 |
162 |
164 |
St Laurent du Var * |
25 |
0 |
2 |
Strasbourg (A) |
194 |
194 |
194 |
Suresnes Foch * |
51 |
26 |
30 |
Toulouse (A) |
141 |
136 |
137 |
Tours (A) |
200 |
196 |
198 |
Total |
5112 |
4592 |
4748 |
* Equipe de suivi sans autorisation d'activité de greffe cardiaque
Malgré l’amélioration de l’exhaustivité des données de suivi des malades greffés cardiaques, il n’est pas possible d’obtenir le nombre de malades porteurs d’un greffon fonctionnel par simple interrogation de Cristal. Ainsi, l’estimation de ce nombre a été effectuée en deux étapes basées sur l’ancienneté des données de suivi du malade.
Dans un premier temps, nous avons dénombré les porteurs d’un greffon fonctionnel dans Cristal (malades déclarés vivants sans arrêt de fonction du greffon) dont les dernières nouvelles dataient de moins de 18 mois (suivi annuel obligatoire dans Cristal). Pour les malades qui n’avaient pas fait l’objet d’une déclaration de décès ou d’arrêt de fonction du greffon et dont les dernières nouvelles dataient de plus de 18 mois, le nombre de porteurs d’un greffon fonctionnel a été estimé en leur appliquant les taux de survie du greffon estimés sur la population globale.
Le nombre total de porteurs d’un greffon fonctionnel correspond à la somme de ces deux valeurs. Le chiffre ainsi estimé est encadré par deux bornes :
- la borne inférieure correspond à l’hypothèse la plus pessimiste, selon laquelle les malades non suivis sont considérés comme en arrêt fonctionnel de greffon ou décédés. Cela signifie que seuls les greffés qui n’avaient pas fait l’objet d’une déclaration de décès ou d’arrêt de fonction du greffon au 31 décembre de l’année et dont les données de suivi dataient de moins de 18 mois étaient porteurs d’un greffon fonctionnel à cette date,
- la borne supérieure correspond à l’hypothèse la plus optimiste, selon laquelle les malades non suivis sont considérés comme porteurs d’un greffon fonctionnel. En d’autres termes, tous les greffés qui n’avaient pas fait l’objet d’une déclaration de décès ou d’arrêt de fonction du greffon au 31 décembre de l’année, quelle que soit l’ancienneté des données de suivi, étaient vivants et porteurs d’un greffon fonctionnel à cette date.
Le nombre de malades porteurs d’un greffon fonctionnel est un indicateur important de la charge de travail des équipes médico-chirurgicales de greffe qui doivent assumer le suivi d’une cohorte chaque année grandissante de malades sous traitement immunosuppresseur. Le nombre de porteurs d'un greffon fonctionnel estimé au 31 décembre 2016 varie d'une équipe de suivi à l'autre de 0 à 824 malades. Les équipes exclusivement pédiatriques ont naturellement des niveaux d'activité plus bas. Depuis 1968, année de la première greffe cardiaque enregistrée dans Cristal, un total de 13 213 greffes de cœur a été réalisé (dont 690 par des équipes aujourd’hui fermées), ce qui représente l'expérience cumulée globale française. Le nombre estimé de malades porteurs d’un greffon cardiaque est de 4 748 malades au 31 décembre 2016.
Tableau C24. Dysfonction précoce du greffon* pour les greffes réalisées en 2016
Dysfonction précoce du greffon |
N |
% |
Non |
261 |
54,7 |
Oui |
178 |
37,3 |
Manquant |
38 |
8 |
*survenue dans les 24 heures
suivant la greffe avec une fraction d’éjection ventriculaire gauche (FEVG) < 30% (échographie) et/ou la nécessité d’une assistance circulatoire mécanique, d’un ECLS (ECMO), d’une retransplantation ou conduisant au décès du patient
Données extraites de CRISTAL le 02/03/2017
Tableau C25. Traitement de désimmunisation dans le mois précédent la greffe réalisée en 2016
Traitement de désimmunisation dans le mois précédent la greffe |
N |
% |
Non |
431 |
90,4 |
Oui |
12 |
2,5 |
Manquant |
34 |
7,1 |
Données extraites de CRISTAL le 02/03/2017
Tableau C26. Traitement de désimmunisation après la greffe réalisée en 2016
Traitement de désimmunisation après la greffe |
N |
% |
Non |
341 |
71,5 |
Oui |
100 |
21 |
Manquant |
36 |
7,5 |
Les traitements considérés comme traitement de désimmunisation comprennent : une perfusion d’immunoglobulines, des plasmaphérèse, un traitement par Rituximab, Bortenzomib ou Eculizumab.
Données extraites de CRISTAL le 02/03/2017
Conclusion
Les caractéristiques de l’année 2016 sont :
- un nombre de nouveaux inscrits sur la liste d’attente (8,6 pmh) en baisse de 8% par rapport à 2015
- une activité de greffe (7,1 greffes pmh) en très légère augmentation, de 1%, par rapport à 2015 avec ainsi 2 candidats pour un greffon
- une légère diminution de l’activité de prélèvement cardiaque de 2%, dans un contexte de stabilité du nombre de donneurs en mort encéphalique prélevés d’au moins un organe (1770)
- une augmentation du nombre de demandes de super-urgence 1 (+9%) comme de la proportion de candidats pour lesquels une demande a été faite (36% versus 32%)
- une faible augmentation du nombre de greffes réalisées dans le cadre d’une super-urgence 1 (228 versus 218)
- une stabilité du nombre de candidats pour lesquels une demande de super-urgence 2 a été faite (55) comme de la proportion de greffes réalisées dans le cadre de cette priorité (10%)
- un taux d’incidence de décès et un taux d’incidence de décès et de sortie de liste pour aggravation de l’état médical pour 100 patient-années élevés, respectivement de 22% et 28%, alors que le taux d’incidence cumulée de greffe à 1 an en risques concurrents pour les inscrits entre 2011 et 2016 a été de 68%
- un taux de survie 1 an après greffe de 79% pour les malades opérés entre 2013 et juin 2015 en amélioration par rapport à celui des malades opérés entre 2005 et 2008 (72%) et entre 2009 et 2012 (77%)
- parmi les malades opérés dans le cadre d’une super-urgence, une survie identique pour ceux opérés avec une assistance circulatoire de longue durée compliquée (super-urgence 2).